வரையறை, தேற்றம், விளக்கம், எடுத்துக்காட்டு, தீர்வு | கணக்கு - தொடர் வரிசைகள் | 10th Mathematics : UNIT 2 : Numbers and Sequences
தொடர் வரிசைகள் (Sequences)
பின்வரும் படங்களைக் கருதுக.

இந்தப் படங்களில் ஏதோ ஓர் அமைப்பு அல்லது வரிசைப்படுத்துதல் உள்ளது. முதல் படத்தில், முதல் வரிசையில் ஓர் ஆப்பிள். இரண்டாவது வரிசையில் இரண்டு ஆப்பிள்கள் மூன்றாவது வரிசையில் மூன்று ஆப்பிள்கள் என்றவாறு அமைந்துள்ளன. ஒவ்வொரு வரிசையிலும் உள்ள ஆப்பிள்களின் எண்ணிக்கை 1, 2, 3, ...
இரண்டாவது படத்தில் ஒவ்வொரு படியும் 0.5 அடி உயரம் கொண்டது. அடிமட்டத்திலிருந்து ஒவ்வொரு படியின் மொத்த உயரமானது 0.5 அடி, 1 அடி, 1.5 அடி,... என உள்ளது. மூன்றாவது படத்தில் ஒவ்வொரு வடிவத்திலும் உள்ள சதுரங்களின் எண்ணிக்கை 1,3,5,... என உள்ளது. இந்த மூன்று உதாரணங்கள் மூலம் பெறப்பட்ட எண்கள் "தொடர்வரிசை" என்ற வகையைச் சார்ந்தவை.
வரையறை
மெய்யெண்களின் தொடர்வரிசை என்பது இயல் எண்களின் மீது வரையறுக்கப்பட்ட, மெய்யெண் மதிப்புகளைப் பெறும் சார்பாகும்.
தொடர் வரிசையின் ஒவ்வொரு நிலையில் வரும் எண்ணும், தொடர்வரிசையின் ஓர் உறுப்பு எனப்படும். முதலில் வரும் உறுப்பு முதல் உறுப்பு எனவும் இரண்டாவதாக வரும் உறுப்பு இரண்டாம் உறுப்பு எனவும் அழைக்கப்படுகிறது.
n-வது உறுப்பானது an என குறிக்கப்படும் எனில், a1 என்பது முதல் உறுப்பு, a2 என்பது இரண்டாம் உறுப்பு, ...
ஒரு தொடர்வரிசையை a1, a2, a3,..., an ...... என எழுதலாம்.
விளக்கம்
1. 1, 3, 5, 7, ... என்ற தொடர்வரிசையின் பொது உறுப்பு an = 2n − 1 n = 1, 2, 3,...., எனப் பிரதியிடும்போது நாம் பெறுவது, a1 =1, a2 = 3, a3 = 5, a4 = 7,...
2. 1/2, 1/3, 1/4 , 1/5 ,... என்ற தொடர்வரிசையின் பொது உறுப்பு an = 1/ [n + 1] n = 1, 2, 3,.... எனப் பிரதியிடும்போது நாம் பெறுவது, a1 = 1/2 , a2 = 1/3 , a3 = 1/4 , a4 = 1/5 ,...
ஒரு தொடர்வரிசை முடிவுறு எண்ணிக்கையில் உறுப்புகளைக் கொண்டிருந்தால் அது முடிவுறு தொடர்வரிசை எனப்படும். ஒரு தொடர்வரிசையில் முடிவுறா எண்ணிக்கையில் உறுப்புகள் இருப்பின் அது முடிவுறாத் தொடர்வரிசை எனப்படும்.
தொடர்வரிசையை ஒரு சார்பாக அறிதல்
தொடர்வரிசையானது இயல் எண்களின் ℕ மீது வரையறை செய்யப்பட்ட ஒரு சார்பாகும். குறிப்பாகத் தொடர்வரிசை ஆனது f: ℕ → ℝ, இங்கு ℝ என்பது மெய்யெண்களின் கணம் என வரையறை செய்யப்பட்ட சார்பாகும்.

தொடர்வரிசையானது a1, a2, a3,... வடிவில் அமையுமானால், a1, a2, a3,... என்றத் தொடர்வரிசைக்கு f (k) = ak , k = 1,2,3,... என்ற சார்பைத் தொடர்புபடுத்தலாம்.
முன்னேற்றச் சோதனை
1. பின்வரும் தொடர்வரிசைகளில் கோடிட்ட இடங்களை நிரப்புக.
(i) 7, 13, 19, _____,...
(ii) 2, _____, 10, 17, 26,....
(iii) 1000, 100, 10, 1, ______, ...
2. தொடர்வரிசையானது ____ கணத்தில் வரையறை செய்யப்பட்ட சார்பாகும்.
3. 0,2,6,12,20,... என்ற தொடர்வரிசையின் n-வது உறுப்பு ____.
4. சரியா, தவறா எனக் கூறுக.
(i) எல்லாத் தொடர்வரிசைகளும் சார்புகளாகும்
(ii) எல்லாச் சார்புகளும் தொடர்வரிசைகளாகும்
எடுத்துக்காட்டு 2.19
பின்வரும் தொடர்வரிசைகளின் அடுத்த மூன்று உறுப்புகளைக் காண்க.
(i) 1/2, 1/6 , 1/10, 1/14 , . . . .
(ii) 5, 2, - 1, -4,. . . .
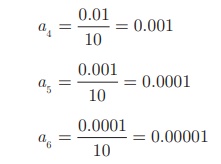
(iii) 1, 0.1, 0.01,. . .
தீர்வு
(i) 
மேற்கண்ட தொடர்வரிசையில் தொகுதி ஒரே எண்ணாக உள்ளது மற்றும் அடுத்தடுத்த உறுப்புகளின் பகுதியானது 4 அதிகரிக்கிறது.
எனவே அடுத்த மூன்று உறுப்புகளானது

(ii) 
இங்கு ஒவ்வோர் உறுப்பும் முந்தைய உறுப்பைவிட 3 குறைவாக உள்ளது. எனவே அடுத்த மூன்று உறுப்புகள் -7, -10, -13.
(iii) 
இங்கு ஒவ்வோர் உறுப்பும் முந்தைய உறுப்பை 10 ஆல் வகுக்கக் கிடைக்கிறது. எனவே அடுத்த மூன்று உறுப்புகள்

குறிப்பு
எல்லாத் தொடர்வரிசைகளும் சார்புகளே ஆனால் எல்லாச் சார்புகளும் தொடர்வரிசை ஆகாது.
எடுத்துக்காட்டு 2.20
பின்வரும் தொடர்வரிசைகளின் பொது உறுப்பு காண்க.
(i) 3, 6, 9,...
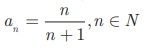
(ii) 1/2 , 2/3 , 3/4 ,...
(iii) 5, -25, 125,...
தீர்வு
(i) 3, 6, 9,...
இங்குள்ள உறுப்புகள் 3 -யின் மடங்குகளாக உள்ளன. எனவே an = 3n, n ∈ ℕ
(ii) 1/2 , 2/3 , 3/4 ,...
a1 = 1/2 ; a2 = 2/3 ; a3 = 3/4

இங்கு ஒவ்வோர் உறுப்பிலும் தொகுதியானது வரிசை இயல் எண்களாகவும், பகுதியானது தொகுதியைவிட ஒன்று கூடுதலாகவும் உள்ளது. எனவே, பொது உறுப்பு an = n / [n+ 1] , n ∈ ℕ

(iii) 5, -25, 125,...
இங்குத் தொடர்வரிசையின் அடுத்தடுத்த உறுப்புகளில் + மற்றும் - எனக் குறிகள் மாறி மாறி வந்துள்ளன. மேலும் உறுப்புகள் 5 -யின் அடுக்குகளாகவும் அமைந்துள்ளன. எனவே பொது உறுப்பு a n = (−1)n +1 5n , n ∈ ℕ
எடுத்துக்காட்டு 2.21
ஒரு தொடர்வரிசையின் பொது உறுப்பு பின்வருமாறு வரையறுக்கப்படுகிறது.

11 -வது உறுப்பு மற்றும் 18-வது உறுப்புக் காண்க.
தீர்வு
n = 11 என்பது ஒற்றை எண் என்பதால், a11 -யின் மதிப்புக் காண n = 11 என
an = n (n + 3) -யில் பிரதியிட,
11 -வது உறுப்பு a11 = 11(11 + 3) = 154.
n = 18 என்பது இரட்டை எண் என்பதால், a18 -யின் மதிப்புக் காண n = 18 என
an = n2 + 1 -யில் பிரதியிட,
18-வது உறுப்பு a18 = 182 + 1 = 325.
எடுத்துக்காட்டு 2.22
பின்வரும் தொடர்வரிசையின் முதல் ஐந்து உறுப்புகளைக் காண்க.

தீர்வு
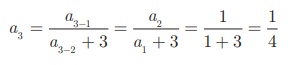
a1 = 1, a2 = 1 எனத் தொடர்வரிசையின் முதல் இரண்டு உறுப்புகள் கொடுக்கப்பட்டுள்ளன. மூன்றாவது உறுப்பானது முதல் இரண்டு உறுப்புகளைச் சார்ந்தே உள்ளது.

இதைப் போலவே நான்காம் உறுப்பு a4 ஆனது a2 மற்றும் a3 ஆகியவற்றைச் சார்ந்தே உள்ளது.

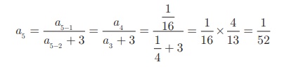
இதே வழிமுறையில் ஐந்தாம் உறுப்பு a5 கணக்கிடப்படுகிறது.

எனவே, தொடர்வரிசையின் முதல் ஐந்து உறுப்புகள் 1, 1, 1/4, 1/16 மற்றும் 1/52 ஆகும்.