முதல் வரிசை, முதற்படி வகைக்கெழுச் சமன்பாடுகளின் தீர்வு (Solution of First Order and First Degree Differential Equations) | கணிதவியல் - சமபடித்தான அமைப்பு அல்லது சமபடித்தான வகைக்கெழுச் சமன்பாடுகள் (Homogeneous Form or Homogeneous Differential Equation) | 12th Maths : UNIT 10 : Ordinary Differential Equations
சமபடித்தான அமைப்பு அல்லது சமபடித்தான வகைக்கெழுச் சமன்பாடுகள் (Homogeneous Form or Homogeneous Differential Equation)
வரையறை 10.12 : (n-ஆம் சமபடித்தான சார்பு)
n ∈ ℝ மற்றும் பொருத்தமாகக் கட்டுப்படுத்தப்பட்ட x,y மற்றும் t ஆகியவற்றுக்கு f (tx,ty) =tn f (x,y) எனில், x, y ஆகியவற்றை மாறிகளாகக் கொண்ட சார்பு f (x,y) ஆனது n ஆம் படியில் சமபடித்தான சார்பு எனப்படும். இது ஆய்லரின் சமபடித்தன்மை எனவும் அழைக்கப்படும்.
எடுத்துக்காட்டாக
, (i) f (x, y) = 6x2 + 2xy + 4 y2 என்பது x, y-ல் அமைந்த படி 2 உடைய சமபடித்தான சார்பாகும்.
(ii) ஆனால் f (x, y) = x3 + ( sin x)ey என்பது சமபடித்தான சார்பு அல்ல. f(x,y) என்பது படி 0 கொண்ட சமபடித்தான சார்பு எனில், f (x,y) என்பதை எப்பொழுதும் g(y/x) அல்லது g (x/y)எனும் வடிவில் எழுதுமாறு g எனும் சார்பு இருக்கும்.
வரையறை 10.13 : (சமபடித்தான வகைக்கெழுச் சமன்பாடு)
ஒரு சாதாரண வகைக்கெழுச் சமன்பாட்டை dy/dx = g(y/x) எனும் அமைப்பில் எழுதமுடியுமானால், அச்சமன்பாடு சமபடித்தான அமைப்பில் உள்ள வகைக்கெழுச் சமன்பாடு எனப்படும்.
கவனிக்க
வரையறை 10.8இல் பயன்படுத்தப்பட்டுள்ள "சமபடித்தான" எனும் வார்த்தையும் வரையறை 10.12இல் பயன்படுத்தப்பட்டுள்ள “சமபடித்தான” எனும் வார்த்தையும் வெவ்வேறு பொருள் கொண்டவை என்பதை கவனத்தில் கொள்க.
குறிப்புரை
(i) M மற்றும் N என்பவை ஒரே படி கொண்ட சமபடித்தான சார்புகள் எனில், வகையீடுஅமைப்பில் உள்ள M(x,y)dx + N(x, y)dy = 0 எனும் வகைக்கெழுச் சமன்பாடு சமபடித்தான வகைக்கெழுச் சமன்பாடு எனப்படும்.
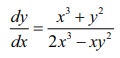
(ii) மேற்கண்ட சமன்பாட்டை, dy/d = f (x,y) [வகைக்கெழு வடிவம்] என எழுதலாம். இங்குf (x,y) =-M(x,y) / N(x,y) ஆகும். இச்சார்பு படி 0 கொண்ட சமபடித்தான சார்பு எனத்தெளிவாகக் காணலாம். எடுத்துக்காட்டாக,
(1) (x2 - 3y2) dx + 2xy dy = 0 எனும் வகைக்கெழுச் சமன்பாட்டை கருதுவோம். கொடுக்கப்பட்ட சமன்பாட்டை
என எழுதலாம்.
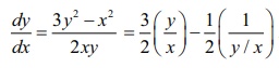
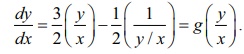
ஆகவே, கொடுக்கப்பட்ட சமன்பாட்டை,
என எழுதலாம்.
எனவே, (x2 - 3y2) dx + 2xy dy = 0 எனும் சமன்பாடு சமபடித்தான வகைக்கெழுச் சமன்பாடாகும்.
(2)
எனும் வகைக்கெழுச் சமன்பாடு சமப்படித்தான சமன்பாடு அல்ல (சரிபார்!) dy/dx = g(y/x) எனும் வகைக்கெழுச் சமன்பாட்டின் தீர்வு காண்பதற்கு v = y/x எனப் பிரதியிடுக. பின்னர், y = xv மற்றும் dy/dx = v+x dv/dx ஆகும். ஆகவே, கொடுக்கப்பட்ட வகைக்கெழுச் சமன்பாடு x dv/dx = f (v) – v என வடிவத்திற்கு மாறும். இச்சமன்பாட்டின் தீர்வினை மாறிகளைப் பிரிக்கும் முறையில் காணலாம். இதிலிருந்து பின்வரும் முடிவினைப் பெறுகிறோம்.
தேற்றம் 10.1
M(x, y)dx + N(x,y)dy = 0 என்பது சமபடித்தான சமன்பாடு எனில், y = vx எனப் பிரதியிட்டு மாறியை மாற்றுவதால் இச்சமன்பாடு v மற்றும் x எனும் பிரிபடக்கூடிய மாறிகளைக் கொண்ட சமன்பாடாக உருமாறுகிறது.
