அலைகள் | இயற்பியல் - சரியான விடையைத் தேர்ந்தெடுத்து எழுதுக | 11th Physics : UNIT 11 : Waves
அலைகள் (இயற்பியல்)
சரியான விடையைத் தேர்ந்தெடுத்து எழுதுக
1. மாணவர் ஒருவர் தனது கிட்டாரை 120Hz இசைக்கவையால் மீட்டி, அதேநேரத்தில் 4வது கம்பியையும் மீட்டுகிறான். கூர்ந்து கவனிக்கும் போது, கூட்டு ஒலியின் வீச்சு வினாடிக்கு 3 முறை அலைவுறுகிறது. 4வது கம்பியின் அதிர்வெண் கீழ்க்கண்டவற்றுள் எது?
a) 130
b) 117
c) 110
d) 120
விடை : b) 117
தீர்வு :
n = │ f1 − f2│
3 = 120 − f2
f2 = 117
2. குறுக்கலை ஒன்று A ஊடகத்திலிருந்து B ஊடகத்திற்கு செல்கிறது. A ஊடகத்தில் குறுக்கலையின் திசைவேகம் 500ms-1 அலைநீளம் 5m. B ஊடகத்தில் திசைவேகம் 600ms-1 எனில் Bல் அதிர்வெண், அலைநீளம் முறையே
a) 120 Hz மற்றும் 5m
b) 100Hz மற்றும் 5m
c) 120Hz மற்றும் 6m
d) 100Hz மற்றும் 6m
விடை: d) 100 Hz மற்றும் 6m
தீர்வு :
ஊடகம் A: V = 500 ms-1 λ = 5m
f = v/λ = 500/5 = 100Hz
ஊடகம் B:V = 600ms-1 f =100Hz
λ = V/f = 600/100 = 6m
3. ஒரு குறிப்பிட்ட குழாய்க்கு 1000 Hz விட குறைவான 4 சீரிசை அதிர்வெண்கள் கீழே கொடுக்கப்பட்டுள்ளன. அவை 300 Hz, 600 Hz, 750 Hz மற்றும் 900 Hz. இந்த தொடரில் விடுபட்ட இரு அதிர்வெண்கள் யாவை?
a) 100 Hz, 150 Hz
b) 150 Hz, 450 Hz
c) 450 Hz, 700 Hz
d) 700 Hz, 800 Hz
விடை : b) 150 Hz, 450 Hz
தீர்வு :
அதிர்வெண் வேறுபாடு - 150 Hz (Δf) எனவே 150 Hz, 300 Hz, 450Hz, 600Hz, 700Hz, 950Hz விடுபட்ட அதிர்வெண்கள் : 150 Hz, 450Hz
4. கீழ்க்கண்டவற்றுள் எது சரி?

1, 2, 3 க்கான சரியான ஜோடி
a) B, C மற்றும் A
b) C, A மற்றும் B
c) A, B மற்றும் C
d) B, A மற்றும் C
விடை : a) B, C மற்றும் A
தீர்வு :
உரப்பு α செறிவு
சுருதி α அதிர்வென்
தரம் α அலை வடிவம்
5. கீழ்க்கண்ட அலைகளில் எது அதிக திசைவேகத்தில் செல்லும்?

a) vA > vB > vD > vc
b) vA < vB < vD < vc
c) vA = vB = vD = vc
d) vA > vB = vD > vc
விடை : c) vA = vB = vD = vc
தீர்வு :
கொடுக்கப்பட்டுள்ள ஊடகத்தின் திசைவேகமானது மாறிலி ஆகும். எனவே v = மாறிலி
6. 5000 Hz அதிர்வெண் உடைய ஒலி காற்றில் இயங்கி நீர் பரப்பை தாக்குகிறது. நீர் காற்றில் அலைநீளங்களின் தகவு
a) 4.30
b) 0.23
c) 5.30
d) 1.23
விடை : a) 4.30
fAir = fwater
vA / λA = vW / λW ;
λW / λA = vW / vA = 1493 / 343
λW / λA = 4.35 = 4.3
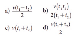
7. இரு இணையான மலைகளுக்கிடையே நிற்கும் ஒருவன் துப்பாக்கியால் சுடுகிறான். முதல் எதிரொலியை t1 S இலும் 2வது எதிரொலியை t2 S இலும் கேட்கிறான். மலைகளுக்கிடையேயான இடைவெளி

விடை : d) [v(t1 + t2 )] / 2
தீர்வு :

d1 = vt1 / 2 ;
d2 = vt2 / 2
d = d1 + d2
d = [vt1 / 2] + [vt2 / 2] ;
d = v [(t1 / 2) + (t2 / 2)]
d = [v(t1 + t2 )] / 2
8. ஒரு முனை மூடிய காற்றுத்தம்பம் ஒன்று 83Hz அதிர்வெண் உடைய அதிர்வுறும் பொருளுடன் ஒத்ததிர்வு அடைகிறது எனில் காற்றுத் தம்பத்தின் நீளம்
a) 1.5m
b) 0.5m
c) 1.0 m
d) 2.0m
விடை : c) 1.0 m
தீர்வு :
v = 330ms-1 f = 83 Hz
n = ஒற்றைப்படை எண்

f1 = v / 4L ;
L = v / 4f1 = 332 / (4 × 83)
L = 332 / 332 = 1.0 m
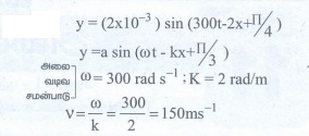
9. x திசையில் இயங்கிக் கொண்டுள்ள அலை ஒன்றின் இடப்பெயர்ச்சி y இதற்கான சமன்பாடு y = (2 × 10-3) sin (300t - 2x + π/4) இங்கு x, y மீட்டரிலும் t வினாடியிலும் அளக்கப்பட்டால் அலையின் வேகம்
a) 150ms-1
b) 300ms-1
c) 450ms-1
d) 600ms-1
விடை : a) 150ms-1
தீர்வு :

10. இரண்டு சீரான கம்பிகள் சேர்ந்தாற்போல் அவற்றின் அடிப்படை அதிர்வெண்களில் அதிர்வுறுகின்றன. அவற்றின் இழுவிசைகள், அடர்த்திகள், நீளங்கள், விட்டங்களின் தகவுகள் முறையே 8:1, 1:2, x:y மற்றும் 4:1 அதிக சுருதியின் அதிர்வெண் 360HE ஒரு வினாடியில் ஏற்படும் விம்மல்கள் 10 எனில் x:y ன் மதிப்பு
a) 36:35
b) 35:36
c) 1:1
d) 1:2
விடை : a) 36:35
தீர்வு :
f ∝1 / l ;
f1∝1 / l1 ;
f2∝1 / l2
f1 / f2 = l2 / l1 = y / x
n = | f1 − f2 |
⇒ 10 = 360 − f2
f2 =350 ;
f1 =360
y / x = f1 / f2 = 360/350 = 36 /35
x / y = 35 /36
11. கீழ்க்கண்டவற்றுள் எது அலையைக் குறிக்கிறது?
(a) (x-vt3)
(b) x(x+vt)
(c) 1/(x+vt)
(d) sin(x+vt)
விடை : d) sin(x+vt)
12. ஊஞ்சல் ஒன்றில் உள்ள மனிதன் ஊஞ்சல் செங்குத்துக் கோட்டிலிருந்து 60 வரும்போது ஒரு விசிலை எழுப்புகிறான். அதன் அதிர்வெண் 2.0 k Hz. ஊஞ்சலின் நிலையான பிடிமானத்திலிருந்து விசில் 2mல் உள்ளது. ஊஞ்சலின் முன்னே வைக்கப்பட்ட ஒரு ஒலி உணர் கருவி இந்த ஒலியை உணர்கிறது. ஒலி உணர் கருவி உணரும் ஒலியின் பெரும அதிர்வெண்
a) 2.027 kHz
b) 1.974 kHz
c) 9.74 kHz
d) 1.011 kHz
விடை : a) 2.027 kHz
13. நேர்க்குறி X திசையில் செல்லும் அலையின் வீச்சு t = 0s ல் y = 1/1+x2 என்க. t = 2s அதன் வீச்சு y = 1/1+(x-2)2 என அமைகிறது. அலையின் வடிவம் மாறவில்லையெனில், அலையின் திசைவேகம்
a) 0.5 ms-1
b) 1.0 ms-1
c) 1.5 ms-1
d) 2.0 ms-1
விடை : b) 1.0 ms-1
தீர்வு :
v = Δx / Δt
From Q.S. Δx = x1 − x2 = x − x + 2
Δx = 2 m ;
Δt = 2 s
v = Δx / Δt = 1.0 ms-1
14. சீரான கயிறு ஒன்று m நிறையுடன் நிலையான அமைப்பிலிருந்து செங்குத்தாகத் தொங்குகிறது. கீழ்முனையில் ஒரு குறுக்கலை துடிப்பு ஏற்படுத்தப்படுகிறது. கீழ் முனையிலிருந்து இந்த துடிப்பு மேலேழும் வேக மாறுபாடு (v) கீழிருந்து உயரம் (h) யை பொருத்தது காட்டும் வரைபடம்

விடை : d)
15. ஆர்கன் குழாய்கள் A, B யில் A ஒரு முனையில் மூடப்பட்டது. அது முதல் சீரிசையில் அதிர்வுறச் செய்யப்படுகிறது. குழாய் B இருபுறமும் திறந்துள்ளது. இது 3வது சீரிசையில் அதிர்வுற்று A உடன் ஒரு இசைக்கவை மூலம் ஒத்திசைவு அடைகிறது. A மற்றும் B குழாயின் நீளங்களின் தகவு
(a) 8/3
(b) 3/8
(c) 1/6
(d) 1/3
விடை : c) 1 / 6
தீர்வு :
v / 4LA = 3v / 2LB ;
LA / LB = 3v / 12v = 1 / 6 ;
LA / LB = 1 / 6
விடைகள்:
1) b 2) d 3) b 4) a
5) c 6) a 7) d 8) c
9) a 10) a 11) d 12) a
13) b 14) d 15) c