கணக்கு கேள்வி பதில்கள், தீர்வு | முக்கோணவியல் | கணிதம் - பயிற்சி 3.9 : முக்கோணத்தின் பரப்பு – ஹிரான்ஸ் சூத்திரம் | 11th Mathematics : UNIT 3 : Trigonometry
Posted On : 15.11.2022 04:35 pm
11வது கணக்கு : அலகு 3 : முக்கோணவியல்
பயிற்சி 3.9 : முக்கோணத்தின் பரப்பு – ஹிரான்ஸ் சூத்திரம்
கணக்கு புத்தக பயிற்சிக் கணக்குகள், தீர்வுகள் மற்றும் பதில்கள் - கணிதம் : முக்கோணவியல் : முக்கோணத்தின் பரப்பு – ஹிரான்ஸ் சூத்திரம்
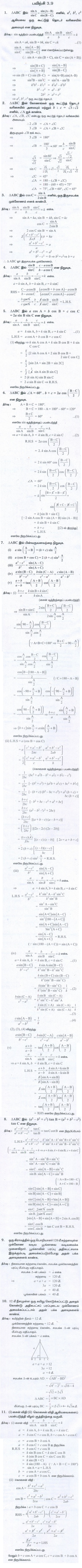
பயிற்சி 3.9

Tags : Problem Questions with Answer, Solution | Trigonometry | Mathematics கணக்கு கேள்வி பதில்கள், தீர்வு | முக்கோணவியல் | கணிதம்.
11th Mathematics : UNIT 3 : Trigonometry : Exercise 3.9: Area of a triangle (Heron’s Formula) Problem Questions with Answer, Solution | Trigonometry | Mathematics in Tamil : 11th Standard
Tamil Medium School Samacheer Book Back Questions and answers, Important Question with Answer.
11வது கணக்கு : அலகு 3 : முக்கோணவியல் : பயிற்சி 3.9 : முக்கோணத்தின் பரப்பு – ஹிரான்ஸ் சூத்திரம் - கணக்கு கேள்வி பதில்கள், தீர்வு | முக்கோணவியல் | கணிதம் : 11 ஆம் வகுப்பு
புத்தகம் கேள்விகள் மற்றும் பதில்கள்.