முதல் வரிசை, முதற்படி வகைக்கெழுச் சமன்பாடுகளின் தீர்வு (Solution of First Order and First Degree Differential Equations) | கணிதவியல் - மாறிகளைப் பிரிக்கும் முறை (Variables Separable Method) | 12th Maths : UNIT 10 : Ordinary Differential Equations
முதல் வரிசை, முதற்படி வகைக்கெழுச் சமன்பாடுகளின் தீர்வு (Solution of First Order and First Degree Differential Equations)
மாறிகளைப் பிரிக்கும் முறை (Variables Separable Method)
வகைக்கெழுச் சமன்பாடுகளின் மாறிகளைப் பிரித்து தீர்வு காணும் முறையானது தொடக்கத்தில் லிபினிட்ஸ் என்பவரால் அறிமுகப்படுத்தப்பட்டது. அதன் பின்னர், 1694-ல் பெர்னோலி என்பவரால் இது முறைப்படுத்தப்பட்டது.
ஒரு முதல் வரிசை வகைக்கெழுச் சமன்பாட்டை h(y)y' = g(x) எனும் வடிவில் எழுத முடியுமானால், அச்சமன்பாட்டின் மாறிகள் பிரிபடக்கூடியனவாகும். இங்கு, y' மற்றும் y -ன் சார்பு ஆகியவற்றின் பெருக்கல் இச்சமன்பாட்டின் இடப்பக்கமும், சார்பு x ஆனது இச்சமன்பாட்டின் வலப்பக்கமும் அமைந்திருக்கும். வகைக்கெழுச் சமன்பாட்டை பிரித்து இவ்வாறு எழுதும் முறை மாறிகள் பிரிக்கக்கூடிய முறை எனப்படும்.
முதல் வரிசை வகைக்கெழுச் சமன்பாட்டின் மாறிகளை பிரித்தெழுத முடியுமானால் அச்சமன்பாட்டின் தீர்வு காண்பது எளிதாகும். f1 (x)g1 ( y)dx + f 2 (x)g 2 ( y)dy = 0 எனும் வடிவில் உள்ள சமன்பாடு மாறிகள் பிரிபடக்கூடியது அல்லது மாறிகள் பிரிபடக்கூடிய சமன்பாடு எனப்படும்.
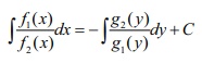
கொடுக்கப்பட்ட வகைக்கெழுச் சமன்பாட்டை

எனும் அமைப்பில் எழுதுக. சமன்பாடு (1)-ன் இருபுறமும் வகையிட நமக்கு கொடுக்கப்பட்ட வகைக்கெழுச் சமன்பாட்டின் பொதுத்தீர்வு
எனக்கிடைக்கிறது. இங்கு C என்பது மாறிலியாகும்.
குறிப்புரை
1. இரு பக்கமும் உள்ள மாறிலிகளை ஒருங்கிணைத்து ஒரே மாறிலியாக மாற்றுவதால் சமன்பாட்டின் தீர்வு காணும்போது மாறிலிகளை இருபுறமும் சேர்க்கத் தேவையில்லை.
2. இந்த எதேச்சை மாறிலியுடன் காணப்படும் தீர்வு வகைக்கெழுச் சமன்பாட்டின் பொதுத் தீர்வுஎனப்படும்.
ஒரு வகைக்கெழுச் சமன்பாட்டின் தீர்வு காணும் முறையில் தொகையிடலும் பயன்படுத்தப்படுவதால் "வகைக்கெழுச் சமன்பாட்டின் தீர்வு காணல்" என்பதை "வகைக்கெழுச் சமன்பாட்டின் தொகை காணல்'', எனவும் குறிப்பிடுவோம்.
எடுத்துக்காட்டு 10.11
தீர்க்க (1+x2) dy/dx =1+y2

எடுத்துக்காட்டு 10.12
y(1) = 2 எனும் நிபந்தனையை நிறைவு செய்யும் (1+ x3 )dy − x2 ydx = 0 எனும் வகைக்கெழுச் சமன்பாட்டின் குறிப்பிட்டத் தீர்வு காண்க.
தீர்வு
கொடுக்கப்பட்ட சமன்பாடு (1+ x3 )dy − x2ydx = 0 .

எனவே, கொடுக்கப்பட்ட வகைக்கெழுச் சமன்பாட்டின் பொதுத் தீர்வு y3 = C(1+x3).
x =1, y = 2 எனும்போது, 23 = C[1+1) ⇒ C = 4
எனவே, கொடுக்கப்பட்ட வகைக்கெழுச் சமன்பாட்டின் குறிப்பிட்ட தீர்வு y3 = 4(1+x3).