கேள்வி பதில்கள் மற்றும் தீர்வுகள் | கணக்கு - அலகுப் பயிற்சி : எண்களும் தொடர்வரிசைகளும் | 10th Mathematics : UNIT 2 : Numbers and Sequences
அலகுப் பயிற்சி
1. எல்லா மிகை முழுக்கள் n -க்கும் n2 - n ஆனது 2-ஆல் வகுபடும் என நிறுவுக

2. ஒரு பால்காரரிடம் 175 லிட்டர் பசும் பாலும் 105 லிட்டர் எருமைப்பாலும் உள்ளது. இவற்றை அவர் சம கொள்ளளவுக் கொண்ட இருவகையான கலன்களில் அடைத்து விற்க விருப்பப்படுகிறார். (i) இவ்வாறு விற்பதற்குத் தேவைப்படும் கலன்களின் அதிகபட்ச கொள்ளளவு எவ்வளவு? இவ்வாறாக (ii) எத்தனை கலன் பசும்பால் மற்றும் (iii) எருமைப்பால் விற்கப்பட்டிருக்கும்?

3. a, b, c என்ற எண்களை 13 ஆல் வகுக்கும் போது கிடைக்கும் மீதிகள் முறையே 9, 7 மற்றும் 10. a + 2b + 3c ஐ 13-ஆல் வகுக்கும் போது கிடைக்கும் மீதியைக் காண்க.

4. 107 ஆனது 4q + 3, q என்பது ஏதேனும் ஒரு முழு என்ற வடிவில் அமையும் என நிறுவுக.

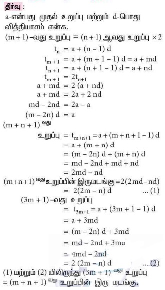
5. ஒரு கூட்டுத் தொடர்வரிசையின் (m +1)th வது உறுப்பானது (n + 1)th வது உறுப்பின் இரு மடங்கு எனில், (3m + 1)th வது உறுப்பானது (m + n + 1)th வது உறுப்பின் இரு மடங்கு என நிறுவுக.

6. -2, -4, -6,... -100 என்ற கூட்டுத் தொடர்வரிசையில் இறுதி உறுப்பிலிருந்து 12வது உறுப்பைக் காண்க.

7. இரண்டு கூட்டுத் தொடர்வரிசைகள் ஒரே பொதுவித்தியாசம் கொண்டுள்ளன. ஒரு தொடர் வரிசையின் முதல் உறுப்பு 2 மற்றும் மற்றொரு தொடர்வரிசையின் முதல் உறுப்பு 7. இரு தொடர்வரிசைகளின் 10வது உறுப்புகளுக்கிடையே உள்ள வித்தியாசம், 21-வது உறுப்புகளுக்கிடையே உள்ள வித்தியாசத்திற்குச் சமம் என நிருபித்து உள்ளது. இந்த வித்தியாசம் அந்தக் கூட்டுத் தொடர்வரிசைகளின் பொது வித்தியாசத்திற்குச் சமமாக உள்ளது என நிறுவுக.

8. ஒரு நபர் 10 வருடங்களில் ₹16500 ஐ சேமிக்கிறார். ஒவ்வொரு வருடமும் அவர் சேமிக்கும் தொகையானது அதற்கு முந்தைய வருடம் சேமிக்கும் தொகையை விட ₹100 அதிகம். அவர் முதல் வருடம் எவ்வளவு சேமித்திருப்பார்?

9. ஒரு பெருக்குத் தொடர்வரிசையில் 2-வது உறுப்பு √6 மற்றும் 6-வது உறுப்பு 9 √6 எனில் அந்தத் தொடர்வரிசையைக் காண்க.

10. ஒரு வாகனத்தின் மதிப்பு ஒவ்வோர் ஆண்டும் 15% குறைகிறது. வாகனத்தின் தற்போதைய மதிப்பு ₹45000 எனில், 3 ஆண்டுகளுக்குப் பிறகு வாகனத்தின் மதிப்பு என்ன?

விடைகள்:
2. (i) 35 லிட்டர் (ii) 5 (iii) 3
3. 19
6. -78
8. ₹1200
9. √2, √6 , 3√2 , …
10. ₹27636