பருப்பொருளின் பண்புகள் | இயற்பியல் - நெடுவினாக்கள் மற்றும் பதில்கள் | 11th Physics : UNIT 7 : Properties of Matter
பருப்பொருளின் பண்புகள்
நெடுவினாக்கள்
1. ஹூக் விதியைக் கூறுக. ஒரு சோதனை உதவியுடன் அதனை சரிபார்க்கவும்.
● சிறிய அளவிலான உருக்குலைவிற்கு தகைவு மற்றும் திரிபு ஒன்றுக்கொன்று நேர் விகிதத்தில் இருக்கும்.
● O என்ற நிலையான புள்ளியில் தொங்கவிடப்பட்ட L நீளமும் A பரப்பும் கொண்ட கம்பியை நீட்சியடையச் செய்வதன் மூலம் சரிபார்க்கலாம்.
● படத்தில் உள்ளவாறு கம்பியின் மறுமுனையில் தட்டு மற்றும் குறிமுள் இணைக்கப்பட்டு கம்பியில் உருவாகும் நீட்சி வெர்னியர் அளவுகோளால் அளக்கப்படும்.
● F பளுவிற்கு கம்பியின் நீட்சி ΔL ஆனது தொடக்க நீளம் L ற்கு நேர்விகிதத்திலும் பரப்பு A-ற்கு எதிர்விகிதத்திலும் இருக்கும்.
● F ஐ X அச்சிலும் ΔL ஐ Y அச்சிலும் கொண்டு வரைபடம் வரைந்தால் அது ஆதிப்புள்ளி வழி செல்லும் நேர்கோடாகும்.
ΔL= (சாய்வு) F = AL ஆல் பெருக்கவும், வகுக்கவும்


தகைவு மற்றும் திரிபு சமன்பாட்டை ஒப்பிட To 𝝈 α ε மீட்சி எல்லையில் தகைவானது திரிபுக்கு நேர் விகிதத்தில் உள்ளது.
2. மீட்சிக் குணகத்தின் வகைகளை விளக்குக.
மூவகை மீட்சிக் குணகங்கள் உள்ளன. அவை,
(1) யங்குணகம்
(2) பருமக் குணகம்
(3) விறைப்புக் குணகம் (அ) சறுக்குப்பெயர்ச்சிக் குணகம்
1. யங் குணகம் :
ஒரு கம்பியானது நீட்டிக்கப்பட்டால் அல்லது அமுக்கப்பட்டால் இழுவிசைத் தகவு மற்றும் இழுவிசைத் திரிபு ஆகியவற்றிற்கு இடையே உள்ள விகிதம் யங் குணகம் ஆகும்.

யங் குணகத்தின் SI அலகு Nm-2 அல்லது பாஸ்கல்.
பருமக் குணகம் :
பருமத் தகைவுக்கும் பருமத் திரிபுக்கும் இடையே உள்ள விகிதமே பருமக் குணகம் எனப்படும்.

எதிர்க்குறியானது பொருளின் மீது அழுத்தம் செயல்பட்டால் பருமன் குறைவதை காட்டுகிறது.
SI அலகு Nm-2 அல்லது பாஸ்கல்.
3. விறைப்புக் குணகம் அல்லது சறுக்குப்பெயர்ச்சி குணகம்: சறுக்குப் பெயர்ச்சி தகைவிற்கும் சறுக்குப் பெயர்ச்சித் திரிபுக்கும் உள்ள விகிதம் விறைப்புக் குணகம் ஆகும்.

பொருள் குறைந்த விறைப்புக் குணகம் கொண்டிருந்தால் எளிதில் முறுக்கலாம்.
τ α θ
விறைப்புக் குணகத்தின் SI அலகு Nm-2 அல்லது பாஸ்கல்.
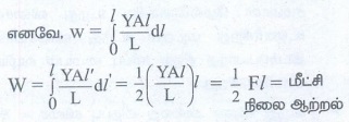
3. கம்பி ஒன்றில் ஓரலகு பருமனில் சேமிக்கப்பட்ட மீட்சி ஆற்றலுக்கான கோவையை தருவி.
● ஒரு பொருளை நீட்சியடையச் செய்தால் மீள் விசைக்கு எதிராக வேலை செய்யப்படுகிறது. இந்த வேலை பொருளினுள் மீட்சி ஆற்றலாக சேமிக்கப்படுகிறது.
● நீட்டாத நிலையில் கம்பியின் நீளம் - குறுக்கு வெட்டுப்பரப்பு A என்க.
● ஒரு விசை கம்பியை l நீட்சியை உருவாக்குகிறது. கம்பியின் மீட்சி எல்லை தாண்டப்படவில்லை எனில் ஆற்றல் இழப்பு இல்லை என்க. எனவே F விசை செய்த வேலை கம்பி பெற்றுள்ள ஆற்றலுக்குச் சமம்.
● கம்பி dl அளவு நீட்சியடைந்தால் செய்யப்படும் வேலை dW = F. dl
● O முதல் l வரை கம்பி நீட்சியடையச் செய்யப்பட்ட வேலை
W = ʃ10 Fd𝑙 ……….. (1)
● யங் குணகத்திலிருந்து
Y = F/A × L/𝑙
⇒ F = YA𝑙 / L ………….(2)

ஓரலகு பருமனில் உள்ள ஆற்றலானது ஆற்றல் அடர்த்தி ஆகும்.

4. நீர்மப் பரப்பிற்குக் கீழே h ஆழத்தில் உள்ள மொத்த அழுத்தத்திற்கான சமன்பாட்டைத் தருவி.
● உருளை வடிவில் A குறுக்குவெட்டுப் பரப்பு கொண்ட நீர் மாதிரியை கருதுவோம்.
● h1 மற்றும் h2 என்பவை மட்டம் 1 மற்றும் 2 ஆகியவைகளின் காற்று நீர் இடைப்பகுதியின் ஆழங்கள் ஆகும்.

● மட்டம் 1ல் செயல்படும் கீழ்நோக்கிய விசை F1 = P1A. மேல்நோக்கிய விசை F2 = P2A.
● நீர் மாதிரியின் நிறை m என்க.
● சமநிலையில் மொத்த மேல்நோக்கிய விசை (F2) மொத்த கீழ்நோக்கிய விசையால் (F1 + mg) சமன் செய்யப்படுகிறது. மாறாக கீழ்நோக்கிய புவிஈர்ப்பு விசையானது விசையின் வேறுபாடு F2 – F1 ஆல் சமன் செய்யப்படுகிறது. F2 –F1 = mg = FG
● m நீரின் நிறை ρ நீரின் அடர்த்தி எனில்,
M = ρV = ρA(h2 - h1)
V = A(h2 - h1)
● புவிஈர்ப்பு விசை FG = ρA(h2 – h1)g
● W மதிப்பை முதல் சமன்பாட்டில் பிரதியிட,
F2 = F1 + mg ⇒ P2A = P1A + ρA(h2 - h1)g
P2 = P1 + ρ (h2 - h1)g
● மட்டம் 1 ஐ நீரின் மேற்பரப்பிலும் மட்டம் 2 - ஐ மேற்பரப்பிற்கு கீழே h ஆழத்திலும் தேர்வு செய்தால் h1 = 0 ஆகும். மேலும் P1 காற்றழுத்த மதிப்பை பெறும். P2 ஆனது P மதிப்பை பெறும்.
P = Pa + ρgh
● h ஆழத்தில் உள்ள அழுத்தம் நீரின் மேற்பரப்பில் உள்ள அழுத்தத்தை விட அதிகமாகும்.
● Pa காற்றழுத்தம் அதன் மதிப்பு 1.013 × 105 Pa ஆகும்.
● காற்றழுத்தம் புறக்கணிக்கப்பட்டால் P = ρgh
5. பாய்மங்களில் பாஸ்கல் விதியைக் கூறி அதனை நிரூபி.

பாஸ்கல் விதி : ஒரு திரவத்தில் உள்ள ஒரு புள்ளியில் அழுத்தம் மாறினால் அந்த மாறுபாடு மதிப்பு குறையாமல் திரவம் முழுவதற்கும் பரப்பப்படுகிறது.
நீரியல் தூக்கி:
• பாஸ்கல் விதியின் செயல்முறை பயன்பாடு குறைவான விசையைக் கொண்டு அதிக பளுவை தூக்கும் நீரியல் தூக்கி ஆகும்.
• இது ஒரு விசைப் பெருக்கி. A மற்றும் B என்று ஒன்றுடன் ஒன்று கிடைமட்ட குழாயால் இணைக்கப்பட்டு திரவத்தால் நிரப்பப்பட்ட இரு உருளைகளைக் கொண்டுள்ளது.
• குறுக்கு வெட்டுப்பரப்பு A1 மற்றும் A2 கொண்ட பிஸ்டன்கள் பொறுத்தப்பட்டுள்ளன.
• சிறிய பிஸ்டனின் மீது கீழ்நோக்கிய விசை F செலுத்தப்பட்டால் பிஸ்டனுக்கு கீழ் திரவத்தின் அழுத்தம் (P = F1/A1) அதிகரிக்கிறது.
• பாஸ்கல் விதிப்படி இந்த அதிகரிக்கப்பட்ட அழுத்தம் P அனைத்து திசைகளிலும் மதிப்பு குறையாமல் பரப்பப்படுகிறது.
• எனவே பிஸ்டன் B மீது ஒரு அழுத்தம் செயல்படுகிறது. பிஸ்டன் B மீது மேல் நோக்கிய விசை
F2 = P × A2 = [ F1/A1 ] × A2 ⇒ F2 = [ A2/A1 ] × F1
• பிஸ்டன் A மீதான விசையை மாற்றுவதால் பிஸ்டன் B மீதுள்ள விசை A2/A1 என்ற காரணியின் அளவுக்கு உயர்த்தப்படுகிறது. இந்த காரணி நீரில் தூக்கியின் இயந்திர லாபம் எனப்படும்.
6. ஆர்க்கிமிடிஸ் தத்துவத்தைக் கூறி அதனை நிரூபி.

• பொருளொன்று ஒரு பாய்மத்தில் பகுதியாகவோ அல்லது முழுவதுமாகவோ மூழ்கியிருந்தால் அது இடம்பெயரச் செய்த பாய்மத்தின் எடைக்கு சமமான மேல்நோக்கிய உந்து விசையை உணர்கிறது மற்றும் உந்து விசையானது இடம்பெயர்ந்த திரவ ஈர்ப்பு மையம் வழியாக செயல்படுகிறது.
• உந்து விசை அல்லது மிதப்பு விசை = இடம் பெயர்ந்த திரவத்தின் எடை
7. ஸ்டோக் விதியைப் பயன்படுத்தி அதிக பாகுநிலை கொண்ட திரவத்தில் இயங்கும் கோளத்தின் முற்றுத்திசைவேகத்திற்கான சமன்பாட்டைத் தருவி.
• η பாகியல் எண் கொண்ட அதிக பாகுநிலை கொண்ட திரவத்தின் வழியே r ஆரமுள்ள கோளம் ஒன்று விழுவதாகக் கருதுவோம்.
• கோளத்தின் அடர்த்தி ρ பாய்மத்தின் அடர்த்தி σ என்க.
• கோளத்தின் மீது செயல்படும் புவிஈர்ப்பு விசை FG = mg = 4/3 πr3ρg (கீழ்நோக்கிய விசை)
• மேல்நோக்கிய உந்துவிசை 4/3 πr3σg (மேல்நோக்கிய விசை)
• vt முற்றுதிசைவேகத்தில் பாகியல் விசை F = 6πηrv1 (கீழ்நோக்கி)
• கீழ்நோக்கிய நகர விசை மேல்நோக்கிய விசைக்கு சமமாகும்.
FG – U = F
⇒ 4/3 πr3 ρg – 4/3 πr3 σg = 6πηrvt
vt = [2/9] × [r2 (ρ – σ) / η]g ⇒ vt ∞ r2
• கோளத்தின் முற்றுத்திசைவேகம் அதன் ஆரத்தின் இருமடிக்கு நேர்த்தகவில் உள்ளது.
• ρ ஐ விட σ அதிகமெனில் (ρ - σ) எதிர்க்குறி மதிப்பைப் பெறுவதால் முற்றுத்திசைவேகம் எதிர்க் குறியாகிறது.
8. ஒரு குழாயின் வழியே வரிச்சீர் ஒட்டத்தில் ஒரு வினாடியில் பாயும் திரவத்தின் பருமனுக்கான பாய்ஸன் சமன்பாட்டைத் தருவி.
• ப்வாய்சொய் ஒரு நுண்குழாய் வழியே திரவத்தின் சீரான ஓட்டத்தை பகுப்பாய்வு செய்து ஒரு குழாயின் வழியே வரிச்சீர் ஓட்டத்தில் ஒரு வினாடியில் பாயும் திரவத்தின் பருமனுக்கான சமன்பாட்டை தருவித்தார்.
• பரிமாண பகுப்பாய்வை பயன்படுத்தி வாய்சொய் சமன்பாட்டை வருவிக்கலாம்.
• நுண்குழாயிலிருந்து ஒரு நொடியில் வெளியேறும் திரவத்தின் பருமன் (v = V/t)
இது திரவத்தின் பாகியல் எண் (η), குழாயின் ஆரம் (r) மற்றும் அழுத்தச்சரிவு (P/l ) ஆகியவற்றை சார்ந்தது.
K - பரிமாண மாறிலி எனவே,
v∞ηarb(P / l)c ; v = kηarb(P/l)c ………..(1)

[η] = [ML-1 T-1] மற்றும் [r] = [L] சமன்பாடு (1)ல் பிரதியிட
[L3T-1] = [ML-1 T-1]a [L]b [ML-2T-2]c
[M0L3T-1] = Ma+c L–a+b-2c T-a-2c
எனவே, M, L, T ன் அடுக்குகளை இருபுறமும் சமப்படுத்த,
a + c = 0, -a + b - 2c = 3 மற்றும் -a - 2c = -1, a, b, c தெரியாத மதிப்புகள் உள்ளன. மூன்று சமன்பாடுகளை தீர்வு காண a = -1, b = 4, c = 1. எனவே சமன்பாடு (1) ஆனது
v = kη−1r4 (P/l)1
சோதனை மூலம் k ன் மதிப்பு π/8 என காணப்பட்டது. எனவே v = πr4 P/8ηl
∴ v = πr4P / 8ηl …………(2)
9. 1. திரவத்துளி, 2. திரவக்குமிழி, 3. காற்றுக்குமிழி ஆகியவற்றின் உள்ளே மிகையழுத்தத்திற்கான கோவையைத் தருவி.
நீர்மத்திலுள்ள காற்றுக்குமிழியின் மிகையழுத்தம்

R ஆரமுள்ள காற்றுக்குமிழி T பரப்பு இழுவிசை கொண்ட நீர்மத்தில் உள்ளது. P1, மற்றும் P2, என்பவை வெளிப்புற மற்றும் உட்புற அழுத்தமாகும். இப்போது குமிழியின் மிகையழுத்தம் ∆P = P2 - P1
(i) பரப்பு இழுவிசை காரணமாக செயல்படும் விசை FT = 2πRT
(ii) வெளிப்புற அழுத்தம் P1 ஆல் உருவான விசை FP1 = P1πR2
(iii) உட்புற அழுத்தம் P2 ஆல் இடப்புறம் செயல்படும் விசை FP2 = P2πR2 இவ்விசைகளின் செயல் பாட்டால் காற்றுக்குமிழி சமநிலையில் இருப்பதால்

• சோப்புக் குமிழியினுள் மிகையழுத்தம்:

படத்தில் உள்ளவாறு R ஆரமும் T பரப்பு இழுவிசையும் கொண்ட சோப்புக் குமிழியைக் கருதுக. சோப்புக் குமிழி மீது செயல்படும் பல்வேறு விசைகளான,
(i) பரப்பு இழுவிசையால் வலப்புறமாக செயல்படும் விசை FT = 4πRT
(ii) வெளிப்புற அழுத்தத்தால் வலப்புறமாக செயல்படும் விசை
FP1 = P1πR2.
(iii) உட்புற அழுத்தத்தால் இடப்புறமாக செயல்படும் விசை
FP2 = P2πR2
இவ்விசைகளின் செயல்பட்டால் காற்றுக் குமிழி சமநிலையில் இருப்பதால்,

• நீர்மத்துளியினுள் மிகையழுத்தம்:

படத்தில் உள்ளவாறு R ஆரம், T பரப்பு இழுவிசை கொண்ட நீர்மத்துளி ஒன்றைக் கருதுவோம்.
நீர்மத்துளி மீது செயல்படும் பல்வேறு விசைகள்
i) பரப்பு இழுவிசையால் வலப்புறமாக செயல்படும் விசை
FT = 2πRT
ii) வெளிப்புற அழுத்தத்தால் வலப்புறமாக செயல்படும் விசை FP1 = P1πR2
iii) உட்புற அழுத்தத்தால் இடப்புறமாக செயல்படும் விசை FP2 = P2πR2
நீர்மத்துளி சமநிலையில் உள்ளதால்,

10. நுண்புழை நுழைவு என்றால் என்ன? நுண்புழையேற்ற முறையில் நீர்மம் ஒன்றின் பரப்பு இழுவிசைக்கான கோவையைத் தருவி.
• ஒரு நேர்க்குத்தான குழாயில் நீர்மம் மேலேறுவது அல்லது கீழிறங்குவது நுண்புழை நுழைவு எனப்படும்.
• நுண்புழைக் குழாய் ஒன்று கொள்கலனிலுள்ள நீரில் அமிழ்த்தி வைக்கப்பட்டுள்ளது. நீரானது பரப்பு இழுவிசை காரணமாக h உயரத்திற்கு மேலேறுகிறது.

பரப்பு இழுவிசையினால் நுண்புழையேற்றம்
• பரப்பு இழுவிசை T இரு கூறுகளாகப் பிரிக்கப்பட்டுள்ளது.
i) கிடைத்தளக் கூறு T sin θ
ii) செங்குத்துக் கூறு T cosθ (பிறைத்தளத்தின் சுற்றளவு மேல்நோக்கி செயல்படுகிறது)
• மொத்த மேல்நோக்கிய விசை = (Tcos θ) (2πr) = 2πrT cos θ
θ - சேர்கோணம், r - குழாயின் ஆரம், ρ - நீரின் அடர்த்தி, h - உயரம் எனில்,
(குழாயின் நீர்மத் தம்பத்தின் கனஅளவு V) = (r ஆரமும் h உயரமும் உடைய நீர்மத் தம்பத்தின் கனஅளவு) + (r ஆரமும் h உயரமும் உடைய நீர்மத் தம்பத்தின் கனஅளவு - r ஆரமுடைய அரைக் கோளத்தின் கனஅளவு)

V = πr2h + (πr2×r – 2/3 πr3 )
⇒ V = πr2h + 1/3 πr3
• மேல்நோக்கிய விசை நீரின் மேற்பரப்பிற்கு மேல் குழாயின் ஏறியுள்ள நீர்மத் தம்பத்தின் எடையை சமன் செய்கிறது. எனவே,
2πrT cosθ = πr2 ( h+1/3r) ρg
⇒ T = [ r(h + 1/3 r) ρg ] / 2cosθ
h உடன் ஒப்பிட r/3 புறக்கணிக்கத்தக்கது.
எனவே T = rρgh / 2cosθ
h உயரத்திற்கு மேலேறும் போது
h = 2T cosθ / rρg
⇒ h α 1/r
நுண்புழை ஏற்றமானது (h) குழாயின் ஆரத்திற்கு (r) எதிர்த்தகவில் உள்ளது. குழாயின் ஆரம் குறைய நுண்புழையேற்றம் அதிகமாகும்.
11. நிறை மாறா நிலையின்
அடிப்படையில் பாய்மம் ஒன்றின் ஓட்டத்திற்கான தொடர் மாறிலிச் சமன்பாட்டைத் தருவி.

• சீரற்ற குறுக்கு வெட்டுப்பரப்பு a1 மற்றும் a2 (அதாவது a1 > a2) கொண்ட AB என்ற குழாயைக் கருதுக.
• பாகுநிலையற்ற அமுக்க இயலாத நீர்மம் சீராக v1 மற்றும் v2 திசைவேகத்தில் முறையே a1 மற்றும் a2 பரப்புகள் வழியே செல்கிறது எனில்,
• ∆t காலத்தில் A பகுதி வழியே செல்லும் நீர்மத்தின் நிறை m1 = (a1v1∆t)ρ
• ∆t காலத்தில் B வழியே செல்லும் நீர்மத்தின் நிறை m2 = (a2v2∆t)ρ
• அமுக்க இயலாத நீர்மத்தின் நிறை மாறாது எனவே m1 = m2
a1v1∆tρ = a2v2∆tρ
a1v1 = a2v2 ⇒ av = மாறிலி
• இதுவே தொடர் மாறிலி சமன்பாடு எனப்படும்.
• av = மாறிலி என்பது பருமப்பாயம் அல்லது பாயும் வீதம் குழாய் முழுதும் மாறிலி ஆகும்.
• குறுக்கு வெட்டுப்பரப்பு குறைவாக இருப்பின் பாய்மத்தின் திசைவேகம் அதிகமாக இருக்கும்.
12. அமுக்க இயலாத பாகுநிலையற்ற பாய்மம் ஒன்று வரிச்சீர் ஒட்டத்தில் செல்வதற்கான பெர்னெளலியின் தேற்றத்தைக் கூறி அதனை நிரூபி.
பெர்னௌலியின் தேற்றம் :
• வரிச்சீர் ஓட்டத்தில் உள்ள அமுக்க இயலாத பாகுநிலையற்ற ஓரலகு நிறையுள்ள நீர்மத்தின் அழுத்த ஆற்றல், இயக்க ஆற்றல் மற்றும் நிலையாற்றல் ஆகியவற்றின் கூட்டுத்தொகை மாறிலியாகும்.


நிரூபித்தல் :
• படத்தில் உள்ளவாறு AB என்ற குழாயின் வழியே நீர்மம் பாய்வதாகக் கொள்வோம். v என்பது A முனை வழியே t காலத்தில் நுழையும் நீர்மத்தின் பருமன் எனில் B வழியே அதே காலத்தில் வெளியேறும் நீர்மத்தின் பருமனும் v ஆகும்.
• aA,vA மற்றும் PA என்பவை Aல் முறையே குழாயின் குறுக்கு வெட்டுப்பரப்பு, நீர்ம திசைவேகம் மற்றும் நீர்ம அழுத்தம் என்க.
• A ல் உள்ள நீர்மம் செயல்படுத்தும் விசை FA = PAaA
• t காலத்தில் நீர்மம் கடந்த தொலைவு d = vAt
• எனவே செய்யப்பட்ட வேலை W = PAaAvAt
• ஆனால் aAvAt = aAd = V, A ல் நுழையும் நீர்மத்தின் பருமனாகும். எனவே செய்யப்பட்ட வேலை Aல் அழுத்த ஆற்றலாக இருக்கும். W = FAd = PAV
• A ல் ஓரலகு பருமனுக்காக அழுத்த ஆற்றல் A =

• A ல் ஓரலகு நிறைக்கான அழுத்த ஆற்றல் =

• A ல் நீர்மத்தின் அழுத்த ஆற்றல்

• A ல் நீர்மத்தின் நிலையாற்றல் PEA = mghA
• A ல் நீர்மத்தின் இயக்க ஆற்றல் K.EA = 1/2mvA2
• எனவே Aல் நீர்ம ஓட்டத்தினால் மொத்த ஆற்றல்
EA = EPA + KEA + PEA
EA =m PA/ρ + 1/2 mv2A + mghA
• இதைப் போலவே Bல் மொத்த ஆற்றல்
EB = m PB/ρ + 1/2 mv2B + mg hB
• ஆற்றல் மாறா விதியிலிருந்து EA = EB
m PA/ρ + 1/2 mv2A + mghA = m PB/ρ + 1/2 mv2B + mg hB
PA/ρ + 1/2 v2A + ghA = PB/ρ + 1/2 v2B + g hB = மாறிலி
• மேலே உள்ள சமன்பாட்டை இவ்வாறு எழுதலாம்
P/ρg + 1/2 v2/g + h = மாறிலி
13. வென்சுரிமானியின் அமைப்பு மற்றும் செயல்பாட்டை விவரி. குழாயின் அகலமான நழைவுப் பகுதியில் ஒரு வினாடியில் பாயும் நீர்மத்தின் பருமனுக்கான கோவையைத் தருவி.
• ஒரு குழாயின் வழியே செல்லும் அமுக்க இயலாத நீர்மம் பாயும் வீதத்தை (பாயும் வேகம்) அளவிட வென்சுரிமானி உதவுகிறது. இது பெர்னெளலியின் தேற்றத்தின் அடிப்படையில் செயல்படுகிறது.
• இது A மற்றும் A' என்ற இரு அகன்ற குழாய்களைக் கொண்டுள்ளது. அவை B என்ற குறுகலான (குறுக்கு வெட்டுப்பரப்பு a) குழாய் மூலம் இணைக்கப்பட்டுள்ளன.
• U வடிவ அழுத்தமானி இவ்விரு அகன்ற மற்றும் குறுகலான குழாய்களுக்கிடையே இணைக்கப் பட்டுள்ளது.
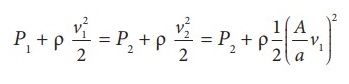
• A ல் பாய்மத்தின் அழுத்தம் P1
• ρ அடர்த்தியில் v1 திசைவேகத்தில் நுழையும் திரவம் குறுகலான பாதையில் வேகம் v2 என அதிகரிக்கிறது. இது Bல் பாய்மத்தின் அழுத்தத்தை P2 ஐ குறைக்கிறது.
• A க்கும் B க்கும் இடையேயான அழுத்த வேறுபாடு (∆P = P1 – P2) அழுத்தமானியில் உள்ள திரவத்தின் உயர வேறுபாட்டால் அளவிடப் படுகிறது.
• தொடர் மாறிலி சமன்பாட்டின் படி Av1 = av2 அதாவது v2 = A/a v1
• பெர்னௌலியின் சமன்பாட்டை பயன்படுத்த
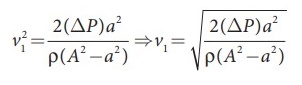
P1 + ρ (v12/ 2) = P2 + ρ(v22/2) = P2 + ρ 1/2( (A / a) v1)2

• அழுத்த வேறுபாடு
ΔP = P1 - P2 = ρ v12/ 2 ( [A2 – a2] / a2 )
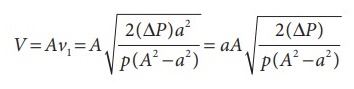
• அகன்ற குழாயின் A முனையில் திரவ ஓட்டத்தின் வேகம்

• ஒரு வினாடியில் A ன் வழியே பாயும் திரவத்தின் பருமன்
