வரையறை, சூத்திரம், தீர்க்கப்பட்ட எடுத்துக்காட்டு கணக்குகள், பயிற்சி | முக்கோணவியல் | கணிதம் - ஆரையன் அளவு | 11th Mathematics : UNIT 3 : Trigonometry
ஆரையன் அளவு (Radian Measure)
தொடக்கத்தில் முக்கோண விகிதங்களை வரையறுப்பதற்கும் மற்றும் கோணங்களைப் பாகையில் அளவிடுவதற்கும் செங்கோண முக்கோணம் பயன்படுத்தப்பட்டது. ஆனால் குறுங்கோணங்களைக் கொண்ட செங்கோண முக்கோணங்கள் சில வரம்புகளுக்குட்பட்டிருந்தது.
பல்லாயிரம் ஆண்டுகளுக்கு முன்பு பாபிலோனியர்கள் (Babylonians) 360 நாட்களைப் பாகையில் ஒரு முழுச்சுற்று 360° -ஐ குறிப்பதாக கணக்கில் கொண்டு 30°, 45, 60, 90° மற்றும் 180° ஆகிய சிறிய கோணங்களாகப் பிரிப்பதற்கு ஏதுவாக ஒரு ஆண்டின் 365 நாட்களை அடிப்படையாகக் கொண்டு 360°-ஐ தேர்வு செய்தனர்.
வேதியியல் மற்றும் இயற்பியல் பாடங்களில் கோணத்திற்குப் பதிலாக மெய்யெண்களைக் கொண்ட சார்பகமுடைய முக்கோணவியலின் சார்புகளின் தேவையின் பொருட்டு 17-ம் நூற்றாண்டில் முக்கோணவியல் விரிவாக்கம் செய்யப்பட்டது. இதனை ஓரலகு வட்டத்தின் மீதான வில்லின் நீளம் மற்றும் மைய கோணம் ஆகியவற்றிற்கு இடையே உள்ள தொடர்பை பயன்படுத்தி பெற்றோம். இம்முறையில் கோணத்தை அளக்கும் அலகு ஆரையன் அளவையாகும். கோட்பாடுகளின் பயன்பாட்டிற்கு அதிக அளவில் பொதுவாகப் பயன்படக்கூடிய கோண அளவீட்டு அமைப்பு ஆரையன் ஆகும். நுண்கணிதம் உட்படப் பல தொழில்நுட்பங்களுக்குப் பொதுவான அளவீட்டு அலகு முறை ஆரையன் ஆகும். மிக முக்கியமான விகிதமுறா எண் , ஆரையன் அளவீட்டில் பெரும்பங்கு வகிக்கிறது. ஒரு கோணத்தின் ஆரையன் அளவீட்டுமுறையை நாம் அறிமுகப்படுத்துவோம்.
வரையறை 3.1
ஒரு வட்டவில் மையத்தில் தாங்கும் கோணத்தின் ஆரையன் அளவு, அவ்வில்லின் நீளத்திற்கும் அதன் ஆரத்திற்கும் உள்ள விகிதமாகும்.
ஒரு வட்டத்தின் ஆரம் 'r' என்க. s நீளமுள்ள வட்டவில் மையத்தில் தாங்கும் கோணம் θ என்க.
எனில், θ = வில்லின் நீளம்/ஆரம்
= s/r ஆரையன்கள்
எனவே, s = r θ ஆகும்.

குறிப்பு: (i) அனைத்து வட்டங்களும் வடிவொத்தவைகளாகும். எனவே எந்த ஒரு வட்டத்திலும் வெட்டப்பட்ட வில்லின் நீளத்திற்கும் அதன் ஆரத்திற்கும் உள்ள விகிதம் எப்பொழுதும் ஒரு மாறிலியாகும்.
(ii) s = r எனில், 1 ஆரையன் கொண்ட கோணத்தை நாம் பெறுகிறோம் எனவே, ஒரு ஆரையன் என்பது ஒரு வட்டத்தில் ஆரத்தின் நீளத்திற்குச் சமமான நீளமுடைய வில் மையத்தில் தாங்கும் கோணமாகும்.
(iii) s மற்றும் r ஆகியவற்றின் அலகுகள் ஒன்றாக இருப்பதால் θ க்கு அலகுகள் ஏதும் இல்லை. எனவே, ஆரையன்களைக் குறிக்க எந்த விதமான குறியீடுகளையும் நாம் பயன்படுத்துவதில்லை.
(iv) θ = 1 ஆரையன் அளவு எனில் s = r ஆகும்.
θ = 2 ஆரையன் அளவு எனில் s = 2 r ஆகும்.
எனவே, s = kr எனில், பொதுவாக θ = k ஆரையன் அளவாகும். மையக்கோணம் θ -வை தாங்கும் வட்டக்கோணப்பகுதி ஒரு முழு வட்டமாகச் சுற்றிவர எத்தனை மடங்கு ஆரங்கள் தேவை என்பதைக் கோணத்தின் ஆரையன் அளவீடு நமக்குத் தெரிவிக்கிறது.
(v) ஆரையன் அளவு ஒரு அலகுவட்டத்தின் விளிம்போடுதொடர்புடையதாகும். ஆரையன் அமைப்பில் முனையப் பக்கம் ஓரலகு வட்டத்தின் விளிம்பை எங்கு வெட்டுகிறதோ அது வரை பயணிக்கும் தூரத்தை அளவிடுவதே கோணத்தை நாம் அளவிடுவதாகும்.
கோணத்தை அளவிடப் பாகை மற்றும் ஆரையன் ஆகிய அலகுகள் உள்ளன. எளிமையாக வரையறுக்கப்பட்டுப் பயன்படுத்த வசதியாக இருக்கும் அலகு மற்றதைவிடச் சிறந்ததாகும். எடுத்துக்காட்டாக, நீரின் வெப்பநிலையை அளக்கும் போது 0° மற்றும் 100°, உறைநிலை மற்றும் கொதிநிலை ஆகியவை செல்சியஸ் (Celsius) முறையில் அமைவதால் அது பாரன்ஹீட் (Fahrenheit) முறையைவிடச் சிறந்தது. மாற்றுவதற்கும் மற்றும் கணக்கிடுவதற்கும் ஆரையன் அளவு சிறந்தது. பகுப்பாய்விற்கு ஆரையன் அளவு ஏற்றதாக இருக்கும் அதே நேரத்தில் மக்களிடையே கருத்துப்பரிமாற்றம் செய்வதற்கு பாகை அளவு ஏற்றதாக இருக்கும். கிரேக்கக் கணிதவியலாளர்கள் வட்டத்தின் சுற்றளவிலிருந்து உருவாகும் π என்ற உறவைக் கவனித்தனர் மற்றும் ஆரையன் அளவுகளில் π ஒரு முக்கியப் பங்கு ஆற்றுகிறது.
ஓரலகு வட்டத்தில் ஒரு முழுவட்டச்சுற்று 360° -ஐக் குறிக்கும்போது ஆரையன் அளவீட்டில் 2 π ஆரையன்களைக் குறிக்கிறது. 2 π என்பது ஓரலகு வட்டத்தின் சுற்றளவாகும். இவ்வாறு நாம் பின்வரும் தொடர்புகளைப் பெறுகிறோம்.

ஆரையனில் பயன்படுத்தப்படும் அளவுகோல் பாகையின் அளவுகோலைவிடச் சிறியதாக உள்ளது என்பதைக் கவனிக்கவும். சிறிய அளவுகோல், முக்கோண சார்புகளின் வரைபடங்களை கண்ணுக்கு புலப்படும் படியும், பயன்படுத்தும் படியும் அமைக்கிறது. மேலே உள்ள தொடர்பு, பாகையை ஆரையன்களாகவும் அல்லது ஆரையன்களை பாகைகளாகவும் மாற்ற வழி வகுக்கிறது.
குறிப்பு: (i) ஒரு வட்டத்தின் சுற்றளவிற்கும் அதன் விட்டத்திற்கும் உள்ள விகிதம் ஒரு மாறிலியாகும். அதை π என்ற விகிதமுறா எண்ணால் குறிக்கலாம்.
(ii) ஓரலகு வட்டத்தின் மீது P என்ற புள்ளியைக் குறிக்கவும் மற்றும் P ஆனது O-ஐ தொடுமாறு எண் வரிசையில் ஓரலகு வட்டத்தை வைக்கவும். அவ்வட்டத்தை எண்வரிசை மீது உருள வைக்கவும். வட்டம் வலது புறத்தில் ஒரு முழுச்சுற்று சுற்றிய பிறகு P என்ற புள்ளி எண்கோட்டில் 2 π என்ற எண்ணைத் தொடும்.
(iii) கோண அளவில் எதுவும் குறிப்பிடப்படவில்லை என்றால், கோண அலகு ஆரையன்களில் உள்ளதாகக் கருதுவோம்.
(iv) ஒரு வட்டக் கோணப் பகுதியின் ஆரம் r என்றும் மையக்கோணம் θ எனில் வட்டக்கோணப் பகுதியின் பரப்பு =
ஆரையன் அளவில் ஆரையன் அளவுகளில் கணக்கிடுவது மிகவும் எளிது என்பது தெளிவு...
(v) π மற்றும் 22/7, ஆகியவற்றின் மதிப்புகள் நான்கு தசமத் திருத்தங்களில் 3.1416 மற்றும் 3.1429 முறையே ஆகும். எனவே, முதல் இரண்டு தசமத் திருத்தங்களில் π மற்றும் 22/7 -ன் மதிப்பு சமம் ஆகும். ஆதலால் 
(vi) 1 ஆரையன் = 57°17'45" மற்றும் 1° = 0.017453 ஆரையன்

(vii) சில அறியப்பட்டக் கோணங்கள், ஆரையன்களிலும் மற்றும் அதற்கு ஒத்த பாகை அளவுகளிலும் பின்வரும் அட்டவணையில் கொடுக்கப்பட்டுள்ளன.

(viii) sin 90° = 1 ஆனால் sin 90 ≠ 1 (ஆரையன் அளவுகளில்)
எடுத்துக்காட்டு 3.4 ஆரையனாக மாற்றவும். (i) 18° (ii) - 108°.
தீர்வு:

எடுத்துக்காட்டு 3.5 பாகையாக மாற்றுக (i) π/5 ஆரையன்கள் (ii) 6 ஆரையன்கள்.
தீர்வு:
π ஆரையன்கள் = 180° எனத் தெரியும். எனவே,

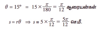
எடுத்துக்காட்டு 3.6 5 செ.மீ. ஆரம், மையக் கோணம் 15° -ஐ கொண்ட வட்ட வில்லின் நீளம் காண்க.
தீர்வு:
வில்லின் நீளம் s, ஆரம் r, மையக்கோணம் θ எனில், s = rθ

குறிப்பு: rθ இல் θ என்பதை எப்பொழுதும் ஆரையனில் குறிக்கவேண்டும்.
எடுத்துக்காட்டு 3.7 இரண்டு வட்டங்களில், ஓரே அளவு கொண்ட வில்லின் நீளங்கள் 30° மற்றும் 80°-ஐ மையக் கோணங்களாகத் தாங்கும்போது அவ்விரு வட்டங்களுக்கான ஆரங்களின் விகிதம் காண்க.
தீர்வு:
r1, மற்றும் r2, ஆகியவை இரண்டு வட்டங்களின் ஆரங்கள் மற்றும் வில்லின் நீளம் l எனில்

1. பின்வரும் கோணங்களை ஆரையன் அளவுகளில் கூறுக.
(i) 30
(ii) 135
(iii) –205
(iv) 150°
(v) 330°
2. பின்வரும் கோணத்தின் ஆரையன் அளவை பாகை அளவுகளில் காண்க
(i) π/3
(i) π/9
(iii) 2π/5
(iv) 7π/3
(v) 10π/9
3. ஒரு தடகள வீரர் 1 கி.மீ.-ஐக் கடக்க வட்ட ஒடுபாதையை 5 முறை சுற்றி வரவேண்டும் எனில் வட்ட ஓடு பாதையின் ஆரம் என்ன?
4. ஒரு வட்டத்தின் விட்டம் 40 செ.மீ., ஒரு நாணின் நீளம் 20 செ.மீ., எனில், சிறிய வில்லின் நீளத்தைக் காண்க.
5. 100 செ.மீ. ஆரமுடைய வட்டத்தில், 22 செ.மீ. நீளமுடைய வட்டவில் மையத்தில் தாங்கும் கோணத்தைப் பாகையில் காண்க.
6. 10 அடி ஆரம்கொண்ட ஒரு வட்டத்தில், θ = 41°-ஐ மையக் கோணமாகக் கொண்ட வட்ட வில்லின் நீளம் காண்க.
7. இரண்டு வட்டங்களில், ஒரே அளவு கொண்ட வில்லின் நீளங்கள் 60° மற்றும் 75°-ஐ மையக் கோணங்களாகத் தாங்கும்போது அவ்விருவட்டங்களுக்கான ஆரங்களின் விகிதம் காண்க.
8. ஒரு வட்ட கோணப்பகுதியின் சுற்றளவும் அதே ஆரமுடைய அரைவட்டத்தின் வில்லின் நீளமும் சமம் எனில், அவ்வட்டக் கோணப் பகுதியின் மையக் கோணத்தைப் பாகை, கலை மற்றும் விகலையில் காண்க.
9. ஒரு விமானத்தை இயக்கும் முன்தள்ளி ஒரு நிமிடத்திற்கு 1000 முறை சுழல்கிறது. முன்தள்ளியின் முனைப்புள்ளி சுழல்கின்றபோது ஒரு விநாடிக்கு எத்தனை பாகைகள் கிடைக்கும் என்பதைக் காண்க.
10. 66கி.மீ. / மணி நேர வேகத்தில் 1500மீ. ஆரம் கொண்ட ஒரு வட்டப்பாதையில் ஒரு தொடர்வண்டி இயக்கப்படுகிறது எனில், 20 வினாடியில் அது கடக்கும் கோணத்தைக் காண்க.
11. 8 செ.மீ. ஆரம் மற்றும் 6 மி.மீ. தடிமன் கொண்ட ஒரு வட்ட வடிவ உலோகத் தட்டினை உருக்கி, 16 செ.மீ. ஆரம் மற்றும் 4 மி.மீ. தடிமன் உடைய ஒரு வட்டக் கோணப்பகுதியை உருவாக்கினால் அவ்வட்டக் கோணப் பகுதியின் கோண அளவை காண்க.