வரையறை, சூத்திரம், தீர்க்கப்பட்ட எடுத்துக்காட்டு கணக்குகள், பயிற்சி | கணிதம் - நேர்மாறு முக்கோணவியல் சார்புகள் | 11th Mathematics : UNIT 3 : Trigonometry
நேர்மாறு முக்கோணவியல் சார்புகள் (Inverse Trigonometric Function)
f(x) என்ற சார்பு 1-1 மற்றும் மேல் சார்பு என இருந்தால், இருந்தால் மட்டுமே அதற்கு நேர்மாறு உண்டு. 1-1 பண்பு இல்லை எனில், அச்சார்புக்கு நேர்மாறு வரையறுக்க இயலாது. எனினும் சார்பகத்தை பொருத்தமாக கட்டுப்படுத்துவதன் மூலம் கட்டுப்படுத்தப்பட்ட சார்பகத்தில் அச்சார்பினை 1-1 சார்பாக மாற்றலாம்.
எடுத்துகாட்டாக, y = x2 என்பது அனைத்து மெய்யெண்களுக்கு 1-1 அல்ல, ஆனால் x ≥ 0 அல்லது x ≤ 0 எனில் y = x2, 1-1 மற்றும் மேல்சார்பு ஆகும். எனவே x ≥ 0 விற்கு y = x2 என்ற சார்பின் நேர்மாறு f -1 (x) = √x, x ≥ 0 . கால வட்ட ஒழுங்குடைமையால் ஆறு முக்கோண சார்புகளில் எந்தவொரு சார்பிற்கும் அதன் சார்பகத்தில் 1-1 ஆக இருக்காது.
முக்கோணவியல் சார்புகளின் சார்பகத்தை கட்டுப்படுத்தி அவைகளை ஒன்றிற்கொன்று பெறும்படிச் செய்து நேர்மாறு சார்புகள் இருத்தலை உறுதி செய்யலாம்.
காலவட்ட ஒழுங்குடைமையால் கட்டுப்படுத்தலை பல வகைகளில் செய்யலாம். கட்டுப்படுத்தப்பட்ட சார்பகத்தை முறையாகத் தேர்ந்தெடுப்பது எதேச்சையானது, ஆனால் அவை சில முக்கியமான குணாதிசயங்களைப் பெற்றிருக்கும்.
ஒவ்வொரு கட்டுப்படுத்தப்பட்ட சார்பகமும் 0, மிகை கோணங்கள் மற்றும் முழுவீச்சகத்தை கட்டுப்படுத்தப்பட்ட சார்பகத்தின் பிம்பம் உள்ளடக்கியது.
சைனின் நேர்மாறலை நாம் வரையறை செய்வோம்.
ஐ கருதுவோம். கட்டுப்படுத்தப்பட்ட சார்பகத்தில் சைன் 1-1 மற்றும் மேல் சார்பு அகும். எனவே சைனின் நேர்மாறு சார்பு உண்டு.
f-1 (y) = x என இருந்தால் இருந்தால் மட்டுமே f(x) = y ஆகும் என்பதனை கவனிக்க. f-1(x) = sin-1(x) என எழுதுக. இவ்வாறாக sinx = y என்றவாறு இருந்தால் மட்டுமே சைனின் நேர்மாறை sin-1 (y) = x என வரையறுக்கலாம்.
என்பது தெளிவு. sin-1 t என்பது ஒரு கோணம். அதன் சைன் மதிப்பு t ஆகும். இம்மதிப்பு [- π/2, π/2] இல் இருக்கும். இதேபோல், மற்ற முக்கோணவியல் சார்புகளின் நேர்மாறுகளையும் வரையறுக்கலாம்.
sin-1 x, cos -1 x, tan-1 x, cosec-1(x), sec-1 (x), cot -1(x) ஆகியவை நேர்மாறு வட்டச் சார்புகள் என்று அழைக்கப்படுகின்றன. y = sin x என்ற சார்பின் எண்ணிலடங்காக் கோணங்கள் x, sinx = t, - 1 ≤ t ≤ 1 ஐ நிறைவு செய்யும். இந்த எண்ணிலடங்கா மதிப்புகளில் ஒன்று [ -π/2, π/2] என்ற இடைவெளியில் இருக்கும். இக்கோணம் முதன்மை கோணம் என்று அழைக்கப்படுகிறது மற்றும் அதனை sin-1t எனக் குறிப்போம். பொது மதிப்புகளில் மிகச்சிறிய எண்ண ளவுடைய மதிப்பு நேர்மாறு சார்பின் முதன்மை மதிப்பு ஆகும். இது மிகையாகவோ அல்லது குறையாகவோ இருக்கலாம். ஒரே எண்ணளவு கொண்ட இரு மதிப்புகளில் ஒன்று மிகையாகவும் மற்றொன்று குறையாகவும் இருப்பின், மிகை மதிப்பே முதன்மை மதிப்பு ஆகும்.
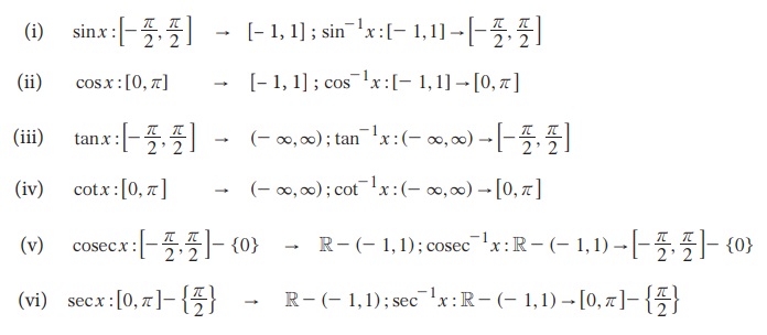
முக்கோணவியல் சார்புகளின் கட்டுப்படுத்தப்பட்ட சார்பகங்கள், வீச்சகங்கள் மற்றும் அதற்கு ஒத்த நேர்மாறு சார்புகளின் சார்பகங்களும் வீச்சகங்களும் கீழே கொடுக்கப்பட்டுள்ளன.

குறிப்பு:
(i) sin-1x இன் பொருள் 1/sinx அல்ல.
(ii) சர் ஜான் ஹர்சல் (1813) (Sir John FW Harschel) அவர்கள் sin-1 x என்ற குறியீட்டிற்கு arc sin x எனக் குறிப்பிட்டார்.
(iii) சைன் சார்பின் நேர்மாறை விவாதிக்கும் போது
மற்றும் x = sin-1y,- 1 ≤ y≤ 1 என நாம் கட்டுண்டோம்.
(iv) நேர்மாறு சார்பு f-1 - இன் வரைபடம், y = x என்ற அச்சைப் பொறுத்து, f -இன் வரைபடத்தின் பிரதிபலிப்பாகும். எனவே, (a,b) ∈ f எனில், (b,a) ∈ f -1
நேர்மாறல் முக்கோணவியல் சார்புகளின் முதன்மை மதிப்புகள் கீழே பட்டியலிடப்பட்டுள்ளன.

குறிப்பு: (i) முக்கோணவியல் நேர்மாறு சார்புகளின் பண்புகள், வரைபடங்கள் மற்றும் தேற்றங்கள் ஆகியவற்றை மேல்நிலை இரண்டாம் ஆண்டில் படிப்போம்.
(ii) சில தொகையிடல்களை மதிப்பிட நேர்மாறு முக்கோணவியல் சார்புகள் பெரிதும் பயன்படுகின்றன. அவற்றைப் பின்பு படிப்போம்.
எடுத்துக்காட்டு 3.71 
ஆகியவைகளுக்கு முதன்மை மதிப்பைக் காண்க.
தீர்வு:

ஆகியவற்றின் முதன்மை மதிப்பைக் காண்க.
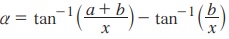
2. x மீட்டர் அகலமுடைய பாதையின் ஒரு புறத்திலிருந்து பாதையின் மறுபக்கம் அமைக்கப்பட்ட a மீட்டர் விட்டமுடைய வட்ட வடிவப் போக்குவரத்து சமிக்கையின் பச்சை விளக்கை ஒருவர் பார்க்கிறார். பச்சை விளக்கின் அடிப்பகுதியிலிருந்து பார்ப்பவரின் கண்ணின் கிடைமட்டக் கோடு வரையில் உள்ள உயரம் b மீட்டர் ஆகும். பச்சை விளக்கின் விட்டம் பார்ப்பவரின் கண்க ளில் தாங்கும் கோணம் α எனில்
என நிறுவுக.
சரியான அல்லது மிகவும் ஏற்புடைய விடையினைத் தேர்ந்தெடுக்கவும்.
1. 
(1) √2
(2) √3
(3) 2
(4) 4
2. cos 28° + sin 28° = k3 எனில், cos 17° இன் மதிப்பு

3.
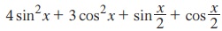
இன் மீப்பெரு மதிப்பு
(1) 4+√2
(2) 3+√2
(3) 9
(4) 4
4. 
(1) 1/8
(2) 1/2
(3) 1/√3
(4) 1/√2
5.
இன் மதிப்பு
(1) - 2cosθ
(2) - 2sinθ
(3) 2 cosθ
(4) 2 sinθ
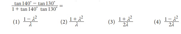
6. tan 40° = λ எனில்,

7. cos 1° + cos 2° + cos 3° + ... + cos 179° =
(1) 0
(2) 1
(3) -1
(4) 89
8.
என்க. இங்கு, x ∈ R மற்றும் k ≥ 1 எனில், f4 (x) – f6 (x)=
(1) 1/4
(2) 1/12
(3) 1/6
(4) 1/3
9. பின்வருவனவற்றில் எது சரியானதல்ல?
(1) sinθ = -3/4
(2) cosθ = -1
(3) tanθ = 25
(4) secθ = 1/4
10. cos 2θ cos 2ϕ + sin2 (θ – ϕ) – sin2 (θ + ϕ) இன் மதிப்பு
(1) sin2 (θ + ϕ)
(2) cos 2(θ+ ϕ)
(3) sin2(θ – ϕ)
(4) cos 2(θ - ϕ)
11. sin(A - B)/ cos A cosB + sin(B - C)/ cos Bcos C + sin(C- A)/ cos Ccos A =
(1) sin A + sin B + sinC
(2) 1
(3) 0
(4) cos A + cosB + cosC
12. cosp θ + cosq θ = 0, p ≠ q, n ஏதேனும் ஒரு முழு எண் n எனில் θ –வின் மதிப்பு.

13. x2 + ax + b = 0 இன் மூலங்கள் tan α மற்றும் tan β எனில், sin(α+ β)/sin α sin β இன் மதிப்பு
(1) b/a
(2) a/b
(3) – a/b
(4) – b/a
14. ∆ ABC இல் sin2 A + sin2 B + sin2 c = 2 எனில், அந்த முக்கோணமானது
(1) சமபக்க முக்கோணம்
(2) இரு சமபக்க முக்கோணம்
(3) செங்கோண முக்கோணம்
(4) அசமபக்க முக்கோணம்
15. f(θ) = |sin θ |+|cos θ| , θ ∈ R எனில், f(θ) அமையும் இடைவெளி,
(1) [0, 2]
(2) [1, √2]
(3) [1, 2]
(4) [0, 1]
16. 
(1) cos 2x
(2) cos x
(3) cos 3 x
(4) 2 cos x
17. மாறாத சுற்றளவு 12 மீ கொண்ட முக்கோணத்தின் அதிகபட்ச பரப்பளவானது,
(1) 4 மீ பக்கத்தினைக் கொண்ட சமபக்க முக்கோணமாக அமையும்.
(2) 2 மீ, 5 மீ மற்றும் 5 மீ பக்கங்களைக் கொண்ட இரு சமபக்க முக்கோணமாக அமையும்.
(3) 3 மீ, 4 மீ மற்றும் 5 மீ பக்கங்களைக் கொண்ட ஒரு முக்கோணமாக அமையும்.
(4) முக்கோணம் அமையாது.
18. ஒரு சக்கரமானது 2 ஆரையன்கள் அளவில் / விகலைகள் சுழல்கிறது. எனில், 10 முழு சுற்று சுற்றுவதற்கு எத்தனை விகலைகள் எடுத்துக் கொள்ளும்?
(1) 10 π விகலைகள்
(2) 20 π விகலைகள்
(3) 5 π விகலைகள்
(4) 15 π விகலைகள்
19. sin α + cos α = b எனில், sin 2 α இன் மதிப்பு
(1) b ≤ √2 எனில், b2 - 1
(2) b > √2 எனில், b2 - 1
(3) b ≥ 1 எனில், b2 - 1
(4) b ≥ √2 எனில், b2 - 1
20. ΔABC இல் (i)
(ii) sinA sinB sinC > 0
(1) (i) மற்றும் (ii) ஆகிய இரண்டும் உண்மை.
(2) (i) மட்டுமே உண்மை.
(3) (ii) மட்டுமே உண்மை.
(4) (i) மற்றும் (ii) ஆகிய இரண்டும் உண்மையில்லை.