கட்ட விளக்கப்படம், சுற்று வரைபடம்,சூத்திரம், | மாறுதிசைமின்னோட்டம் - தொடர் RLC சுற்றில் ஒத்ததிர்வு | 12th Physics : UNIT 4 : Electromagnetic Induction and Alternating Current
தொடர் RLC சுற்றில் ஒத்ததிர்வு (Resonance in
series RLC Circuit)
செலுத்தப்படும் மாறுதிசை மின்மூலத்தின் அதிர்வெண்
(ɷr) ஆனது
RLC சுற்றின் இயல்பு அதிர்வெண்ணிற்கு ɷr சமமாக இருந்தால், சுற்றில் உள்ள
மின்னோட்டம் பெரும் மதிப்பை அடைகிறது. தற்போது சுற்றானது மின் ஒத்ததிர்வில் உள்ளதாகக்
கூறப்படுகிறது. ஒத்ததிர்வு ஏற்படும் மின்மூலத்தின் அதிர்வெண் , ஒத்ததிர்வு அதிர்வெண்
எனப்படுகிறது.

தொடர் ஒத்ததிர்வில்,

இதுவே தொடர் RLC சுற்றில் ஒத்ததிர்வுக்கான
நிபந்தனை ஆகும்.
X1 மற்றும் Xc ஆகியவை
அதிர்வெண்ணைச் சார்ந்திருப்பதால், செலுத்தப்படும் மின்னழுத்த வேறுபாட்டின் அதிர்வெண்ணை
மாற்றுவதன் மூலம் ஒத்ததிர்வு நிபந்தனையை (XL = XC) அடையலாம்.

தொடர் ஒத்ததிர்வு நிகழும்போது சுற்றின் மின்
எதிர்ப்பு சிறுமமாகும் மற்றும் அது சுற்றின் மின்தடைக்குச் சமமாகும். இதன் விளைவாக,
சுற்றில் உள்ள மின்னோட்டம் பெருமமாகிறது. மின்னோட்டம் மற்றும் அதிர்வெண் இடையே வரையப்பட்ட
ஒத்ததிர்வு வளைகோட்டில் இது காண்பிக்கப்பட்டுள்ளது (படம் 4.49).
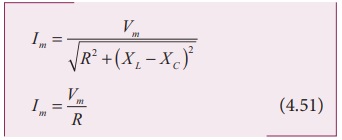
ஒத்ததிர்வு நிலையில், மின்எதிர்ப்பானது

எனவே, சுற்றில் உள்ள மின்னோட்டமானது


தொடர் ஒத்ததிர்வினால் விளையும் பெரும மின்னோட்டமானது சுற்றில் உள்ள மின் தடையைப் பொருத்து அமையும் சிறிய மின்தடை மதிப்புக்களுக்கு, கூர்மையான வளைகோட்டுடன் அமைந்த அதிக மின்னோட்டம் கிடைக்கிறது. மின்தடை அதிகமெனில், தட்டையான வளைகோட்டுடன் அமைந்த குறைந்த மின்னோட்டம் கிடைக்கிறது.
RLC சுற்றானது வடிப்பான் சுற்றுகள், அலையியற்றிகள்,
மின்னழுத்த பெருக்கிகள், முதலியவற்றில் பயன்படுகிறது. தொடர் RLC சுற்றின் ஒரு முக்கிய
பயன்பாடானது வானொலி மற்றும் தொலைக்காட்சி அமைப்புகளின் ஒத்திசைவுச் சுற்றுகள்
(Tuning circuits) ஆகும். ஒலிபரப்பு நிலையங்களில் இருந்து பல்வேறுபட்ட அதிர்வெண்களில்
சைகைகள் வானவெளியில் பரப்பப்படுகின்றன. ஒரு குறிப்பிட்ட நிலையத்தின் சைகையைப் பெற ஒத்திசைவு
செய்யப்படுகிறது.
பொதுவாக ஒத்திசைவானது பின்வருமாறு செய்யப்படுகிறது.
இணைத்தட்டு மின்தேக்கியின் மாறுபாட்டு மின்தேக்குத்திறனை மாற்றுவதன் மூலம் சுற்றின்
ஒத்ததிர்வு அதிர்வெண் மாற்றப்படுகிறது. ஒத்ததிர்வு அதிர்வெண் ஒரு குறிப்பிட்ட நிலையத்தின்
அதிர்வெண்ணிற்கு சமமாகும் போது, சுற்றில் மின்னோட்டத்தின் வீச்சு பெருமமாகிறது. அதன்
மூலம் அந்த நிலையத்தின் சைகை மட்டும் ஏற்கப்படுகிறது.
குறிப்பு
மின் ஒத்ததிர்வு நிகழ்வு சுற்றில் L மற்றும் C இரண்டும் இருந்தால்
மட்டுமே சாத்தியமாகிறது.அப்போது தான் 180° கட்ட வேறுபாடு கொண்டுள்ள மின்னழுத்த வேறுபாடுகள்
VL மற்றும் Vc இரண்டும் ஒன்றையொன்று நீக்கிவிடுகின்றன. சுற்றானது
மின்தடைப்பண்பு உடையதாகிறது. இது RL மற்றும் RC சுற்றுகளில் ஒத்ததிர்வு ஏற்படாது என்பதைக்
குறிக்கிறது.