கேள்விகளுக்கான பதில்கள், தீர்வுகள் - பயிற்சி 10.4 : சாதாரண வகைக்கெழுச் சமன்பாடுகளின் தீர்வு (Solution of Ordinary Differential Equations) | 12th Maths : UNIT 10 : Ordinary Differential Equations
பயிற்சி 10.4
1. பின்வரும் சமன்பாடுகள் ஒவ்வொன்றும் அவற்றிற்கெதிரே கொடுக்கப்பட்டுள்ள வகைக்கெழுச் சமன்பாட்டின் தீர்வாகும் எனக்காட்டுக.
(i) y = 2x2 ; xy' = 2y
(ii) y = aex + be−x ; y′′ − y = 0

2. y = emx எனும் சார்பு கொடுக்கப்பட்ட வகைக்கெழுச் சமன்பாட்டிற்கு தீர்வாக அமையுமாறுm -ன் மதிப்புகளைக் காண்க.
(i) y' + 2y =0
(ii) y"- 5y' + 6y = 0

3. ஏதேனும் ஒரு புள்ளியில் ஒரு வளைவரையின் தொடுகோட்டின் சாய்வு, அப்புள்ளியின் yஅச்சுத் தொலைவின் 4மடங்கின் தலைகீழியாகும். மேலும் வளைவரை (2,5) எனும் புள்ளிவழியாகச் செல்கிறது எனில், வளைவரையின் சமன்பாட்டைக் காண்க.

4. y = e-x + mx + n , என்பது ex(d2y/dx2) -1 = 0 எனும் வகைக்கெழுச் சமன்பாட்டின் தீர்வாகும்எனக்காட்டுக.

5. y = ax + b/x, x ≠ 0 என்பது x2 y" + xy' – y| = 0 எனும் வகைக்கெழுச் சமன்பாட்டின் தீர்வாகும்எனக்காட்டுக.

6. y = ae−3x + b என்பது d2y/dx2 + 3(dy/dx) = 0 எனும் வகைக்கெழுச் சமன்பாட்டின் தீர்வாகும் எனக்காட்டுக. இங்கு a, b ஏதேனும் இரு எதேச்சை மாறிலிகள்.

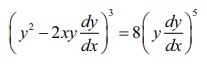
7. y2 = 2a (x +a2/3)எனும் வளைவரைத் தொகுதியைக் குறிக்கும் வகைக்கெழுச் சமன்பாடு
எனக்காட்டுக. இங்கு a என்பது மிகை மதிப்புடைய துணையலகாகும்.

8. y = a cosbx என்பது d2y/dx2 + b2y = 0 எனும் வகைக்கெழுச் சமன்பாட்டின் தீர்வாகும் எனக்காட்டுக.
முதல் வரிசை, முதற்படி வகைக்கெழுச் சமன்பாடுகளின் தீர்வுகாணும் சில முறைகளை இப்பொழுது காண்போம்.
