வரையறை, தேற்றம், நிரூபணம், எடுத்துக்காட்டு கணக்குகள் - ஒரு கோடும் ஒரு தளமும் சந்திக்கும் புள்ளி (Meeting Point of a Line and a Plane) | 12th Maths : UNIT 6 : Applications of Vector Algebra
ஒரு கோடும் ஒரு தளமும் சந்திக்கும் புள்ளி (Meeting Point of a Line and a Plane)
தேற்றம் 6.23
 என்ற கோடும்
 என்ற கோடும்  என்ற தளமும் சந்திக்கும் புள்ளியின் நிலைவெக்டர்
  என்ற தளமும் சந்திக்கும் புள்ளியின் நிலைவெக்டர் 
நிரூபணம்
கொடுக்கப்பட்ட  என்ற தளத்திற்கு இணையாக இல்லாத கொடுக்கப்பட்ட கோட்டின் சமன்பாடு
 என்ற தளத்திற்கு இணையாக இல்லாத கொடுக்கப்பட்ட கோட்டின் சமன்பாடு  என்க. ஆகவே,
 என்க. ஆகவே,  
 
தளத்தை நேர்க்கோடு சந்திக்கும் புள்ளியின் நிலைவெக்டர்  என்க. எனவே, t−ன் ஒரு சில மதிப்புகளுக்கு, அதாவது t1 என்ற மதிப்புக்கு
 என்க. எனவே, t−ன் ஒரு சில மதிப்புகளுக்கு, அதாவது t1 என்ற மதிப்புக்கு  என்ற கோட்டின் சமன்பாடு மற்றும்
 என்ற கோட்டின் சமன்பாடு மற்றும்  என்ற தளத்தின் சமன்பாடு இரண்டையும் நிறைவு செய்யும். ஆதலால்,
 என்ற தளத்தின் சமன்பாடு இரண்டையும் நிறைவு செய்யும். ஆதலால், 

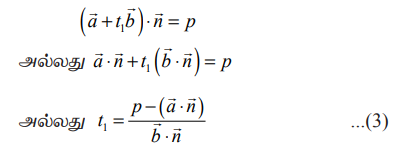
சமன்பாடு (1)−ஐ (2)−ல்பிரதியிட, நாம் பெறுவது

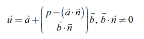
சமன்பாடு (3)−ஐ (1)−ல் பிரதியிட, நாம்பெறுவது


எடுத்துக்காட்டு 6.56
 என்ற கோடு x−y+z−5=0 என்ற தளத்தை சந்திக்கும் புள்ளியின் ஆய அச்சுத் தூரங்களைக் காண்க.
 என்ற கோடு x−y+z−5=0 என்ற தளத்தை சந்திக்கும் புள்ளியின் ஆய அச்சுத் தூரங்களைக் காண்க.
தீர்வு

அதாவது, கொடுக்கப்பட்ட நேர்க்கோடு தளத்தை சந்திக்கும் புள்ளி (2,−1,2) ஆகும்.
மாற்று முறை
கொடுக்கப்பட்ட நேர்க்கோட்டின் கார்மசியன் சமன்பாடு (x−2)/3 = (y+1)/4 = (z−2)/2 = t (என்க)
இக்கோட்டின் மீதுள்ள ஏதேனும் ஒரு புள்ளியின் அமைப்பு (3t+2,4t−1,2t+2) ஆகும். கொடுக்கப்பட்ட கோடும் தளமும் வெட்டிக்கொள்ளும் எனில், இப்புள்ளி x−y+z−5=0 என்ற தளத்தின் மீது அமையும்.
ஆதலால், (3t+2)−(4t−1)+(2t+2)−5=0=t=0. எனவே, கொடுக்கப்பட்ட கோடு. கொடுக்கப்பட்ட தளத்தை (2,−1,2) என்ற புள்ளியில் சந்திக்கிறது.