கணிதவியல் - வடிவக் கணிதத்திலிருந்து வகைக்கெழுச் சமன்பாடுகளை உருவாக்குதல் (Formation of Differential Equations from Geometrical Problems) | 12th Maths : UNIT 10 : Ordinary Differential Equations
வடிவக் கணிதத்திலிருந்து வகைக்கெழுச் சமன்பாடுகளை உருவாக்குதல் (Formation of Differential Equations from Geometrical Problems)
சில மாறிலிகளை துணையலகுகளாகக் கொண்ட கொடுக்கப்பட்ட சார்புகளுக்கு, அச்சார்புகளில் உள்ள மாறிலிகளை நீக்கி வகைக்கெழுச் சமன்பாடுகளை உருவாக்கலாம். எடுத்துக்காட்டாக, y = Aex + B e− x எனும் சமன்பாட்டிலிருந்து A, B எனும் மாறிலிகளை நீக்குவதால் d2y/dx2 − y = 0. எனும் வகைக்கெழுச் சமன்பாடு பெறப்படுகிறது.
n மாறிலிகளைக் கொண்ட ஒரு வளைவரை குடும்பத்தின் சமன்பாட்டைக் கருதுவோம். இம்மாறிலிகள் இல்லாத வகைக்கெழுச் சமன்பாட்டை அமைப்பதற்கான வழிமுறையைக் காண்போம்.
கொடுக்கப்பட்ட சமன்பாட்டின் nதொடர் வகைக்கெழுக்களைக் காண்பதன் மூலம் அச்சமன்பாட்டின் n வகைக்கெழுச் சமன்பாடுகளைப் பெறுகிறோம். கொடுக்கப்பட்ட சமன்பாட்டையும் அச்சமன்பாட்டைத் தொடர்ந்து n முறை வகைப்படுத்துவதால் கிடைக்கும் n புதிய சமன்பாடுகளையும் சேர்த்துக் கிடைக்கும் (n + 1) சமன்பாடுகளிலிருந்து n மாறிலிகளை நீக்கிய பின்னர், n வரிசையுள்ள வகைக்கெழுவைக் கொண்ட தேவையான வகைக்கெழுச் சமன்பாடு கிடைக்கும்.
எடுத்துக்காட்டு 10.2
ஆதி வழியாகச் செல்லும் நேர்க்கோடுகளின் தொகுதியின் வகைக்கெழுச் சமன்பாட்டைக் காண்க.
தீர்வு
ஆதி வழிச்செல்லும் நேர்க்கோடுகளின் குடும்பத்தின் சமன்பாடு y = mx ஆகும். இங்கு, m என்பது ஏதேனும் ஒரு மாறிலி…. (1)
இருபுறமும் xஐப் பொருத்து வகைக்கெழுக் காண, நாம் பெறுவது,
dy/dx = m…..(2)

சமன்பாடுகள் (1) மற்றும் (2) ஆகியவற்றிலிருந்து, நாம் பெறுவது, y = x (dy/dx.) இதுவே தேவையான வகைக்கெழுச் சமன்பாடாகும்.
கொடுக்கப்பட்ட y = mx எனும் சமன்பாடு ஒரேயொரு மாறிலியை மட்டுமே பெற்றுள்ளது. எனவே, நாம் முதல் வரிசை வகைக்கெழுச் சமன்பாட்டைப் பெறுகிறோம் என்பதை கவனத்தில் கொள்க.
எடுத்துக்காட்டு 10.3
y = A cos x + B sin x எனும் சமன்பாட்டிலிருந்து A, B எனும் மாறிலிகளை நீக்கி வகைக்கெழுச் சமன்பாட்டை உருவாக்குக.
தீர்வு
y = Acos x + Bsin x….... (1)
சமன்பாடு (1)ஐ தொடர்ந்து இருமுறை வகையிட, நாம் பெறுவது
dy/dx = -A sin x + B cos x .... (2)
d2y / dx2 = - A cos x - Bsin x = -(A cos x + Bsin x).... (3)
சமன்பாடு (1)ஐ (3)இல் பிரதியிட, d2y/dx2 + y = 0 எனும் தேவையான வகைக்கெழுச் சமன்பாட்டை நாம் பெறுகிறோம்.
எடுத்துக்காட்டு 10.4
(a,0) மற்றும் (-a,0) எனும் புள்ளிகள் வழியாகச் செல்லும் வட்டக் தொகுதியின் வகைக்கெழுச் சமன்பாட்டைக் காண்க.
தீர்வு
(a,0) மற்றும் (-a,0) எனும் புள்ளிகள் வழியாகச் செல்லும் வட்டத்தின் மையம் y - அச்சின் மீது அமையும்.
வட்டத்தின் மையம் (0,b) என்க. ஆகவே, வட்டத்தின் ஆரம் √[a2 + b2].ஆகும்.
எனவே, (a,0) மற்றும் (-a,0) எனும் புள்ளிகள் வழியாகச் செல்லும் வட்டக் தொகுதியின் சமன்பாடு x2 + (y - b) 2 = a2 + b2.
இங்கு b என்பது ஏதேனும் ஒரு மாறிலியாகும்.
சமன்பாடு (1)-ன் இருபக்கமும் x-ஐப் பொருத்து வகைக்கெழு காண,

b-ன் இம்மதிப்பை சமன்பாடு (1)-ல் பிரதியிட, நாம் பெறுவது

இதுவே தேவையான வகைக்கெழுச் சமன்பாடாகும்.
எடுத்துக்காட்டு 10.5
y2 = 4ax எனும் பரவளையத் தொகுதியின் வகைக்கெழுச் சமன்பாட்டைக் காண்க. இங்கு a என்பது ஏதேனும் ஒரு மாறிலியாகும்.
தீர்வு
பரவளையக் குடும்பத்தின் சமன்பாடு y2 = 4ax,
இங்கு a என்பது ஏதேனும் ஒரு மாறிலியாகும்….(1)
சமன்பாட்டின் இருபக்கமும் x ஐப் பொருத்து வகைக்கெழு காண, நாம் பெறுவது 2y dy/dx = 4 a ⇒ a = y/2 dy/dx

a இன் மதிப்பை சமன்பாடு (1)-ல் பிரதியிட, நாம் பெறுவது dy/dx = y/2x எனும் தேவையானவகைக்கெழுச் சமன்பாடாகும்.
எடுத்துக்காட்டு 10.6
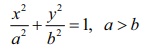
x - அச்சின் மீது குவியங்களையும் ஆதிப்புள்ளியில் மையத்தையும் கொண்ட நீள்வட்டக் குடும்பத்தின் வகைக்கெழுச் சமன்பாட்டைக் காண்க.
தீர்வு
x-அச்சின் மீது குவியங்களையும் ஆதிப்புள்ளியில் மையத்தையும் கொண்ட நீள்வட்டக் குடும்பத்தின் சமன்பாடு
-------(1)
இங்கு a, b என்பன ஏதேனுமிரு மாறிலிகள்.
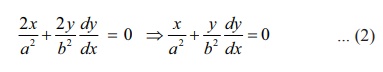
சமன்பாடு (1)-ன் இருபுறமும் x ஐப் பொருத்து வகைக்கெழு காண,

சமன்பாடு (2)-ன் இருபக்கமும் x ஐப் பொருத்து வகைக்கெழு காண,

1/a2இன் மதிப்பை சமன்பாடு (2)-ல் பிரதியிட்டு எளிமைப்படுத்தினால் நமக்குக் கிடைப்பது,

இதுவே தேவையான வகைக்கெழுச் சமன்பாடாகும்.
குறிப்புரை
ஒரு மாறிலியைக் கொண்ட சமன்பாட்டிலிருந்து அம்மாறிலியை நீக்குவதால் முதல் வரிசை வகைக்கெழுச் சமன்பாட்டையும் மற்றும் இரண்டு மாறிலிகளைக் கொண்ட சமன்பாட்டிலிருந்து இரண்டு மாறிலிகளையும் நீக்குவதால் இரண்டாம் வரிசை வகைக்கெழுச் சமன்பாட்டையும் மற்றும் இதேபோல் தொடர, நீக்கப்படும் மாறிலிகளின் எண்ணிக்கை கேற்ப வரிசைகளைக் கொண்ட வகைக்கெழுச் சமன்பாடுகளைப் பெறலாம்.