கேள்விகளுக்கான பதில்கள், தீர்வுகள் - பயிற்சி 10.3 : வடிவக் கணிதத்திலிருந்து வகைக்கெழுச் சமன்பாடுகளை உருவாக்குதல் (Formation of Differential Equations from Geometrical Problems) | 12th Maths : UNIT 10 : Ordinary Differential Equations
பயிற்சி 10.3
1. ஒரு தளத்தில் (i) நேர்க்குத்து அல்லாத நேர்க்கோடுகள் (ii) கிடைமட்டம் அல்லாதநேர்க்கோடுகள் ஆகிய தொகுப்புகளின் வகைக்கெழுச் சமன்பாடுகளைக் காண்க.

2. x2+y2 =r2 எனும் வட்டத்தைத் தொடும் எல்லா நேர்க்கோடுகளின் வகைக்கெழுச்சமன்பாட்டைக் காண்க.

3. ஆதிப்புள்ளி வழியாகச் செல்லும், மையத்தினை x-அச்சின் மீது கொண்ட எல்லா வட்டங்களின் வகைக்கெழுச் சமன்பாட்டைக் காண்க.

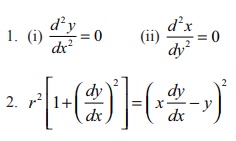
4. செவ்வகலம் 4a மற்றும் x - அச்சுக்கு இணையான அச்சுகளைக் கொண்ட பரவளையத்தொகுப்பின் வகைக்கெழுச் சமன்பாட்டைக் காண்க.

5. முனை (0,-1) மற்றும் y -அச்சை அச்சாகவும் கொண்ட பரவளையக் குடும்பத்தின் வகைக்கெழுச் சமன்பாட்டைக் காண்க.

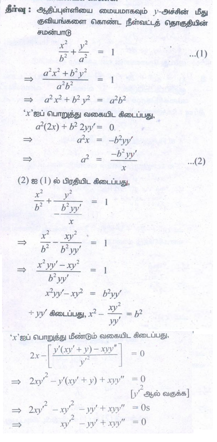
6. ஆதிப்புள்ளியை மையமாகவும், y -அச்சின் மீது குவியங்களையும் கொண்ட நீள்வட்டத்தொகுதியின் வகைக்கெழுச் சமன்பாட்டைக் காண்க.

7. y = Ae8x + Be-8x எனும் சமன்பாட்டைக் கொண்ட வளைவரைக் குடும்பத்தின் வகைக்கெழுச்சமன்பாட்டைக் காண்க. இங்கு A, B என்பன ஏதேனும் இரு மாறிலிகள்.

8. xy = aex + be-x + x2 எனும் சமன்பாட்டால் குறிப்பிடப்படும் வளைவரையின் வகைக்கெழுச் சமன்பாட்டைக் காண்க.

விடைகள் :

3. x2 + 2xy dy/dx − y2 = 0
4. 2ay ′′ + y′3 = 0
5. xy′ − 2y − 2 = 0
6. xy ′ 2 + xyy′′ − yy′ = 0
7. d2y/dx = 64 y
8. xy′′ + 2 y ′ + x2 − xy − 2 = 0