கணிதவியல் - சாதாரண வகைக்கெழுச் சமன்பாடுகளின் தீர்வு (Solution of Ordinary Differential Equations) | 12th Maths : UNIT 10 : Ordinary Differential Equations
சாதாரண வகைக்கெழுச் சமன்பாடுகளின் தீர்வு (Solution of Ordinary Differential Equations)
வரையறை 10.9: (வகைக்கெழுச் சமன்பாட்டின் தீர்வு)
ஒரு வகைக்கெழுச் சமன்பாட்டினை நிறைவு செய்யுமாறு சார்ந்த மாறிகளை சாரா மாறிகளுடன் தொடர்புபடுத்தும் கோவை அச்சமன்பாட்டின் தீர்வு ஆகும்.
குறிப்பு
(i) ஒவ்வொரு வகைக்கெழுச் சமன்பாடும் ஒரு தீர்வினைப் பெற்றிருக்கும் என உறுதியாக கூறமுடியாது.
எடுத்துக்காட்டாக, (y'(x))2 + y2 + 1 = 0 என்ற வகைக்கெழுச் சமன்பாட்டை கருதுவோம். இங்கு, (y'(x))2 = -(y2 +1) என்பதால் y'(x) என்பது மெய்மதிப்பாகாது. எனவே, கொடுக்கப்பட்ட வகைக்கெழுச் சமன்பாட்டிற்கு தீர்வு கிடையாது.
(ii) ஒரு வகைக்கெழுச் சமன்பாட்டிற்கு தீர்வு இருக்குமானால், அத்தீர்வு ஒருமைத்தன்மை வாய்ந்ததாகாது.
எடுத்துக்காட்டாக, y =e2x, y =2e2x, y = √8e2x எனும் சார்புகள் dy/dx -2y = 0 எனும் ஒரே வகைக்கெழுச் சமன்பாட்டின் தீர்வுகளாகும். y = ce2x, c ∈ ℝ எனும் சார்புகள் அனைத்தும் dy/dx -2y = 0 எனும் வகைக்கெழுச் சமன்பாட்டின் தீர்வுகளாகும். ஆகவே, ஒரு வகைக்கெழுச் சமன்பாட்டின் வாய்ப்புள்ள எல்லாதீர்வுகளையும் குறிப்பிட, ஒரு வகைக்கெழுச்சமன்பாட்டின் பொதுத் தீர்வு எனும் கருத்தாக்கத்தை காண்போம்.
வரையறை 10.10: (பொதுத் தீர்வு)
ஒரு வகைக்கெழுச் சமன்பாட்டின் தீர்வில் உள்ள மாறத்தக்க மாறிலிகளின் (எதேச்சை மாறிலிகளின்) எண்ணிக்கையானது, அவ்வகைக்கெழுச் சமன்பாட்டின் வரிசைக்குச் சமமாக இருப்பின், அத்தீர்வினை அச்சமன்பாட்டின் பொதுத் தீர்வு என்கிறோம்.
குறிப்புரை
ஒரு வகைக்கெழுச் சமன்பாட்டின் வாய்ப்புள்ள எல்லா தீர்வுகளையும் பொதுத்தீர்வு உள்ளடக்கியிருக்கும். பொதுவாக, சாதாரண வகைக்கெழுச் சமன்பாடுகளின் பொதுத்தீர்வு மாறிலிகளையும், பகுதி வகைக்கெழுச் சமன்பாடுகளின் பொதுத்தீர்வு சார்புகளையும் உள்ளடக்கியிருக்கும்.
வரையறை 10.11: (குறிப்பிட்டத் தீர்வு)
ஒரு வகைக்கெழுச் சமன்பாட்டின் பொதுத்தீர்வில் உள்ள மாறத்தக்க மாறிலிகளுக்கு குறிப்பிட்ட மதிப்புகளைக் கொடுப்பதால் பெறப்படும் தீர்வினை குறிப்பிட்டத் தீர்வு என்போம்.
குறிப்புரை
(i) கூடுதலான நிபந்தனைகளைக் கொடுப்பதன் மூலம் ஒரு வகைக்கெழுச் சமன்பாட்டின் குறிப்பிட்டத் தீர்வினைக் காண்கிறோம்.
(ii) y’ = f (x,y) எனும் முதல் வரிசை வகைக்கெழுச் சமன்பாட்டின் பொதுத் தீர்வானது xy - தளத்தில் ஒரு துணையலகினைக் கொண்ட வளைவரைத் தொகுதியைக் குறிப்பிடுகிறது.
எடுத்துக்காட்டாக, y = ce2x, c ∈ ℝ என்பது dy/dx -2y = 0 எனும் வகைக்கெழுச்சமன்பாட்டின் பொதுத் தீர்வாகும்.
y = a cos x + b sin x என்பது d2y/dx2+ y = 0 எனும் இரண்டாம் வரிசை வகைக்கெழுச் சமன்பாட்டை நிறைவு செய்கிறது என ஏற்கனவே படித்துள்ளோம். இது இரண்டுமாறிலிகளைப் பெற்றுள்ளதால், d2y/dx2+ y = 0 எனும் வகைக்கெழுச் சமன்பாட்டின் பொதுத் தீர்வாகிறது. a =1, b = 0 எனப் பொதுத் தீர்வில் பிரதியிடுவதால் நமக்குக் கிடைக்கும் y =cos x என்பது d2y/dx2 + y = 0 எனும் வகைக்கெழுச் சமன்பாட்டின் சிறப்புத் தீர்வாகிறது.
பொதுவாக பயன்பாட்டில், மாறத்தக்க எதேச்சை மாறிலிகளை நீக்குவதால் வகைக்கெழுச் சமன்பாடுகள் எழுவதில்லை. வகைக்கெழுச் சமன்பாடுகள் பொதுவாக பொறியியல், அறிவியல் மற்றும் சமூக அறிவியல் உட்பட அனைத்துப் பிரிவுகளிலும் நடைமுறை நிகழ்வுகளை ஆராயும்போது கிடைக்கிறது. கொடுக்கப்பட்ட கட்டுப்பாடுகளை நிறைவு செய்யுமாறு ஒருவகைக்கெழுச் சமன்பாட்டிற்கு ஒருமைத்தன்மை வாய்ந்த தீர்வு காண, பொதுவாக மாறிலிகளின் மீதான சில நிபந்தனைகள் இச்சமன்பாட்டுடன் கொடுக்கப்பட்டு இருக்கும்.
எடுத்துக்காட்டு 10.7
dy/dx = - x/y எனும் வகைக்கெழுச் சமன்பாட்டின் தீர்வு x2 +y2 = r2 என நிறுவுக. இங்கு r என்பதுமாறிலியாகும்.
தீர்வு
கொடுக்கப்பட்ட சமன்பாடு x2 + y2 = r2, r ∈ ℝ ….(1)
இச்சமன்பாடு ஒரேயொரு மாறிலியை மட்டும் பெற்றுள்ளது.
ஆகவே, கொடுக்கப்பட்ட சமன்பாட்டிற்கு ஒருமுறை மட்டும் வகைக்கெழு காண்போம். சமன்பாடு (1)ஐ x ஐப் பொருத்து வகையிட, நாம் பெறுவது

ஆகவே, x2 + y2 = r2 என்பது dy/dx = -x/y எனும் வகைக்கெழுச் சமன்பாட்டை நிறைவு செய்கிறது.
எனவே, x2 + y2 = r2 என்பது dy/dx = -x/yஎனும் வகைக்கெழுச் சமன்பாட்டின் தீர்வாகும்.
எடுத்துக்காட்டு 10.8
y = mx + 7/m, m ≠ 0 என்பது xy' + 7 (1/y’) y = 0 எனும் வகைக்கெழுச் சமன்பாட்டின் தீர்வாகும் எனக்காட்டுக.
தீர்வு
கொடுக்கப்பட்ட சார்பு y = mx + (7/m), இங்கு m ஏதேனும் ஒரு மாறிலியாகும் ………(1)
சமன்பாடு (1)-ன் இருபுறமும் x ஐப் பொருத்து வகைக்கெழு காண, நாம் பெறுவது y’ = m ஆகும். y' மற்றும் y-ன் மதிப்புகளைக் கொடுக்கப்பட்ட வகைக்கெழுச் சமன்பாட்டில் பிரதியிட

xy′ + 7/y′ − y = xm + 7/m − mx – 7/m = 0 . எனப் பெறுகிறோம்.
எனவே, கொடுக்கப்பட்ட சார்பு xy'+ 7(1/y’) − y = 0. எனும் வகைக்கெழுச் சமன்பாட்டின் தீர்வாகும்.
எடுத்துக்காட்டு 10.9
y = 2(x2 – 1) + Ce− x2 என்பது dy/dx + 2xy − 4x3 = 0 எனும் வகைக்கெழுச் சமன்பாட்டின் தீர்வாகும் எனக்காட்டுக.
தீர்வு
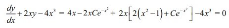
கொடுக்கப்பட்ட சார்பு y = 2 ( x2 −1) + Ce− x2 , இங்கு C ஏதேனும் ஒரு மாறிலியாகும். ……(1)
சமன்பாடு (1)-ன் இருபுறமும் x ஐப் பொருத்து வகைக்கெழு காண, dy/dx = 4x − 2xCe− x2 .
dy/dx மற்றும் y ஆகியவற்றின் மதிப்புகளைக் கொடுக்கப்பட்ட வகைக்கெழுச் சமன்பாட்டில்பிரதியிட,
எனப் பெறுகிறோம்.
எனவே, கொடுக்கப்பட்ட சார்பு dy/dx + 2xy − 4x3 = 0 எனும் வகைக்கெழுச் சமன்பாட்டின் தீர்வாகும்.
எடுத்துக்காட்டு 10.10
y = a cos(log x) +b sin (log x), x > 0 என்பது x2 y′′ + xy′ + y = 0 எனும் வகைக்கெழுச் சமன்பாட்டின் தீர்வாகும் எனக்காட்டுக.
தீர்வு
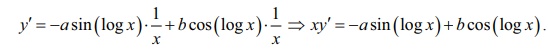
கொடுக்கப்பட்ட சார்பு y = a cos(log.x) + b sin (log x) ….(1)
இங்கு a, b என்பன ஏதேனும் இரண்டு மாறிலிகள். இவ்விரு மாறிலிகளையும் நீக்க கொடுக்கப்பட்ட சார்பின் தொடர் வகைக்கெழுக்களை இருமுறை காணவேண்டும்.
சமன்பாடு (1)-ன் இருபக்கமும் x ஐப் பொருத்து வகைக்கெழு காண நாம் பெறுவது,

இச்சமன்பாட்டினை மீண்டும் x ஐப் பொருத்து வகையிட,

எனவே , y = a cos(log x) + b sin(log x) என்பது கொடுக்கப்பட்ட வகைக்கெழுச் சமன்பாட்டின் தீர்வாகும்.