கேள்வி பதில்கள் மற்றும் தீர்வுகள் | கணக்கு - பயிற்சி 2.7 : பெருக்குத்தொடர் வரிசை | 10th Mathematics : UNIT 2 : Numbers and Sequences
பயிற்சி 2.7
1. பின்வரும் தொடர்வரிசைகளில் எவை பெருக்குத் தொடர்வரிசையாகும்?
(i) 3,9,27,81,…
(ii) 4,44,444,4444,...
(iii) 0.5,0.05,0.005,…
(iv) 1/3 , 1/6 , 1/12 ,...
(v) 1, − 5, 25, −125,…
(vi) 120,60,30,18,…
(vii)16, 4, 1, 1/4 , ...

2. கீழே கொடுக்கப்பட்டுள்ள முதல் உறுப்பு மற்றும் பொதுவிகிதம் உடைய பெருக்குத் தொடர்வரிசையின் முதல் மூன்று உறுப்புகளை எழுதுக.
(i) a = 6, r = 3
(ii) a = √2, r = √2
(iii) a = 1000, r = 2/5

3. 729, 243, 81,... என்ற பெருக்குத் தொடர்வரிசையின் 7-வது உறுப்பைக் காண்க.

4. x + 6, x + 12 மற்றும் x + 15 என்பன ஒரு பெருக்குத் தொடர்வரிசையின் தொடர்ச்சியான மூன்று உறுப்புகள் எனில், x -யின் மதிப்பைக் காண்க.

5. பின்வரும் பெருக்குத் தொடர்வரிசையில் உள்ள உறுப்புகளின் எண்ணிக்கையைக் காண்க.
(i) 4,8,16,…,8192
(ii) 

6. ஒரு பெருக்குத் தொடர்வரிசையின் 9-வது உறுப்பு 32805 மற்றும் 6-வது உறுப்பு 1215 எனில், 12-வது உறுப்பைக் காண்க.

7. ஒரு பெருக்கத்தொடர் வரிசையின் 8-வது உறுப்பு 768 மற்றும் பொது விகிதம் 2 எனில், அதன் 10-வது உறுப்பைக் காண்க.

8. a, b, c என்பன ஒரு கூட்டுத் தொடர்வரிசையில் அமையும் எனில் 3a, 3b, 3c ஒரு பெருக்குத் தொடர்வரிசையில் அமையும் எனக் காட்டுக.

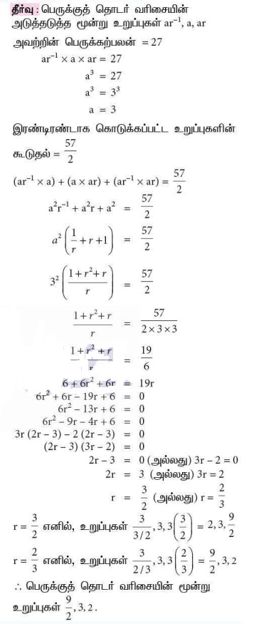
9. ஒரு பெருக்குத் தொடர்வரிசையில் அடுத்தடுத்த மூன்று உறுப்புகளின் பெருக்கற்பலன் 27 மற்றும் அவைகளில் இரண்டிரண்டு உறுப்புகளின் பெருக்கற்பலனின் கூடுதல் 57/2 எனில், அந்த மூன்று உறுப்புகளைக் காண்க.

10. ஒரு நபர் ஒரு நிறுவனத்தில் துணை மேலாளராகப் பணியில் சேர்கிறார். அவருக்கு அந்நிறுவனம் முதல் மாத ஊதியமாக ₹60,000 வழங்குகிறது மற்றும் ஆண்டு ஊதிய உயர்வு 5% வழங்குவதாக ஒப்புக்கொள்கிறது. 5 வருட முடிவில் அவருடைய மாத ஊதியம் எவ்வளவு?

11. சிவமணி ஒரு பணிக்கான நேர்காணலில் பங்கேற்கிறார். அந்நிறுவனம் அவருக்கு இரண்டு விதமான வாய்ப்புகளை வழங்குகிறது.
வாய்ப்பு A: முதல் மாத ஊதியம் ₹20,000 மற்றும் நிச்சயமான 6% ஆண்டு ஊதிய உயர்வு 5 ஆண்டுகளுக்கு.
வாய்ப்பு B: முதல் மாத ஊதியம் ₹22,000 மற்றும் நிச்சயமான 3% ஆண்டு ஊதிய உயர்வு 5 ஆண்டுகளுக்கு.
A மற்றும் B ஆகிய இரு வாய்ப்புகளிலும் அவருடைய 4-வது வருட ஊதியம் எவ்வளவு?

12. a, b, c என்பன ஒரு கூட்டுத் தொடர்வரிசையில் உள்ள மூன்று அடுத்தடுத்த உறுப்புகள் மற்றும் x, y, z என்பன ஒரு பெருக்கு தொடர்வசையின் மூன்று அடுத்தடுத்த உறுப்புகள் எனில் xb −c × yc −a × za −b = 1. என நிறுவுக.

விடைகள்:
1.(i) பெருக்குத் தொடர் வரிசை (ii) பெருக்குத் தொடர் வரிசை இல்லை (iii) பெருக்குத் தொடர் வரிசை (iv) பெருக்குத் தொடர் வரிசை (v) பெருக்குத் தொடர் வரிசை (vi) பெருக்குத் தொடர் வரிசை இல்லை (vii) பெருக்குத் தொடர் வரிசை
2.(i) 6,18,54 (ii) √2 ,2, 2√2 (iii) 1000,400,160
3. 1
4. -18
5.(i) 12 (ii) 7
6. 5 × (311)
7. 3072
9. 9/2, 3, 2 அல்லது 2, 3, 9/2
10. ₹ 76577
11. ₹ 23820, ₹ 24040