கேள்வி பதில்கள் மற்றும் தீர்வுகள் | கணக்கு - பயிற்சி 2.9 : சிறப்புத் தொடர்கள் | 10th Mathematics : UNIT 2 : Numbers and Sequences
பயிற்சி 2.9
1. பின்வரும் தொடர்களின் கூடுதலைக் காண்க.
(i) 1 + 2 + 3 + ... + 60
(ii) 3 + 6 + 9 + … + 96
(iii) 51 + 52 + 53 + ... + 92
(iv) 1 + 4 + 9 + 16 + ... + 225
(v) 62 + 72 + 82 + ... + 212
(vi) 103 + 113 + 123 + ... + 203
(vii) 1 + 3 + 5 + ... + 71

2. 1 + 2 + 3 + ... + k = 325, எனில் 13 + 23 + 33 + ... + k3 யின் மதிப்பு காண்க.

3. 13 + 23 + 33 + ... + k3 = 44100 எனில், 1 + 2 + 3 + ... + k யின் மதிப்பு காண்க.

4. 13 + 23 + 33 + … என்ற தொடரின் எத்தனை உறுப்புகளைக் கூட்டினால் கூடுதல் 14400 கிடைக்கும்?

5. முதல் n இயல் எண்களின் கணங்களின் கூடுதல் 2025 எனில் n-யின் மதிப்பு காண்க.

6. ரேகாவிடம் 10 செ.மீ, 11 செ.மீ, 12 செ.மீ, ...... 24 செ.மீ என்ற பக்க அளவுள்ள 15 சதுர வடிவ வண்ணக் காகிதங்கள் உள்ளன. இந்த வண்ணக் காகிதங்களைக் கொண்டு எவ்வளவு பரப்பை அடைத்து அலங்கரிக்க முடியும்?

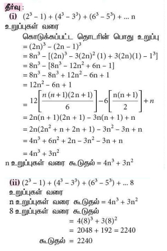
7. (23 - 13) + (43 – 33) + (63 – 53) + ... என்ற தொடர்வரிசையின்
(i) n உறுப்புகள் வரை
(ii) 8 உறுப்புகள் வரை கூடுதல் காண்க.

விடைகள்:
1. (i) 1830 (ii) 1584 (iii) 3003
(iv) 1240 (v) 3256 (vi) 42075 (vii) 1296
2. 105625
3. 210
4. 15
5. 9
6. 4615 செ.மீ 2
7.(i) 4n2 + 3n2 (ii) 2240