கேள்வி பதில்கள் மற்றும் தீர்வுகள் | கணக்கு - பயிற்சி 2.6 : தொடர்கள் : ஒரு கூட்டுத் தொடர்வரிசையின் முதல் n உறுப்புகளின் கூடுதல் | 10th Mathematics : UNIT 2 : Numbers and Sequences
பயிற்சி 2.6
1. பின்வருவனவற்றின் கூடுதல் காண்க.
(i) 3, 7, 11,... 40 உறுப்புகள் வரை
(ii) 102, 97, 92,... 27 உறுப்புகள் வரை
(iii) 6 + 13 + 20 + ... + 97

2. 5-லிருந்து தொடங்கி எத்தனை தொடர்ச்சியான ஒற்றை முழுக்களைக் கூட்டினால் கூடுதல் 480 கிடைக்கும்?

3. ஒரு கூட்டுத் தொடர்வரிசையின் n-வது உறுப்பு 4n - 3 எனில், அதன் முதல் 28 உறுப்புகளின் கூடுதல் காண்க.

4. ஒரு குறிப்பிட்ட தொடரின் முதல் ‘n' உறுப்புகளின் கூடுதல் 2 n2 – 3n எனில், அது ஒரு கூட்டுத் தொடர்வரிசை என நிரூபிக்க.

5. ஒரு கூட்டுத் தொடர்வரிசையின் 104-வது உறுப்பு மற்றும் 4-வது உறுப்புகள் முறையே 125 மற்றும் 0. அத்தொடர்வரிசையின் முதல் 35 உறுப்புகளின் கூடுதல் காண்க.

6. 450-க்குக் குறைவாக உள்ள அனைத்து ஒற்றை மிகை முழுக்களின் கூடுதல் காண்க.

7. 602-க்கும் 902- க்கும் இடையே 4 ஆல் வகுபடாத இயல் எண்களின் கூடுதல் காண்க.

8. இரகு ஒரு மடிக்கணினி வாங்க விரும்புகிறார். அவர் அதற்கான தொகையான ₹40,000-ஐ உடனடியாக பணமாகவும் செலுத்தலாம் அல்லது 10 மாதத் தவணைகளில் முதல் தவணை ₹4800, இரண்டாம் தவணை ₹4750, மூன்றாம் தவணை ₹4700 என்ற அடிப்படையிலும் செலுத்தலாம். அவர் இந்த வகையில் பணம் செலுத்துகிறார் எனில்,
(i) 10 மாதத் தவணைகளில் அவர் செலுத்திய மொத்தத் தொகை
(ii) மாதத் தவணை அடிப்படையில் பணம் செலுத்தும்போது அவர் அசலைக் காட்டிலும் கூடுதலாகச் செலுத்திய தொகை ஆகியவற்றைக் காண்க.

9. ஒருவர் தான் பெற்ற ₹65,000 கடனை திருப்பிச் செலுத்த முதல் மாதம் ₹400 செலுத்துகிறார். அதன் பிறகு ஒவ்வொரு மாதமும் முந்தைய மாதம் செலுத்தியதைவிட ₹300 கூடுதலாகச் செலுத்துகிறார். அவர் இந்தக் கடனை அடைக்க எவ்வளவு காலம் தேவைப்படும்?

10. செங்கற்களினால் கட்டப்பட்ட ஒரு படிக்கட்டில் மொத்தம் 30 படிகட்டுகள் உள்ளன. கீழ்ப் படிக்கட்டை அமைப்பதற்கு 100 செங்கற்கள் தேவைப்படுகிறது. அடுத்தடுத்த படிக்கட்டுகள் அமைப்பதற்கு முந்தைய படிக்கட்டை விட இரண்டு செங்கற்கள் குறைவாகத் தேவைப்படுகிறது.
(i) உச்சியிலுள்ள படிக்கட்டை அமைப்பதற்கு எத்தனை செங்கற்கள் தேவை?
(ii) படிகட்டுகள் முழுவதும் அமைப்பதற்கு எத்தனை செங்கற்கள் தேவை?

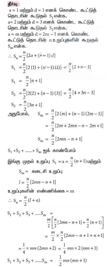
11. S 1, S2, S 3, ..., Sm என்பன m வெவ்வேறு கூட்டுத் தொடர்வரிசைகளின் n உறுப்புகளின் கூடுதலாகும். முதல் உறுப்புகள் 1, 2, 3,..., m மற்றும் பொது வித்தியாசங்கள் 1, 3, 5,..., (2m -1) முறையே அமைந்தால், அந்த கூட்டுத் தொடர் வரிசையில்
என நிரூபிக்க.

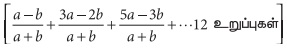
12.
என்ற தொடரின் கூடுதல் காண்க.

விடைகள்:
1.(i) 3240 (ii) 999 (iii) 721
2. 20
3. 1540
5. 612.5
6.50625
7. 168448
8.(i) ₹ 45750 (ii) ₹ 5750
9. 20 மாதங்கள்
10.(i) 42 (ii) 2130
12. 6/(a+b) / (24a - 13b)