கேள்வி பதில்கள் மற்றும் தீர்வுகள் | கணக்கு - பயிற்சி 2.4 : தொடர் வரிசைகள் | 10th Mathematics : UNIT 2 : Numbers and Sequences
பயிற்சி 2.4
1. பின்வரும் தொடர்வரிசைகளின் அடுத்த மூன்று உறுப்புகளைக் காண்க.
(i) 8, 24, 72, …
(ii) 5, 1, -3, …
(iii) 1/ 4, 2/9, 3/16, …

2. பின்வரும் n-வது உறுப்புகளைக் கொண்ட தொடர்வரிசைகளின் முதல் நான்கு உறுப்புகளைக் காண்க.
(i) an = n3 − 2
(ii) an = (−1)n +1n(n + 1)
(iii) an = 2n2 – 6

3. கீழே கொடுக்கப்பட்டுள்ள தொடர்வரிசைகளின் n -வது உறுப்பைக் காண்க.
(i) 2, 5,10, 17,...
(ii) 0, 1/2, 2/3 ,...
(iii) 3, 8,13, 18,...

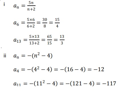
4. கீழ்க்கண்ட தொடர்வரிசைகள் ஒவ்வொன்றிலும் n-வது உறுப்பு கொடுக்கப்பட்டுள்ளது. அதில் குறிப்பிடப்பட்டுள்ள உறுப்புகளைக் காண்க.
(i) an =
; a6 மற்றும் a13
(ii) an = −(n2 −4); a4 மற்றும் a11

5.
என்பது n- வது உறுப்பு எனில், a8 மற்றும் a15 காண்க.

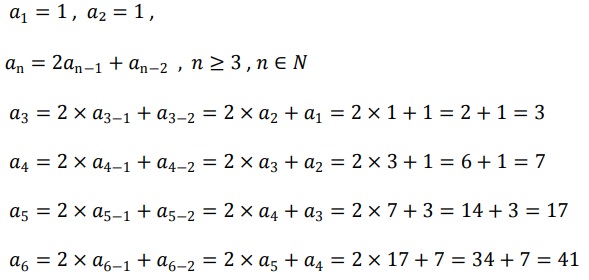
6. a1 = 1, a2 = 1 மற்றும் an = 2 an−1 +an −2, n ≥ 3, n ∈ N எனில், தொடர்வரிசையின் முதல் ஆறு உறுப்புகளைக் காண்க.

விடைகள்:
1.(i) 216,648,1944 (ii) -7 ,-11 ,-15 (iii) 4/25, 5/36 , 6/49
2.(i) -1 ,6,25,62 (ii) 2,-6 ,12,-20 (iii) -4 , 2, 12, 26
3.(i) n2 + 1 (ii) (n-1) / n (iii) 5n - 2
4.(i) 15/, 13/3 4 (ii)-12 , -117
5. 63/11, 225/31
6. 1,1,3,7,17,41