கேள்விகளுக்கான பதில்கள், தீர்வுகள் - பயிற்சி 10.6 : சமபடித்தான அமைப்பு அல்லது சமபடித்தான வகைக்கெழுச் சமன்பாடுகள் (Homogeneous Form or Homogeneous Differential Equation) | 12th Maths : UNIT 10 : Ordinary Differential Equations
Posted On : 22.09.2022 01:07 am
12 ஆம் வகுப்பு கணிதம் : அத்தியாயம் 10 : சாதாரண வகைக்கெழுச் சமன்பாடுகள்
பயிற்சி 10.6 : சமபடித்தான அமைப்பு அல்லது சமபடித்தான வகைக்கெழுச் சமன்பாடுகள் (Homogeneous Form or Homogeneous Differential Equation)
கணக்கு புத்தக பயிற்சி வினாக்கள் மற்றும் தீர்வுகள் - கணிதவியல் : சாதாரண வகைக்கெழுச் சமன்பாடுகள் : முதல் வரிசை, முதற்படி வகைக்கெழுச் சமன்பாடுகளின் தீர்வு (Solution of First Order and First Degree Differential Equations) : சமபடித்தான அமைப்பு அல்லது சமபடித்தான வகைக்கெழுச் சமன்பாடுகள் (Homogeneous Form or Homogeneous Differential Equation) : சோதனை வினாக்களுக்கான கேள்வி பதில், தீர்வுகள்
பயிற்சி 10.6
பின்வரும் வகைக்கெழுச் சமன்பாடுகளின் தீர்வு காண்க:
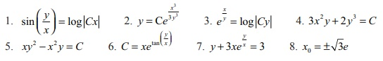
1. [x + y cos(y/x)]dx = x cos(y/x)dy

2. (x3+y3)dy - x2 ydx = 0

3. yex/y dx = [ xex/y + y ]dy

4. 2xydx + (x2 +2y2)dy = 0

5. (y2 - 2xy) dx =(x2 -2xy) dy

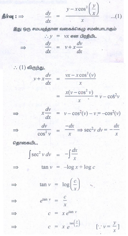
6. x(dy/dx) = y – x cos2 (y/x)

7. (1 + 3ey/x ) dy + 3ey/x (1-y/x) dx = 0, x =1 எனில் y = 0 எனக்கொடுக்கப்பட்டுள்ளது

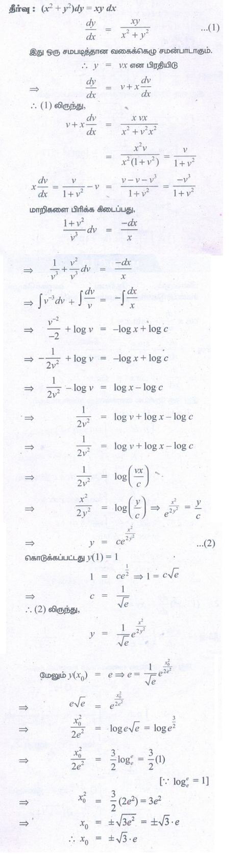
8. (x2 + y2)dy = xy dx. y (1) = 1 மற்றும் y (x0) = e எனக்கொடுக்கப்பட்டுள்ளது. x0-ன் மதிப்பைக் காண்க.

விடைகள் :

Tags : Problem Questions with Answer, Solution கேள்விகளுக்கான பதில்கள், தீர்வுகள்.
12th Maths : UNIT 10 : Ordinary Differential Equations : Exercise 10.6: Homogeneous Form or Homogeneous Differential Equation Problem Questions with Answer, Solution in Tamil : 12th Standard
Tamil Medium School Samacheer Book Back Questions and answers, Important Question with Answer.
12 ஆம் வகுப்பு கணிதம் : அத்தியாயம் 10 : சாதாரண வகைக்கெழுச் சமன்பாடுகள் : பயிற்சி 10.6 : சமபடித்தான அமைப்பு அல்லது சமபடித்தான வகைக்கெழுச் சமன்பாடுகள் (Homogeneous Form or Homogeneous Differential Equation) - கேள்விகளுக்கான பதில்கள், தீர்வுகள் : 12 ஆம் வகுப்பு
புத்தகம் கேள்விகள் மற்றும் பதில்கள்.