கேள்விகளுக்கான பதில்கள் - சரியான விடையினைத் தெரிவு செய்க | 11th Chemistry : UNIT 2 : Quantum Mechanical Model of Atom
மதிப்பீடு:
I. சரியான விடையினைத் தெரிவு செய்க
1) M2+ அயனியின் எலக்ட்ரான் அமைப்பு 1s2 2s2 2p6 3s2 3p6 3d6 அதன் அணு நிறை 56 எனில் M என்ற அணுவின் அணுக்கரு பெற்றிருக்கும் நியூட்ரான்களின் எண்ணிக்கை
அ) 26
ஆ) 22
இ) 30
ஈ) 24
[விடை: இ) 30]
தீர்வு:
M2+ :1s2 2s2 2p6 3s2 3p6 3d6
M :1s2 2s2 2p6 3s2 3p6 3d8
அணு எண் = 26;
நிறை எண் = 56
நியூட்ரான்களின் எண்ணிக்கை = 56 − 26 = 30.
2) 45 nm அலைநீளம் உடைய ஒளியின் ஆற்றல்
அ) 6.67 × 1015 J
ஆ) 6.67 × 1011 J
இ) 4.42 × 10−18 J
ஈ) 4.42 × 10-15 J
[விடை: இ) 4.42 × 10−18 J]
தீர்வு:
E = hv = hc/ λ

= 4.42 × 10−18 J
3) இரு கதிர்வீச்சின் ஆற்றல்கள் E1 மற்றும் E2 முறையே 25 eV மற்றும் 50 eV அவைகளின் அலைநீளங்கள் λ1 மற்றும் λ2 ஆகியவற்றிற்கு இடையேயானத் தொடர்பு
அ) λ1 / λ2 = 1
ஆ) λ1 = 2λ2
இ) λ1 = √25 × 50 λ2
ஈ) 2λ1 = λ2
விடை: ஆ) λ1 = 2 λ2
தீர்வு:

2 λ2 = λ1
4) மின்புலத்தில் நிறமாலைக் கோடுகள் பிரிகையடையும் விளைவு
அ) சீமன் விளைவு
ஆ) மறைத்தல் விளைவு
இ) காம்ப்டன் விளைவு
ஈ) ஸ்டார்க் விளைவு
[விடை: ஈ) ஸ்டார்க் விளைவு]
தீர்வு:
காந்தப்புலத்தில் நிறமாலைக் கோடுகள் பிரிகையடைவது சீமன் விளைவு எனவும் மின்புலத்தில் நிறமாலைக்கோடுகள் பிரிகையடைவது ஸ்டார்க் விளைவு எனவும் அழைக்கப்படுகிறது
5. E = -2.178 × 10-18 J (z2 / n2) என்ற சமன்பாட்டின் அடிப்படையில், சில முடிவுகள் தரப்பட்டுள்ளன. அவற்றுள் சரியாக இல்லாதது எது? (NEET)
அ) எலக்ட்ரானானது ஒரு ஆர்பிட்டிலிருந்து மற்றொரு ஆர்பிட்டிற்கு மாறும்போது, ஆற்றல் மாறுபாட்டினை கணக்கிட இச்சமன்பாட்டினைப் பயன்படுத்தலாம்.
ஆ) n = 6 வட்டப்பாதையில் இருப்பதைக் காட்டிலும் n = 1 ல் எலக்ட்ரானானது அதிக எதிர்குறி ஆற்றலைப் பெற்றிருக்கும். இதற்கு எலக்ட்ரானானது சிறிய அனுமதிக்கப்பட்ட வட்டப்பாதையில் (ஆர்பிட்) உள்ளபோது வலிமைக்குறைவாக பிணைக்கப்பட்டுள்ளது என பொருள்.
இ) இச்சமன்பாட்டில் உள்ள எதிர்குறியானது, அணுக்கருவோடு எலக்ட்ரான் பிணைக்கப்பட்டுள்ளபோது உள்ள ஆற்றலானது, எலக்ட்ரான்கள் அணுக்கருவிலிருந்து ஈறிலாத் தொலைவில் உள்ளபோது பெற்றுள்ள ஆற்றலைக் காட்டிலும் குறைவு என்ற பொருளைத் தருகிறது.
ஈ) n ன் மதிப்பு அதிகமாக இருப்பின், ஆர்பிட்டால் ஆர மதிப்பும் அதிகம்
விடை: ஆ) n = 6 வட்டப்பாதையில் இருப்பதைக் காட்டிலும் n = 1 ல் எலக்ட்ரானானது அதிக எதிர்குறி ஆற்றலைப் பெற்றிருக்கும். இதற்கு எலக்ட்ரானானது சிறிய அனுமதிக்கப்பட்ட வட்டப்பாதையில் (ஆர்பிட்) உள்ளபோது வலிமைக்குறைவாக பிணைக்கப்பட்டுள்ளது என பொருள்.
தீர்வு:
சரியான கூற்று : n = 6 வட்டப்பாதையில் இருப்பதைக் காட்டிலும் n = 1ல் எலக்ட்ரானானது அதிக எதிர்குறி ஆற்றலைப் பெற்றிருக்கும். இது எலக்ட்ரானானது சிறிய அனுமதிக்கப்பட்ட ஆர்பிட்டில் உள்ள போது அதிக வலிமையுடன் பிணைக்கப்பட்டுள்ளது என பொருள்படும்.
6) போர் அணுக்கொள்கையின் அடிப்படையில், ஹைட்ரஜன் அணுவில் பின்வரும் எந்தப் பரிமாற்றம் குறைவான ஆற்றலுடைய போட்டானைத் தரும்.
அ) n = 6 இல் இருந்து n = 1
ஆ) n = 5 இல் இருந்து n = 4
இ) n = 5 இல் இருந்து n = 3
ஈ) n = 6 இல் இருந்து n = 5
[விடை: ஈ) n = 6 இல் இருந்து n = 5]
தீர்வு:
n = 6 to n = 5
E6 = −13.6 / 62; E5 = −13.6 / 52
E6 – E5 = (−13.6/62) − (−13.6/52)
= 0.166 eV atom−1
E5 – E4 = (−13.6/52) − (−13.6/ 42)
= 0.306 ev atom−1
7) கூற்று: He+ ன் நிறமாலையானது, ஹைட்ரஜனின் நிறமாலையினை ஒத்திருக்கும்.
காரணம்: He+ ம் ஒரு எலக்ட்ரானைக் கொண்ட ஒரு அமைப்பாகும்.
அ) கூற்று மற்றும் காரணம் இரண்டும் சரியானது. காரணமானது, கூற்றிற்கு சரியான விளக்கமாகும்.
ஆ) கூற்று மற்றும் காரணம் இரண்டும் சரியானது. ஆனால், காரணமானது கூற்றிற்கு சரியான விளக்கமல்ல.
இ) கூற்று சரி காரணம் தவறு
ஈ) கூற்று மற்றும் காரணம் இரண்டும் தவறு.
[விடை: அ) கூற்று மற்றும் காரணம் இரண்டும் சரியானது. காரணமானது, கூற்றிற்கு சரியான விளக்கமாகும்.]
8) பின்வரும் d ஆர்பிட்டால் இணைகளில் எலக்ட்ரான் அடர்த்தியினை அச்சுகளின் வழியே பெற்றிருப்பது எது?
அ) dz2, dxz
ஆ) dxz, dyz
இ) dz2, dx2- y2
ஈ) dxy, dx2-y2
[விடை: இ) dz2 , dx2− y2]
9) ஒரே ஆர்பிட்டாலில் உள்ள இரு எலக்ட்ரான்களையும் வேறுபடுத்தி அறிய உதவுவது
அ) கோண உந்தக் குவாண்டம் எண்
ஆ) தற்சுழற்சிக் குவாண்டம் எண்
இ) காந்தக் குவாண்டம் எண்
ஈ) ஆர்பிட்டால் குவாண்டம் எண்
[விடை: ஆ) தற்சுழற்சிக் குவாண்டம் எண்]
தீர்வு:
தற்சுழற்சி குவாண்டம் எண்
முதலாவது எலக்ட்ரானுக்கு ms = + 1/2
இரண்டாவது எலக்ட்ரானுக்கு ms = − 1/2
10. Eu (அணு எண் 63), Gd (அணு எண் 64) மற்றும் Tb (அணு எண் 65) ஆகியவற்றின் எலக்ட்ரான் அமைப்புகள் முறையே (NEET- Phase II)
a) [Xe] 4f6 5d1 6s2, [Xe] 4f7 5d1 6s2 மற்றும் [Xe] 4f8 5d1 6s2
ஆ) [Xe] 4f7 6s2, [Xe] 4f7 5d1 6s2 மற்றும் [Xe] 4f9 6s2
இ) [Xe] 4f7 6s2, [Xe] 4f8 6s2 மற்றும் [Xe] 4f8 5d1 6s2
ஈ) [Xe] 4f6 5d1 6s2, [Xe] 4f7 5d1 6s2 மற்றும் [Xe] 4f9 6s2
[விடை: ஆ) [Xe] 4f76s2, [Xe] 4f'75d16s2 மற்றும் [Xe] 4f96s2 ]
தீர்வு:
Eu: [Xe] 4f7 , 5d0 , 6s2
Gd: [Xe] 4f7 , 5d1 , 6s2
Tb: [Xe] 4f9 , 5d0 , 6s2
11) ஒரு துணைக்கூட்டில் உள்ள அதிகபட்சமான எலக்ட்ரான்களின் எண்ணிக்கையினை குறிப்பிடுவது
அ) 2n2
ஆ) 2l + 1
இ) 4l + 2
ஈ) மேற்கண்டுள்ள எதுவுமில்லை
[விடை: இ) 4l +2]
தீர்வு:
2 (2l + 1) = 4l + 2
12) d - எலக்ட்ரானுக்கான, ஆர்பிட்டால் கோண உந்த மதிப்பானது

[விடை: ஈ) √6h/2π]
தீர்வு:
ஆர்பிட்டால் கோண உந்த மதிப்பு = √1(1+1)h/2πd
ஆர்பிட்டாலுக்கு √ (2×3) h/2π
= √6h/2π

13) n = 3, l = 1 மற்றும் m = -1 ஆகிய குவாண்டம் எண்களின் தொகுப்பினை அதிகபட்சமாக எத்தனை எலக்ட்ரான்கள் பெற்றிருக்க முடியும்?
அ) 4
ஆ) 6
இ) 2
ஈ) = 10
[விடை: இ) 2]
தீர்வு:
n = 3; l = 1; m = −1
3px ஆகவோ அல்லது 3py ஆகவோ இருக்கலாம் அதாவது 3px அல்லது 3py−ல் அதிகபட்சமாக இரண்டு எலக்ட்ரான்களை மட்டுமே நிரப்ப இயலும்.
14) கூற்று: 3p ஆர்பிட்டாலுக்கான ஆர மற்றும் கோண கணுக்களின் எண்ணிக்கை முறையே 1, 1
காரணம்: ஆர மற்றும் கோண கணுக்களின் எண்ணிக்கை முதன்மைக் குவாண்டம் எண்ணை மட்டுமே பொறுத்து அமையும்
அ) கூற்று மற்றும் காரணம் இரண்டும் சரியானது. காரணமானது, கூற்றிற்கு சரியான விளக்கமாகும்.
ஆ) கூற்று மற்றும் காரணம் இரண்டும் சரியானது. ஆனால், காரணமானது, கூற்றிற்கு சரியான விளக்கமல்ல.
இ) கூற்று சரி காரணம் தவறு
ஈ) கூற்று மற்றும் காரணம் இரண்டும் தவறு.
[விடை: இ) கூற்று சரி காரணம் தவறு]
தீர்வு:
ஆரக் கணுக்களின் எண்ணிக்கை = n − l – 1
கோணக் கணுக்களின் எண்ணிக்கை = 1
3p ஆர்பிட்டாலுக்கு ஆரக்கணுக்களின் எண்ணிக்கை = 3 – l − 1 = 1
கோணக் கணுக்களின் எண்ணிக்கை = 1
15) n = 3 என்ற முதன்மைக் குவாண்டம் எண்ணை பெற்றிருக்கும் ஆர்ட்டால்களின் மொத்த எண்ணிக்கை
அ) 9
ஆ) 8
இ) 5
ஈ) 7
[விடை: அ) 9]
தீர்வு:
n = 3; l = 0; ml = 0 − ஒரு s ஆர்பிட்டால்கள்
n = 3; l = 1; ml = −1, 0, 1 − மூன்று p ஆர்பிட்டால்கள்
n = 3; l = 2; ml = −2, −1, 0, 1, 2 − ஐந்து d ஆர்பிட்டால்கள்
மொத்தம் ஒன்பது ஆர்பிட்டால்கள் சாத்தியமாகும்.
16) n = 6 எனில், எலக்ட்ரான்கள் நிரப்பப்படும் சரியான வரிசை
அ) ns → (n - 2) f → (n - 1) d → np
ஆ) ns → (n - 1) d → (n - 2) f → np
இ) ns → (n - 2) f → np → (n - 1) d
ஈ) இவை எதுவும் சரியல்ல
[விடை: அ) ns → (n − 2) f→ (n −1)d → np]
தீர்வு:
n = 6 ஆஃபா தத்துவப்படி
6s → 4f → 5d→ 6p
ns → (n −2) f → (n − 1)d → np
17) பின்வரும் குவாண்டம் எண்களின் தொகுப்பினைக் கருதுக.

பின்வரும் எந்த குவாண்டம் எண்களின் தொகுப்பு சாத்தியமற்றது?
அ) (i), (ii), (iii) மற்றும் (iv)
ஆ) (ii), (iv) மற்றும் (v)
இ) (i) மற்றும் (iii)
ஈ) (ii), (iii) மற்றும் (iv)
[விடை: ஆ) (ii), (iv) மற்றும் (v)]
தீர்வு:
(ii) l ஆனது 0 முதல் (n − 1) வரையிலான மதிப்புகளைப் பெற்றிருக்க முடியும். n = 2 சாத்தியமான '1' மதிப்புகள் 0, 1 எனவே 1 = 2 சாத்தியமற்றது.
(iv) l = 0 க்கு ; m = −1 சாத்தியமற்றது
(v) n = 3க்கு; l = 4 மற்றும் m = 3 சாத்தியமற்றது
18) அணு எண் 105 உடைய அணுவில் உள்ள எத்தனை எலக்ட்ரான்கள் (n + l) = 8 என்ற மதிப்பினை பெற்றிருக்க முடியும்
அ) 30
ஆ) 17
இ) 15
ஈ) தீர்மானிக்க இயலாது
[விடை: ஆ)17]
தீர்வு:
n + 1 = 8 அணு எண் 105 உடைய தனிமத்தின் எலக்ட்ரான் அமைப்பு [Rn] 5f14 6d37s2

எலக்ட்ரான்களின் எண்ணிக்கை = 14 + 3 = 17
19) 3dxy ஆர்பிட்டாலில் yz தளத்தில் எலக்ட்ரான் அடர்த்தி
அ) பூஜ்யம்
ஆ) 0.50
இ) 0.75
ஈ) 0.90
[விடை: வாய்ப்பு (அ) பூஜ்யம் (படம் 2.9 ஐ பார்க்க)]
20) நிலை மற்றும் உந்தத்தின் நிச்சயமற்றத் தன்மை சமம் எனில், அதன் திசைவேகத்தின் குறைந்தபட்ச நிச்சயமற்றத் தன்மை

[விடை: இ) 1/2m √h/ π]
தீர்வு:

21) 100 cm s–1 வேகத்தில் இயங்கும் 100g நிறையுடைய துகள் ஒன்றின் டி-பிராக்ளி அலைநீளம்
அ) 6.6 × 10–29 cm
ஆ) 6.6 × 10-30 cm
இ) 6.6 × 10-31 cm
ஈ) 6.6 × 10-32 cm
[விடை: இ) 6.6 × 10−31 cm]
தீர்வு:
m = 100 g = 100 × 10−3 kg
v = 100 cm s−1 = 100 × 10−2 ms−1

= 6.626 ×10−33 ms−1 = 6.626 ×10−31 cms−1
22) டியூட்ரியத்தின் திசைவேகம், α - துகளைக் காட்டிலும் ஐந்து மடங்காக இருக்கும்போது, டியூட்ரியம் அணுவிற்கும் α - துகளிற்கும் இடையேயான டீபிராக்ளி அலைநீளங்களின் விகிதம்
அ) 4
ஆ) 0.2
இ) 2.5
ஈ) 0.4
[விடை: ஈ) 0.4]
23) ஹைட்ரஜன் அணுவின் மூன்றாம் வட்டப்பாதையின் (orbit) ஆற்றல் மதிப்பு - E அதன் முதல் வட்டப்பாதையின் (orbit) ஆற்றல் மதிப்பு
அ) -3E
ஆ) –E / 3
இ) –E / 9
ஈ) -9E
[விடை: ஈ) −9E ]
தீர்வு:

− 13.6 = −9E ⇒ E1 = −9E
24) காலத்தைச் சார்ந்து அமையாத ஷ்ரோடிங்கர் அலைச் சமன்பாடானது

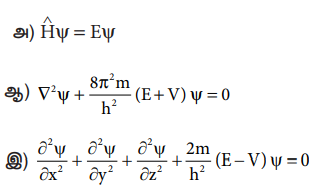
ஈ) இவை அனைத்தும்
[விடை: அ) ĤΨ = EΨ]
25) பின்வருவனவற்றுள், ஹெய்சன் பர்கின் நிச்சயமற்றத் தன்மையினைக் குறிப்பிடாத சமன்பாடு எது?
அ) Δx. Δp ≥ h / 4π
ஆ) Δx . Δv ≥ h / 4πm
இ) ΔE. Δt ≥ h / 4π
ஈ) ΔE. Δx ≥ h / 4π
[விடை: ஈ) ∆E. ∆x ≥ h/4π]