கேள்வி பதில்கள் மற்றும் தீர்வுகள் | கணக்கு - பயிற்சி 2.5 : கூட்டுத்தொடர் வரிசை | 10th Mathematics : UNIT 2 : Numbers and Sequences
பயிற்சி 2.5
1. பின்வரும் தொடர் வரிசைகள் ஒரு கூட்டுத் தொடர்வரிசையா எனச் சோதிக்கவும்.
(i) a - 3, a - 5, a - 7,...
(ii) 1/2, 1/3, 1/4, 1/5, ….
(i) 9, 13, 17, 21, 25,...
(iv) -1/3 , 0, 1/3 , 2/3 ,...
(v) 1, - 1, 1, - 1, 1, -1,...

2. கீழே கொடுக்கப்பட்டுள்ள முதல் உறுப்பு a மற்றும் பொது வித்தியாசம் d-க்குக் கூட்டுத் தொடர்வரிசைகளைக் காண்க.
(i) a = 5, d = 6
(ii) a = 7, d = −5
(iii) a = 3/4, d = 1/2

3. கீழே கொடுக்கப்பட்டுள்ள பொது உறுப்புகளையுடைய கூட்டுத் தொடர்வரிசைகளின் முதல் உறுப்பு மற்றும் பொது வித்தியாசம் காண்க.
(i) tn = −3 + 2n
(ii) tn = 4 − 7n

4. -11, -15, -19,... என்ற கூட்டுத் தொடர்வரிசையின் 19 -வது உறுப்பைக் காண்க

5. 16, 11, 6, 1,... என்ற கூட்டுத் தொடர்வரிசையில் -54 என்பது எத்தனையாவது உறுப்பு?

6. 9, 15, 21, 27,..., 183 என்ற கூட்டுத் தொடர்வரிசையின் நடு உறுப்புகளைக் காண்க.

7. ஒரு கூட்டுத் தொடர்வரிசையின் ஒன்பதாவது உறுப்பின் ஒன்பது மடங்கும், பதினைந்தாவது உறுப்பின் பதினைந்து மடங்கும் சமம் எனில் இருபத்து நான்காவது உறுப்பின் ஆறு மடங்கானது பூச்சியம் என நிறுவுக.

8. 3 + k, 18 - k, 5k + 1 என்பவை ஒரு கூட்டுத் தொடர்வரிசையில் உள்ளன எனில், k-யின் மதிப்புக் காண்க.

9. x, 10, y, 24, z என்பவை ஒரு கூட்டுத் தொடர்வரிசையில் உள்ளன எனில், x, y, z ஆகியவற்றின் மதிப்பு காண்க.

10. ஒரு சினிமா அரங்கின் முதல் வரிசையில் 20 இருக்கைகளும் மொத்தம் 30 வரிசைகளும் உள்ளன. அடுத்தடுத்த ஒவ்வொரு வரிசையிலும் அதற்கு முந்தைய வரிசையைவிட இரண்டு இருக்கைகள் கூடுதலாக உள்ளன. கடைசி வரிசையில் எத்தனை இருக்கைகள் இருக்கும்?

11. ஒரு கூட்டுத் தொடர்வரிசையில் அமைந்த அடுத்தடுத்த மூன்று உறுப்புகளின் கூடுதல் 27 மற்றும் அவற்றின் பெருக்கற்பலன் 288 எனில், அந்த மூன்று உறுப்புகளைக் காண்க.

12. ஒரு கூட்டுத் தொடர்வரிசையின் 6-வது மற்றும் 8-வது உறுப்புகளின் விகிதம் 7:9 எனில், 9-வது மற்றும் 13-வது உறுப்புகளின் விகிதம் காண்க.

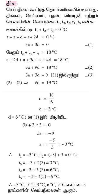
13. ஒரு குளிர்காலத்தில் திங்கள்கிழமை முதல் வெள்ளிக்கிழமை வரை ஊட்டியின் வெப்பநிலை கூட்டுத் தொடர்வரிசையில் உள்ளன. திங்கள் கிழமை முதல் புதன்கிழமை வரை உள்ள வெப்பநிலைகளின் கூடுதல் 0°C மற்றும் புதன்கிழமை முதல் வெள்ளிக்கிழமை வரை உள்ள வெப்பநிலைகளின் கூடுதல் 18°C எனில், ஐந்து நாட்களின் வெப்பநிலைகளைக் காண்க.

14. பிரியா தனது முதல் மாத வருமானமாக ₹15,000 ஈட்டுகிறார். அதன் பிறகு ஒவ்வோர் ஆண்டும் அவரது மாத வருமானம் ₹1500 உயர்கிறது. அவளுடைய முதல் மாத செலவு ₹13,000 மற்றும் அவளது மாதாந்திரச் செலவு ஒவ்வோர் ஆண்டும் ₹900 உயர்கிறது. பிரியாவின் மாதாந்திரச் சேமிப்பு ₹20,000 அடைய எவ்வளவு காலம் ஆகும்?

விடைகள்:
1.(i) கூட்டுத் தொடர் வரிசை (ii) கூட்டுத் தொடர் வரிசை இல்லை
(iii) கூட்டுத் தொடர் வரிசை (iv) கூட்டுத் தொடர் வரிசை
(v) கூட்டுத் தொடர் வரிசை இல்லை
2.(i) 5, 11, 17, … (ii) 7, 2, -3 , … (iii) 3/4, 5/4, 7/4, ...
3.(i) -1 , 2 (ii) -3, -7
4. -83
5. 15
6. 93, 99
8. 4
9. 3,17,31
10. 78
11. 2,9,16
12. 5:7
13. − 3° C, 0°C, 3°C, 6°C, 9°C
14. 31 ஆண்டுகள்