வரையறை, தேற்றம், எடுத்துக்காட்டு, தீர்வு | கணக்கு - சிறப்புத் தொடர்கள் | 10th Mathematics : UNIT 2 : Numbers and Sequences
சிறப்புத் தொடர்கள் (Special Series)
சில தொடர்களின் கூடுதலை தனித்த சூத்திரங்கள் மூலம் காணலாம். இத்தகைய தொடர்களைச் சிறப்புத் தொடர்கள் என்கிறோம்.
இங்கு நாம் பொதுவான சில சிறப்புத் தொடர்களைக் காண உள்ளோம்.
(i) முதல் ‘n’ இயல் எண்களின் கூடுதல்.
(ii) முதல் ‘n’ ஒற்றை இயல் எண்களின் கூடுதல்.
(iii) முதல் ‘n’ இயல் எண்களின் வர்க்கங்களின் கூடுதல்.
(iv) முதல் ‘n’ இயல் எண்களின் கனங்களின் கூடுதல்.
1k + 2k + 3k + ... + nk என்பதன் மதிப்பை (x + 1)k +1 − x k +1 என்ற கோவையைப் பயன்படுத்திக் காணலாம்
1. முதல் n இயல் எண்களின் கூடுதல் (Sum of First n Natural Numbers)
1 + 2 + 3 + ... + n, எண்பதன் மதிப்பு காண (x + 1)2 − x2 = 2x + 1 என்ற முற்றொருமையைப் பயன்படுத்துவோம்.
x = 1, 2, 3,.....n – 1, n எனில்
x = 1, ⇒ 22 − 12 = 2(1) + 1
x = 2, ⇒ 32 − 22 = 2(2) + 1
x = 3, ⇒ 42 − 32 = 2(3) + 1
: : :
x = n −1 ⇒ n2 − (n −1)2 = 2(n −1) + 1
x = n ⇒ (n + 1)2 - n2 = 2(n) + 1
மேற்கண்ட சமன்பாடுகளைக் கூட்டி அதில் இடது பக்க உறுப்புகளை நீக்கிட நாம் பெறுவது.
(n + 1)2 −12 = 2(1 + 2 + 3 + ... + n ) + n
n 2 + 2n = 2(1 + 2 + 3 + ... + n ) + n
2(1 + 2 + 3 + ... + n) = n 2 + n = n (n + 1)
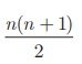
1 + 2 + 3 + ... + n= [n (n + 1)] / 2

'
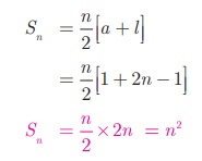
2. முதல் n ஒற்றை இயல் எண்களின் கூடுதல் (Sum of first n Odd Natural Numbers)
1 + 3 + 5 + ... + (2n - 1)
இது ஒரு கூட்டுத் தொடர்வரிசை a = 1, d = 2 மற்றும் l = 2n -1

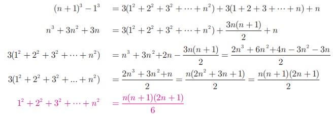
3. முதல் n இயல் எண்களின் வர்க்கங்களின் கூடுதல் (Sum of Squares of First n Natural Numbers)
12 + 22 + 32 + ... + n2 -யின் மதிப்பு காண (x + 1)3 − x3 = 3x2 + 3x + 1 என்ற முற்றொருமையைக் கருதுவோம்.
x = 1, 2, 3,.....n – 1, n எனில்
x = 1 ⇒ 23 − 13 = 3(1)2 + 3(1) + 1
x = 2 ⇒ 33 − 23 = 3(2)2 + 3(2) + 1
x = 3 ⇒ 43 − 33 = 3(3)2 + 3(3) + 1
: : :
x = n −1 , n3 − (n −1)3 = 3(n −1)2 + 3(n −1) + 1
x = n ⇒ (n + 1)3 − n3 = 3n 2 + 3n + 1
மேற்கண்ட சமன்பாடுகளைக் கூட்டி, அதில் இடப்பக்க உறுப்புகளை நீக்கிட நாம் பெறுவது,

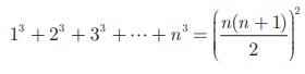
4. முதல் n இயல் எண்களின் கனங்களின் கூடுதல் (Sum of Cubes of First n Natural Numbers)
13 + 23 + 33 + ... + n3 -யின் மதிப்பு காண
(x + 1)4 − x4 = 4x3 + 6x2 + 4x + 1 என்ற முற்றொருமையைக் கருதுவோம்.
x = 1, 2, 3,.....n – 1, n எனில்
x = 1 ⇒ 24 − 14 = 4(1)3 + 6(1)2 + 4(1) + 1
x =2 ⇒ 34 − 2 4 = 4(2)3 + 6(2)2 + 4(2) + 1
x = 3 ⇒ 44 − 34 = 4(3)3 + 6(3)2 + 4(3) + 1
: : :
x = n −1 ⇒ n4 − (n −1)4 = 4(n −1)3 + 6(n −1)2 + 4(n −1) + 1
x = n ⇒ (n + 1)4 − n4 = 4n3 + 6n2 + 4n + 1
மேற்கண்ட சமன்பாடுகளைக் கூட்டி அதில் இடப்பக்க உறுப்புகளை நீக்கிட நாம் பெறுவது,
(n+1)4 – 14 = 4(13 + 23 + 3 3 + … + n 3 ) + 6(12 + 22 + 32 + … + n2 ) + 4(1 + 2 + 3 + … + n ) + n
n4 + 4n3 + 6n2 + 4n = 4(13 + 23 + 3 3 + … + n 3) + 6 × 
4(13 + 23 + 33 + … + n3) = n4 + 4n3 + 6n2 + 4n − 2n3 − n2 − 2n2 − n − 2n2 − 2n –n
4(13 + 23 + 33 + … + n3) = n4 + 2n3 + n 2 = n2 (n2 + 2n +1) = n2(n+1)2

உங்களுக்குத் தெரியுமா?
சிறந்த நட்பு
220 மற்றும் 284 ஆகிய எண்களைக் கருதுக.
220 -யின் வகுத்திகளின் கூடுதல் (220 நீங்கலாக)
= 1 + 2 + 4 + 5 + 10 + 11 + 20 + 22 + 44 + 55 + 110 = 284
284-யின் வகுத்திகளின் கூடுதல் (284 நீங்கலாக) = 1 + 2 + 4 + 71 + 142 = 220.
இதிலிருந்து, 220, 284 ஆகிய எண்களில் ஓர் எண் நீங்கலாக அதன் வகுத்திகளின் கூடுதலானது மற்றோர் எண்ணுக்குச் சமம்.
இவ்வாறு அமைந்த எண் ஜோடிகளை இணக்கமான எண்கள் அல்லது நட்பு எண்கள் என அழைக்கிறோம். 220 மற்றும் 284 என்ற எண்களே மிகச் சிறிய சோடி நட்பு எண்கள் ஆகும். இவ்வெண்களைக் கண்டறிந்தவர் பிதாகரஸ் ஆவார். தற்போது வரை 12 மில்லியன் ஜோடி இணக்கமான எண்கள் கண்டறியப்பட்டுள்ளன.
செயல்பாடு 6
பின்வரும் முக்கோணத்தை எடுத்துக்கொள்க.

(1 + 2 + 3 + 4)
இதுபோன்ற மற்றொரு முக்கோணத்தை எடுத்துக்கொள்க

(4 + 3 + 2 + 1)
இரண்டாவது முக்கோணத்தை முதல் முக்கோணத்துடன் சேர்க்க நாம் பெறுவது.

ஆகவே, 1 + 2 + 3 + 4 இருமுறை சேரும்போது 4 × 5 அளவுள்ள ஒரு செவ்வகம் கிடைக்கிறது.
படத்தில் நாம் செய்ததை எண்களில் எழுதினால்,
(4 + 3 + 2 + 1) + (1+ 2 + 3 + 4) = 4 × 5
2(1 + 2 + 3 + 4) = 4 × 5
எனவே, 1 + 2 + 3 + 4 = 4 × 5 / 2 = 10
இது போன்றே, முதல் 5 இயல் எண்களின் கூடுதல் காண முயற்சி செய்க. இந்த விடையிலிருந்து உனக்குத் தெரிந்த சூத்திரத்தைத் தொடர்புபடுத்துக.
உங்களுக்குத் தெரியுமா?
1. முதல் n இயல் எண்களை ஒரு முக்கோண வடிவில் (படம் 2.16) அமைக்க முடியும் என்பதால் அவற்றின் கூடுதல் முக்கோண எண் என்று அழைக்கின்றோம்.
2. முதல் n இயல் எண்களின் வர்க்கங்களை ஒரு பிரமிடு வடிவில் அமைக்க முடியும் என்பதால் அவற்றின் கூடுதலை சதுர பிரமிடு எண் என்கிறோம்.
சிந்தனைக் களம்
1. சதுரங்கப் பலகையில் மொத்தம் எத்தனை சதுரங்கள் உள்ளன?
2. சதுரங்கப் பலகையில் மொத்தம் எத்தனை செவ்வகங்கள் உள்ளன?
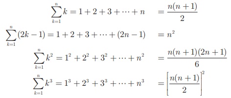
இங்கு நாம் இதுவரை விவாதித்த கூடுதல் காணும் சூத்திரங்களைத் தொகுப்போம். இந்தச் சூத்திரங்கள் முடிவுறு தொடர்களின் கூடுதல் காணப் பயன்படுகின்றன.

எடுத்துக்காட்டு 2.54
மதிப்பு காண்க (i)1 + 2 + 3 + ... + 50
(ii) 16 + 17 + 18 + ... + 75
தீர்வு
(i) 1+ 2 + 3 + … + 50
1 + 2 + 3 + … + n =
என்ற சூத்திரத்தைப் பயன்படுத்த,
1+ 2 + 3 + … + 50 = 
(ii) 16 + 17 + 18 + … + 75 = (1 + 2 + 3 + … + 75) − (1 + 2 + 3 + … + 15)
= 75(75 + 1)/2 − 15(15 + 1) / 2
= 2850 −120 = 2730
முன்னேற்றச் சோதனை
1. முதல் n இயல் எண்களின் கணங்களின் கூடுதலானது, முதல் n இயல் எண்களின் கூடுதலின் ___________ ஆகும்.
2. முதல் 100 இயல் எண்களின் சராசரி ________________.
எடுத்துக்காட்டு 2.55
கூடுதல் காண்க.
(i) 1 + 3 + 5 + ... 40 உறுப்புகள் வரை
(ii) 2 + 4 + 6 + ... + 80
(iii) 1 + 3 + 5 + ... + 55
தீர்வு
(i) 1 + 3 + 5 + ... 40 உறுப்புகள் வரை = 402 = 1600
(ii) 2 + 4 + 6 + ... + 80 = 2(1 + 2 + 3 + ... + 40) = 2 × [40 × (40 + 1)] / 2 = 1640
(iii) 1 + 3 + 5 + ... + 55
இங்கு உறுப்புகளின் எண்ணிக்கை கொடுக்கப்படவில்லை. நாம் உறுப்புகளின் எண்ணிக்கையை n = (l-a)/d + 1 என்ற சூத்திரத்தைப் பயன்படுத்திக் காண்போம். n= [(55-1)/2] + 1 = 28 எனவே, 1 + 3 + 5 + … + 55 = (28)2 = 784
எடுத்துக்காட்டு 2.56
கூடுதல் காண்க.
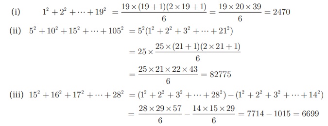
(i) 12 + 22 + … + 192
(ii) 52 + 1 02 + 152 + … + 1052
(iii) 152 + 162 + 17 2 + … + 282
தீர்வு

எடுத்துக்காட்டு 2.57
கூடுதல் காண்க
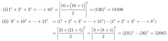
(i) 13 + 23 + 33 + … + 163
(ii) 93 + 103 + … + 213
தீர்வு

எடுத்துக்காட்டு 2.58
1 + 2 + 3 + ... + n = 666 எனில், n-யின் மதிப்பு காண்க.
தீர்வு
1 + 2 + 3 + ... + n =
, என்பதால்
= 666
n 2 + n −1332 = 0 ⇒ (n + 37 )(n − 36) = 0
எனவே, n = −37 அல்லது n = 36
ஆனால் n ≠ −37 (ஏனெனில் n ஓர் இயல் எண்).;
ஆகவே n = 36.
முன்னேற்றச் சோதனை
சரியா, தவறா எனக் கூறுக. உனது விடைக்கான காரணம் தருக.
(i) முதல் n ஒற்றை இயல் எண்களின் கூடுதலானது எப்போதும் ஓர் ஒற்றை எண்ணாகும்.
(ii) அடுத்தடுத்த இரட்டை எண்களின் கூடுதலானது எப்போதும் ஓர் இரட்டை எண்ணாகும்.
(iii) முதல் n இயல் எண்களின் வர்க்கங்களின் கூடுதல் மற்றும் முதல் n இயல் எண்களின் கூடுதல் ஆகியவற்றிற்கு இடையே உள்ள வித்தியாசம் எப்போதும் 2 ஆல் வகுபடும்.
(iv) முதல் n இயல் எண்களின் கனங்களின் கூடுதலானது எப்போதும் ஒரு வர்க்க எண்ணாகும்.