அலைகள் | இயற்பியல் - நெடுவினாக்கள் மற்றும் பதில்கள் | 11th Physics : UNIT 11 : Waves
அலைகள் (இயற்பியல்)
நெடுவினாக்கள்
1. நீரின் மேற்பரப்பில் சுருள் வடிவில் மேடு, பள்ளங்கள் ஏற்படுவது ஏன்?
• நிலையாக உள்ள ஒரு நீர்ப்பரப்பில் ஒரு கல்லை எரிந்தால் நீரின் மேற்பரப்பில் கல் மோதிய இடத்தில் ஒரு மாறுபாடு உருவாகும். இவை மேடு, பள்ளங்களாக காட்சியளிக்கும்.
• இந்த தொடர்பானது தொடர்ந்து அதிகரிக்கும் ஆரங்கள் கொண்டுள்ள ஒரு மைய வட்டங்களாக வெளிப்புறமாக விரிவடைந்து மேற்பரப்பின் எல்லையில் மோதும்.
• கல்லின் இயக்க ஆற்றலின் ஒரு பகுதி மேற்பரப்பில் உள்ள நீர் மூலக்கூறுகளுக்கு மாற்றப்படுகிறது.
• உண்மையில் நீரானது இடர்பாட்டுடன் வெளியே நகராது. இதனை நீரின் மேற்பரப்பில் ஒரு காகிதத் துண்டினை வைப்பதன் மூலம் காணலாம்.
• இடர்பாடானது நீரின் மேற்பரப்பில் செல்லும் போது அந்த துண்டு மேலும் கீழுமாக நகரும்.
• நீரின் மூலக்கூறுகள் அவற்றின் சமநிலையைப் பொருத்து மேலும் கீழுமாக அதிர்வியக்கத்தை ஏற்படுத்தும்.

2. முன்னேறு அலைக்கும், நிலை அலைக்கும் இடையேயான வேறுபாடுகளை விவரி.

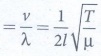
3. கம்பி ஒன்றில் ஏற்படும் முன்னேறு அலைக்கான திசைவேகத்திற்கான சமன்பாடு v = √[T/μ] என நிறுவுக.
• கம்பி ஒன்றில் இயங்கும் குறுக்கலையின் திசைவேகமானது, கம்பியின் இடது முனையை மேல்நோக்கி சொடுக்கினால் துடிப்பானது வலது முனை நோக்கி v என்ற திசைவேகத்தில் நகரும்.
• பொருள் ஓய்வு நிலையிலுள்ள குறிப்பாயத்திலுள்ள பார்வையாளரைப் பொருத்து, துடிப்பானது v திசைவேகத்தில் நகர்கிறது. பார்வையாளரும் அதே துடிப்பின் திசையில் v திசைவேகத்தில் இயங்கினால் துடிப்பானது ஓய்விலிருந்து கம்பியானது துடிப்புடன் திசைவேகத்தில் நகர்வதாக தெரியும்.

• A, B - கம்பியின் இரு புள்ளிகள்
dl, dm - கம்பியின் சிறுபகுதி நீளம் மற்றும் நிறை எனில் நீள் நிறை அடர்த்தி (μ) μ = dm /dI ...... (1)
dm = μ dI ............. (2)
• அடிப்படைப்பகுதி AB ஆனது வட்டத்தின் ஒரு பகுதியாய், O - வை மையமாகக் கொண்டு R ஆரத்துடன் வளைந்து கோணம் θ வை வளைகோடு மையம் O - வில் ஏற்படுத்துகிறது. வளைகோடு AB, நீளம் dl, ஆரம் R எனில் θ = dI/R
• கம்பியின் இழுவிசை தரும் மையநோக்கு முடுக்கம்,
acp = v2 / R ………..(3)
சமன்பாடு (3) உடன் 'm' சேர்க்க மைய நோக்கு விசை கிடைக்கும்.
Fcp = (dm) v2 / R ………..(4)
சமன்பாடு (2) ஐ சமன்பாடு (4) இல் பிரதியிட
(dm)v2 / R = μv2dl / R ……. (5)
வளைகோடு AB-ன் நீளம் மிகச்சிறியது. இழுவிசை T - யில் ஏற்படும் மாறுபாடு புறக்கணிக்கத்தக்கது.
• இழுவிசை T - ஐ கிடைமட்டக் கூறு Tcos (θ/2) மற்றும் செங்குத்துக் கூறு Tsin (θ/2) AB- யில் கிடைமட்டக் கூறுகள் சம எண்மதிப்பில் எதிர்திசையில் செயல்படுவதால் ஒன்றையொன்று சமன் செய்யும்.
• நீளம் AB மிகச்சிறியது. செங்குத்துக் கூறுகள் AB - யில் செங்குத்து திசையில் வளைவின் மையம் நோக்கி இருப்பதால் கூட்ட வேண்டும். தொகுபயன் ஆரவிசை Fr,
Fr = 2T sin (θ / 2) ……. (6)
• கம்பியின் நீளத்துடன் ஒப்பிட அலையின் வீச்சு மிகச்சிறியது. சிறிய கோணத்தின் சைன் மதிப்பு தோராயமாக sin (θ/2) ≈ (θ/2)
• சமன்பாடு (6) ஐ மாற்றினால் Fr = 2T × (θ/ 2) = T θ ……. (7)
θ = dI/R என சமன்பாடு (7) இல் பிரதியிட Fr = T (dl/R) …………. (8)
• சமநிலை விசையின் ஆரத்திசைக் கூறு மைய நோக்கு விசைக்கு சமமாகும்.

• அலையின் திசைவேகமானது,
i) இழுவிசையின் இருமடி மூலத்திற்கு நேர்த்தகவிலும்
ii) நீள் நிறை அடர்த்தியின் இருமடி மூலத்திற்கு எதிர்த்தகவிலும்
iii) அலை வடிவத்தைச் சாராமலும் அமையும்.
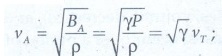
4. காற்றில் ஒலியின் திசைவேகத்திற்கான நியூட்டன் சமன்பாட்டை விளக்குக. அதில் லாப்லஸின் திருத்தத்தை விவரி.
I. நியூட்டனின் சமன்பாடு:
• காற்றில் ஒலி பரவும் போது ஏற்படும் இறுக்கங்களும் தளர்ச்சிகளும் மிக மெதுவாக நடைபெறும் நிகழ்வை வெப்பநிலை மாறா நிகழ்வாக நியூட்டன் கருதினார்.
• இறுக்கத்தினால் (அழுத்தம் அதிகரிக்கிறது, பருமன் குறைகிறது) ஏற்படும் வெப்பம், நெகிழ்வினால் (அழுத்தம் குறையும், பருமன் அதிகரிக்கும்) ஏற்படும் வெப்ப இழப்பு மெதுவாக நிகழ்வதால் வெப்பநிலை மாறாமல் இருப்பதாக கருதினார். காற்று மூலக்கூறுகள் நல்லியல்பு வாயுவானால், அழுத்த பரும மாறுபாடுகள் பாயில் விதிக்கு உட்படுகின்றன.
PV = மாறிலி ………… (1)
வகைப்படுத்த PdV + VdP = 0
P = − V (dP/dV) = BT ………… (2)
(BT காற்றின் வெப்பநிலை மாறா பருமக் குணகம்)
• சமன்பாடு (2) ஐ (1) ல் பிரதியிட காற்றில் ஒலியின் திசைவேகம்
vT = √(Br/ρ) = √(P/ρ) ………… (3)
(P- காற்றின் அழுத்தம், NTP - ல் P-ன் மதிப்பு 76 Cm பாதரச அழுத்தம்)
P = (0.76 × 13.6 × 103 × 9.8) Nm-2
ρ = 1.293 Kgm-3
vT =
= 279.80 ms-1 = 280ms-1
• ஆய்வின் மூலம் 0°C - ல் காற்றில் ஒலியின் திசைவேகம் 332 ms-1 இது கணக்கீடு மதிப்பை விட 16% அதிகம்.
சதவீதப் பிழை (332 - 280) / 332 × 100% = 15.6%
(குறைவான பிழை அல்ல)
II. லாப்லஸ் திருத்தம் :
• ஒலி ஊடகத்தில் பரவும்போது துகள்கள் மிக விரைவாக அலைவுறுவதால் இறுக்கங்களும், தளர்ச்சிகளும் மிக வேகமாக ஏற்படும்.
• இக்கருத்தைக் கொண்டு லாப்லஸ் என்பவர் நியூட்டனின் சமன்பாட்டினை திருத்தம் செய்தார்.
• இறுக்கத்தினால் ஊடகத்திற்கு கொடுக்கப்படும் அதிக வெப்பமும், தளர்ச்சி மூலம் ஏற்படும் குளிர்ச்சி விளைவும் சுற்றுப்புறத்துடன் சமன் செய்யப்படாது. காரணம் காற்று ஓர் அரிதிற்கடத்தி.
• வெப்ப பரிமாற்றமில்லா விளைவு என்பதால் "பாய்சன் விதி” பின்பற்றப்படுகிறது.
PVγ = மாறிலி ............. (1)
[γ = CP/Cv ; CP, CV - அழுத்தம் மற்றும் பருமன் மாறா மோலார் தன் வெப்ப ஏற்புத்திறன்கள்]
சமன்பாடு (1) ஐ வகைப்படுத்த,
Vγ dP + P (γVγ −1 dV) = 0
γP = −V (dP / dV) = BA............. (2)
(BA - காற்றின் வெப்பமாற்றீடற்ற விளைவின் பருமக் குணகம்)
• சமன்பாடு (2) ஐ v = √(BA/ρ) என்ற சமன்பாட்டில் பிரதியிட,
............ (3)
• காற்றில் நைட்ரஜன், ஆக்ஸிஜன், ஹைட்ரஜன் இருப்பதால் γ = 1.47
காற்றில் ஒலியின் திசைவேகம்

இது ஆய்வு முடிவிற்கு மிக அருகில் உள்ளது.
5. சமதளம் மற்றும் வளைவான பரப்புகளில் ஒலியின் எதிரொலிப்பு பற்றி குறிப்பு வரைக.
I. சமதளப் பரப்புகளில் ஒலியின் எதிரொலிப்பு :
• ஒலி அலைகள் ஒளி அலைகளைப் போலவே சமதள சுவர் மீது மோதும் போது அதிலிருந்து மீண்டெழுகின்றன. ஒலிப்பான் என்ற சுவற்றிற்கு சாய்வாக ஒரு குறிப்பிட்ட கோணத்தில் வைக்கப்பட்டால் மூலத்திலிருந்து வரும் ஒலியை கோள அலை முகப்பாக கருதலாம்.
• சுவரால் எதிரொலிக்கப்படும் அலை முகப்பும் கோளக அலை முகப்பாகவே அமையும். அதனுடைய வளைவு மையத்தை மூலத்தின் பிம்பமாக கருதலாம். இது தளத்தின் பின்புறம் உள்ளது.

II. வளைவு பரப்புகளில் ஒலியின் எதிரொலிப்பு:
• ஒலியின் பண்பு எதிரொலிக்கப்பட்ட பரப்பையும் பொருத்தது. குழி, குவி, சமதள பரப்புகளால் எதிரொலிக்கப்பட்ட ஒலி அலைகளின் பண்புகள் வெவ்வேறாக உள்ளன.
• குவிப் பரப்பால் எதிரொலிக்கப்பட்ட ஒலி விரிந்து செல்வதால், அதன் வலிமை குறைந்து விடுகிறது. குழி பரப்பால் எதிரொலிக்கப்பட்ட அலை ஒரு புள்ளியில் குவிக்கப்படுவதால் எளிதாக பெருக்கமடையும்.
• பரவளைய எதிரொலிப்பான்கள் ஒலி அலைகளை எதிரொலிப்பான் குறிப்பிட்ட புள்ளியில் குவிப்பதற்காக அலை முகப்பு வடிவமைக்கப்படுகின்றன. இவை அதிக திசை பண்புடைய நுண்ணிய ஒலிப்பான்களை வடிவமைக்கப் பயன்படுகின்றன.
• எந்தவொரு வழுவழுப்பான அல்லது ஒலி மூலம் சொரசொரப்பான பரப்பும் ஒலியை உட்கவரும். (எ.கா) பெரிய அறைகள், கலையரங்கங்கள் மற்றும் திரையரங்குகள் இவற்றில் ஏற்படுத்தப்படும் , ஒலி அதன் சுவர்கள், மேற்கூரைகள், தரை மற்றும் இருக்கைகளால் குழி எதிரொலிப்பான் பெரிதும் உட்கவரப்படுகின்றன.
• இழப்பை தடுக்க வளைவு ஒலி பரப்புகள் ஒலிப்பான் முன்பாக அமைக்கப்படுகின்றன. ஒலிப்பானிலிருந்து வரும் ஒலியை கேட்போர் அலை முகப்பு கூட்டம் நோக்கி எதிரொலிக்கப்படுகிறது.
• குழி பரப்பு முறை எல்லா திசைகளிலும் ஒலி பரவுவதைக் குறைத்து அரங்கம் முழுவதும் சீராக ஒலி பரவுவதை மேம்படுத்துகிறது. அரங்கத்தில் ஒலி மூலம் எந்த பகுதியில் அமர்ந்திருப்பவருக்கும் ஒலியானது எந்தவித தடையுயின்றி சென்றடைகிறது.

6. மேற்பொருந்துதல் தத்துவத்தை விளக்குக.
• ஒரு முனையில் கட்டப்பட்ட கம்பியின் ஒரு முனையை சட்டென்று மேல் இழுத்துவிட்டால் அலைத்துடிப்பு ஏற்படும். அது கம்பியில் முன்னேறி செல்கிறது.
• மாறாக கம்பியின் இருமுனையையும் இருவர் பிடித்து இழுத்துவிட்டால் இரண்டு அலைத்துடிப்புகள் ஒன்றை நோக்கி ஒன்று நகர்ந்து ஒரு புள்ளியில் சந்தித்து அப்புள்ளியை கடந்து அதே வடிவில் செல்லும்.
• குறுக்கிடும் புள்ளியில் மட்டும் பண்பு முழுவதும் மாறுபட்டு, அதன் துடிப்புகள் ஒரே வடிவம் (அல்லது) எதிர்வடிவம் பெற்றுள்ளனவா என்பதைப் பொறுத்து அமையும்.

• ஒரே வடிவம் கொண்ட துடிப்புகள் குறுக்கிடும் போது, தொகுபயன் இடப்பெயர்ச்சி = தனித்தனி இடப்பெயர்ச்சிகளின் கூடுதல்.
• வீச்சு, தனிப்பட்ட இருத்துடிப்புகளின் வீச்சுகளை விட அதிகம். அதே நேரத்தில் இரு துடிப்புகளின் வீச்சுகள் சமமாக இருந்து, ஆனால் வடிவங்கள் 180° எதிர் கட்டத்தில் குறுக்கிட்டால், வீச்சுகள் ஒன்றையொன்று அழித்துக் கொண்டும், அப்புள்ளியைக் கடந்த பிறகு அதே வடிவத்தை மீண்டும் பெற்று எதிரெதிராக முன்னேறுகின்றன. அலைகள் மட்டுமே இது போன்ற பண்பை பெற்றுள்ளன. இது மேற்பொருந்துதல் தத்துவம் ஆகும்.
• இரண்டு அல்லது அதற்கு மேற்பட்ட அலைகள் ஒரே நேரத்தில் ஓர் ஊடகத்தில் குறுக்கிட்டால், தொகுபயன் இடப்பெயர்ச்சி = தனிப்பட்ட அலைகளின் இடப்பெயர்ச்சிகளின் வெக்டர் கூடுதல் அலைகளின் இடப்பெயர்ச்சி y1 = A1 sin (Kx - ωt) y2 = A2 cos (Kx - ωt)
இங்கு y = y1 + y2 இது அலைச்சமன்பாட்டிற்கு பொருந்துகிறது.
• y1, y2 - வை ஒரு மாறிலி மூலம் பெருக்கினால் அவற்றின் வீச்சு அந்த மாறிலி மடங்கு அதிகரிக்கும். C1, C2 மாறிலிகளைக் கொண்டு முறையே இடப்பெயர்ச்சி y1, y2 யை பெருக்கினால் தொகுபயன் இடப்பெயர்ச்சி y = C1y1 + C2y2 (எல்லா அலைகளுக்கும் பொது (எ.கா) n அலைகளை கருதினால் (ஒரு பரிமாணத்தை விட அதிக பரிமாணத்தை கருத) இடப்பெயர்ச்சியை வெக்டர் வடிவில் எழுதவும் தொகு பயன் இடப்பெயர்ச்சி
• மேற்பொருந்துதல் தத்துவத்திலிருந்து, 
• வெளி (அல்லது) வெளி சார்ந்த குறுக்கீட்டு விளைவு “எளிமையான குறுக்கீட்டு விளைவு” ஆகும்.
• b) நேரம் (அல்லது) நேரஞ்சார்ந்த குறுக்கீட்டு விளைவு விம்மல்கள்' ஆகும்.
• c) நிலை அலைகள் தத்துவம் :
• மேற்பொருந்துதல் தத்துவத்திற்கு ஒத்துச் செல்லும் அலைகள் அதாவது வீச்சு , அலைநீளத்தை விட மிகக் குறைவாக உள்ள அலைகளானது நேர் அலைகள் எனப்படும். அலையின் வீச்சு அதிகமாக உள்ள அலைகள் நேர் மேற்பொருந்துதல் தத்துவத்தை மீறும். (எ.கா) லேசர்.
7. அலைகளில் குறுக்கீட்டு விளைவு ஏற்படுவதை விளக்குக.
• இரு அலைகள் மேற்பொருந்துவதால் அதன் தொகுப்பு அலையின் வீச்சில் ஏற்படும் அதிகரிப்பு குறைவு (அல்லது) வீச்சு மாறாமல் இருக்கும் விளைவு குறுக்கீட்டு விளைவு எனப்படும்.
• ஒரே அதிர்வெண்ணும், நிலையான கட்ட வேறுபாடு ϕ மற்றும் ஒரே அலை வடிவம் கொண்ட இரு சீரிசை அலையின் வீச்சுகள் A1, A2 எனில்,
y1 = A1 sin(kx − ωt) ………. (1)
y2 = A2 sin(kx − ωt + φ) ………… (2)
• ஒரே திசையில், ஒரே நேரத்தில் இயங்கினால் அவைகளின் குறுக்கீட்டு விளைவானது
y = y1 + y2 ……… (3)
• சமன்பாடு (1), (2) ஐ சமன்பாடு (3) இல் பிரதியிட
y = A1 sin(kx − ωt) + A2 sin(kx − ωt + φ)
திரிகோண விதிப்படி
sin (α + β) = (sinα cosβ + cos α sinβ)
எனவே, y = A1 sin(kx − ωt)+A2 [sin(kx − ωt) cosφ + cos(kx − ωt) sinφ]
y = sin(kx − ωt)( A1 + A2 cosφ) + A2 sinφ cos(kx − ωt) ……… (4)
A cosθ = ( A1 + A2 cosφ) ……….. (5)
A sinθ = A2 sinφ ………….. (6)
சமன்பாடு (4) லிருந்து,
y = A sin(kx − ωt) cosθ + A cos(kx − ωt) sinθசமன்பாடு
y = A (sin (kx − ωt) cosθ + sinθ cos(kx − ωt))
y = A sin(kx – ωt + θ) …………… (7)
சமன்பாடு (5) மற்றும் (6) ஐ கூட்ட
A2 = A12 + A22 + 2A1A2 cosφ ………… (8)
• செறிவு என்பது வீச்சின் இருமடி என்பதால் (I = A2) தொகுபயன் செறிவு அப்புள்ளியில் கட்ட வேறுபாட்டை பொருத்து அமையும்.
I = I1 + I2 + 2√(I1 I2)cosφ ……….. (9)
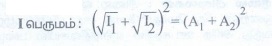
a) ஆக்க குறுக்கீட்டு விளைவு :
• ஒரு அலையின் முகடு, மற்றொரு அலையின் முகடுடன் மேற்பொருந்தும் போது, அவற்றின் வீச்சுகள் கூட்டப்பட்டு ஆக்கக் குறுக்கீட்டு விளைவு ஏற்பட்டு, அதன் வீச்சு தனிப்பட்ட அலைகளின் வீச்சுகளை விட அதிகமாக இருக்கும்.
• ஆக்க குறுக்கீட்டு விளைவு ஒரு புள்ளியில் ஏற்பட்டால் அப்புள்ளியில் செறிவு பெருமமாக இருக்கும்.
• cosφ = + 1 => φ = 0, 2π, 4π, ... = 2n π, (n = 0,1,2,...)
• இந்த கட்ட வேறுபாட்டில் இரு அலைகள் மேற்பொருந்தினால் ஆக்க குறுக்கீட்டு விளைவு ஏற்படும்.

தொகுபயன் வீச்சு A = (A1 + A2)
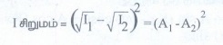
b) அழிவு குறுக்கீட்டு விளைவு:
• ஒரு அலையின் அகடு மற்றொரு அலையின் முகடுடன் மேற்பொருந்தினால் அங்கு அழிவு குறுக்கீட்டு விளைவு ஏற்படும்.
• அழிவு குறுக்கீட்டு விளைவு ஒரு புள்ளியில் ஏற்பட்டால் அப்புள்ளியில் செறிவு சிறுமமாக இருக்கும்.
• cosφ = − 1 => φ = π, 3 π, 5 π,... = 2(n − 1) π, (n = 0,1,2,....)
• இந்த கட்ட வேறுபாட்டில் இரு அலைகள் மேற்பொருந்தினால் அழிவு குறுக்கீட்டு விளைவு ஏற்படும்.
• 
தொகுபயன் வீச்சு A = (A1 - A2)
8. விம்மல்கள் ஏற்படுவதை விளக்குக.
விம்மல்கள் தோன்றும் விதம்:
• சற்றே வேறுபட்ட அதிர்வெண் கொண்ட இரண்டு அல்லது அதற்கு மேற்பட்ட அலைகள் மேற் பொருந்துவதால், ஒரு பள்ளியில் நேரத்தைப் பொருத்து வீச்சு மாறுபடுகின்ற ஒலி கேட்கும் இந்த விளைவே விம்மல்கள் எனப்படும்.
• ஒரு வினாடியில் ஏற்படும் வீச்சு பெருமங்களின் எண்ணிக்கையே விம்மல் அதிர்வெண் எனப்படும்.
• இரண்டு ஒலி மூலங்கள் மட்டுமே இருந்தால், அவற்றின் அதிர்வெண் வேறுபாடே விம்மல் அதிர்வெண் எனப்படும்.
• ஒரு வினாடியில் விம்மல்களின் எண்ணிக்கை n = |f1 - f2|
9. நிலை அலைகள் என்றால் என்ன? நிலை அலைகள் : நிலை அலைகள் ஏற்படுவதை விளக்குக. அதன் பண்புகளை எழுதுக.
• நிலை அலைகள் : அலை ஒன்று கடினமான ஒன்றின் மீது மோதும்போது அது மீண்டெழுந்து வந்து அதே ஊடகத்தில் எதிர்த்திசையில் பழைய அலையுடன் மேற்பொருந்துவதால் கிடைக்கும் அலை வடிவம் ஆகும்.
• ஒரே வீச்சும், திசைவேகமும் கொண்ட இரு சீரிசை முன்னேறு அலைகள் எதிரெதிர் திசையில் இயங்கும் போது,
• a) முதல் அலையின் இடப்பெயர்ச்சி
y1 = A sin(kx − ωt) (வலது பக்கம் நகரும் அலை) …… (1)
• a) இரண்டாவது அலையின் இடப்பெயர்ச்சி
y2 = A sin(kx + ωt) () …….. (2) (இடது பக்கம் நகரும் அலை)
• மேற்பொருந்துதல் தத்துவத்தின் படி அலைகள் குறுக்கீடு அடைந்து தொகுபயன் இடப்பெயர்ச்சி
y = y1+ y2 ……(3)
y = A sin(kx - ωt) + A sin(kx + ωt) ……….. (4)
• திரிகோணமிதி விதிப்படி
y (x, t) = 2A cos(ωt) sin(kx) ………… (5)
இந்த நிலை அலையானது முன்னோக்கியோ, பின்னோக்கியோ நகராது. ஆனால் முன்னேறு அலை (அல்லது) இயங்கு அலையானது முன், பின் நகரும்.
y (x, t) = A' cos (ωt)
[இங்கு A' = 2A sin (Kx)]
I) sin (Kx) பெருமமாக உள்ள நிலையில், A' பெரும் மதிப்பில் இருக்கும்.
sin(kx) =1 => kx = π/2, 3π/2, 5π/2, ….. m π
(m - அரை முழு எண் (அல்லது) அரை எண் மதிப்புகள்)
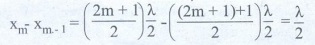
• வீச்சின் பெரும் மதிப்பானது எதிர்க்கணு ஆகும். m - வது எதிர்கணுவின் நிலை

அடுத்தடுத்த எதிர்க்கணுக்களுக்கிடையேயான தூரமானது,

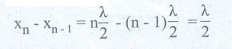
II) sin(kx) =0 => kx = 0, π, 2π, 3π, ….. = n π
(n - ஒரு முழு எண் (அல்லது) முழு எண் மதிப்புகள்)
• எந்தப் புள்ளிகளில் அதிர்வு இல்லையோ அப்புள்ளி கணு எனப்படும். n - வது கணுவின் நிலை

• அடுத்தடுத்த கணுக்களுக்கிடையேயான தூரமானது,

பண்புகள் :
• இரு திடமான எல்லைகளுக்கிடையே கட்டுப்படுத்தப்பட்ட அலையானது ஊடகத்தில் முன், பின் நகராமல் நிலையாக இருக்கும். இது நிலை அலை ஆகும்.
• பெருமம் வீச்சு புள்ளி எதிர் கணு; சுழி வீச்சு - கணு.
• அடுத்தடுத்த இரு கணு (அல்லது) எதிர்கணுக்களுக்கு இடையே உள்ள தொலைவு λ / 2
• ஒரு கணு மற்றும் அடுத்த எதிர்க்கணுவுக்கு இடையே உள்ள தொலைவு λ / 4.
• நிலை அலைகளின் வழியே கடத்தப்படும் ஆற்றல் சுழியாகும்.
10. இழுத்துக்கட்டப்பட்ட கம்பியில் ஏற்படும் குறுக்கலைக்கான விதிகளை விளக்குக.
I. நீளத்திற்கான விதி: கம்பியின் இழுவிசை (T) மற்றும் ஓரலகு நீளத்திற்கான (l) நிறை (μ) எனில் அதிர்வெண் அதிர்வுறும் கம்பியின் நீளத்திற்கு எதிர்த்தகவில் அமையும்.
f ∝ 1/l => f = C/l => l × f = C (C - மாறிலி)
II. இழுவிசைக்கான விதி : அதிர்வுறும் கம்பியின் நீளம் (l) மற்றும் ஓரலகு நீளத்திற்கான நிறை (μ) எனில் அதிர்வெண், இழுவிசை (T) இன் இருமடி மூலத்திற்கு நேர்தகவில் அமையும்.
f ∝ √T => f= A√T => (A - மாறிலி)
III. நிறைக்கான விதி: அதிர்வுறும் கம்பியின் நீளம் (l) இழுவிசை (T) எனில் அதிர்வெண், ஓரலகு நீளத்தின் நிறை (μ) இன் இருமடி மூலத்திற்கு எதிர்தகவில் அமையும்.
f ∝ 1/√μ ⇒ f = B/√μ => (B - மாறிலி)
11. அடிப்படை அதிர்வெண், சீரிசை மற்றும் மேற்சுரம் ஆகியவற்றை விளக்குக.
• திடமான எல்லைகளை x = 0 மற்றும் x = L ஆக கருதுக. கம்பியை மையத்தில் இருந்து ஆட்டி (கிதார் கம்பி) நிலை அலைகள் ஏற்படுத்துக. இவை குறிப்பிட்ட அலைநீளத்தை பெற்றிருக்கிறது.
• எல்லைகளில் வீச்சு குறைந்து மறைவதால், இடப்பெயர்ச்சிகள்
y(x = 0, t) = 0 மற்றும் y(x = L, t) = 0 ………… (1) என்ற நிபந்தனைக்கு உட்பட வேண்டும்.
• ஒவ்வொரு கணுவும் λn/2 இடைத்தொலைவில் அமைவதால் n (λn/2) = L. (n ஒரு முழு எண்), L என்பது எல்லைகளின் இடைத் தொலைவு, λn என்பது எல்லைக்குட்பட்ட நிபந்தனைகளை பூர்த்தி செய்யும் குறிப்பிட்ட அலை நீளமாகும்.
λn = (2L/n) ……….(2)
• குறிப்பிட்ட எல்லைக்கு, குறிப்பிட்ட அலைநீளம் மட்டுமே ஏற்படும்.

இதேபோல் மற்ற n மதிப்புகளுக்கும் அமையும்.
• ஒவ்வொரு நிலை அதிர்வுக்குமான அதிர்வெண் இயல்நிலை அதிர்வெண் எனப்படும்.
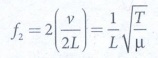
=> fn = v / λn = n(v / 2L) ……….(3)
இந்த இயல் எண் அதிர்வெண்ணின் மிகக் குறைந்த மதிப்பானது ‘அடிப்படை அதிர்வெண்' எனப்படும்.
=> f1 = v / λ1 = (v / 2L) ……….(4)
இரண்டாவது இயல் எண்ணின் அதிர்வெண் முதல் 'மேற்சுரம்' எனப்படும்.
=> 
மூன்றாவது இயல் அதிர்வெண் 2-வது 'மேற்சுரம்' எனப்படும்.
=>
மேலும் இதுபோன்று அமையும்.
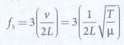
• n - வது இயல் அதிர்வெண் fn = nf1 ………. (5)
• இயல் அதிர்வெண்கள் அடிப்படை அதிர்வெண்ணின் முழு எண் மடங்குகளாக அமையும்போது, அந்த அதிர்வெண்கள் ‘சீரிசைகள்' எனப்படும்.
• முதல் சீரிசை என்பது f1 = f1 (அடிப்படை அதிர்வெண் முதல் சீரிசை எனப்படும்)
2-வது சீரிசை என்பது f2 = 2f1
3-வது சீரிசை என்பது f3 = 3f1 மற்றும் பிற.
12. சுரமானி என்றால் என்ன? அதன் அமைப்பு மற்றும் வேலை செய்யும் விதத்தை விவரி. சுராமானியைப் பயன்படுத்தி இசைக்கவையின் அதிர்வெண்ணை எவ்வாறு அளப்பாய்?
• சுரமானி என்பது ஒலி தொடர்பான வற்றை அளக்கப்பயன்ப டும் கருவி கம்பிகளில் நிறை ஏற்படும் நிலையான குறுக்கலைகளின் அதிர்வெண் கம்பியின் இழுவிசை, அதிர்வு நீளம், ஓரலகு கம்பியின் நிறை ஆகியவற்றை அளக்க பயன்படும் கருவியாகும்.
• (a) இசைக்கவை (அல்லது) மாறுதிசை மின்னோட்டத்தின் அதிர்வெண் (b) கம்பியின் இழுவிசை (c) தொங்கவிடப்பட்ட பொருளின் நிறை போன்ற அளவுகளை அளக்கலாம்.
• அமைப்பு: சுரமானி என்பது
• ஒரு மீட்டர் நீளமுள்ள ஒரு மரப்பெட்டியின் மீது சீரான உலோகக் கம்பி பொருத்தப்பட்டிருக்கும்.

• கம்பியின் ஒரு முனை ஒரு கொக்கியுடனும், மறு முனை ஓர் உருளை கப்பி வழியே நிறைத்தாங்கியுடனும் இணைக்கப்பட்டுள்ளது.
• கம்பியின் இழுவிசையை அதிகரிக்க மறுமுனையில் நிறைகள் சேர்க்கப்படுகிறது.
• இரண்டு நகர்த்தக் கூடிய கூர் முனைகள் கம்பியை கீழே தொட்டவாறு சுரமானியின் பலகை மீது வைக்கப்பட்டுள்ளன. அவற்றிற்கிடையேயானத் தொலைவை மாற்றி அதிர்வுறும் கம்பியின் நீளத்தை மாற்றலாம்.
• செயல்பாடு :
• நிலையான குறுக்கலைகள் கம்பியில் ஏற்படுத்தப்படுகிறது.
• கூர்முனை P, Q வில் கணுக்களும், அவற்றிற்கிடையே எதிர். கணுக்களும் உருவாகின்றன.
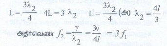
• அதிர்வுறும் கம்பியின் நீளம் l என்க. .
l = λ / 2 => λ = 2 l
• அதிர்வுறும் கம்பியின் அதிர்வெண் f என்க. T கம்பியின் இழுவிசை. Μ என்பது ஓரலகு கம்பியின் நிறை எனில்,
f =
ஹெர்ட்ஸ் ..............(1)
• என்பது கம்பிப் பொருளின் அடர்த்தி, d கம்பியின் விட்டம் எனில்,
μ = பரப்பு × அடர்த்தி = πr2ρ = πρd2 / 4
அதிர்வெண் f = v/ λ
..............(2)
13. ஒலியின் செறிவு, உரப்பு என்றால் என்ன? அவற்றைப் பற்றி விளக்குக.
1. ஒலியின் செறிவு
• ஒலியின் செறிவு என்பது "ஒலி முன்னேறும் திரைக்கு செங்குத்தாக ஓரலகு பரப்பின் வழியே ஊடுருவிச் செல்லும் புலன் உணர்வு திறன் ஆகும்.

• ஒலிமூலம் ஒன்றிலிருந்து ஒலி அலைகள் பரவும் போது, ஆற்றலானது சுற்றியுள்ள அனைத்து வழிகளிலும் எடுத்துச் செல்லப்படும்.
• ஓரலகு நேரத்தில் (அல்லது) ஒரு வினாடியில் உமிழ்ப்படும் (அ) ஊடுருவும் சராசரி ஒலி ஆற்றலே “ஒலியின் திறன்” எனப்படும்.
• ஒரு குறிப்பிட்ட ஒலி மூலத்திற்கு அதன் ஒலிச் செறிவானது ஒலி மூலத்திலிருந்து தொலைவில் இருமடிக்கு எதிர் தகவில் அமையும்.
I = ஒலி மூலத்தின் திறன் / 4πr2
⇒ I ∝ 1 / r2
இது ஒலிச்செறிவின் எதிர்விகித இருமடி விதி ஆகும்.
II. ஒலியின் உரப்பு
• ஒலியின் உரப்பு என்பது "காதில் ஒலியின் கேட்கும் திறன் அளவின் மதிப்பு (அல்லது) கேட்பவரின் ஒலி புலன் உணர்வு திறன்" ஆகும்.
• ஒரே செறிவு கொண்ட இரு ஒலி மூலங்கள் ஒரே ஒலி உரப்பு பெற்றிருக்கத் தேவை இல்லை. (எடுத்துக்காட்டு)
i) பலூன் ஒன்று அமைதியான மூடப்பட்ட அறையில் வெடிக்கும் போது அதன் உரப்பு அதிகமாக இருக்கும்.
ii) அதே பலூன் சத்தமான சந்தையில் வெடிக்கும் போது உரப்பு மிகக் குறைவாக இருக்கும்.
• செறிவுகள் சமமாக இருப்பினும் உரப்புகள் சமமாக இல்லை. ஒலிச்செறிவு அதிகரிக்கும் போது உரப்பும் அதிகரிக்கும்.
• ஒலியின் செறிவைக் காட்டிலும் இங்கு கூடுதலாக உற்று நோக்குபவரின் நுட்பம் மற்றும் அனுபவம் உ ஆகிய காரணிகள் எவ்வளவு அதிக உரப்பு உள்ள ஒலி என்பதை அறிவதில் பங்கு வகிக்கிறது. கேட்பவரின் உணர்திறனும் இங்கு பங்கு வகிக்கிறது.
• எனவே, ஒல உரப்பு. ஒலியின் செறிவு மற்றும் காதின் உணர்திறன் ஆகியவற்றைப் பொருத்தது.
14. கீழ்க்கண்டவற்றுள் மேற்சுரங்கள் ஏற்படுவதை விளக்குக.
a) மூடிய ஆர்கன் குழாய்
b) திறந்த ஆர்கன் குழாய்
c) ஒத்தததிர்வு காற்றுத்தம்பக் கருவி
a) மூடிய ஆர்கன் குழாய்
• மூடிய ஆர்கன் குழாய்விற்கு 'கிளாரினெட்' ஓர் எடுத்துக்காட்டு ஆகும். இது ஒரு பக்கம் மூடிய மற்றொரு பக்கம் திறந்த குழாய் ஆகும்.
• திறந்த முனை வழியாக வரும் ஒலி, மூடிய பகுதியில் எதிரொலிக்கும் ஒலி, உள்ளே வரும் ஒலியுடன் 180° எதிர்க்கட்டத்தில் இருக்கும்.
• மூடிய பகுதியில் துகளின் இடப்பெயர்ச்சி சுழி, இடப்பெயர்ச்சி சுழியாவதால், மூடிய பகுதியில் - கணுவும், திறந்த பகுதியில் - எதிர்க்கணுவும் ஏற்படுகின்றன.
• அதிர்வுறும் அதிர்வு ஒலியின் எளிய அதிர்வு நிலையை ‘அடிப்படை அதிர்வு நிலை' என்போம்.
• மூடிய முனையில் துகள்களின் இயக்கம் இல்லாததால் கணுவும், அடிப்படை அதிர்வு நிலையில் திறந்த முனையில் எதிர்க்கணுவும் உருவாகும்.

• குழாயின் நீளம் - L, அலைகளின் அலைநீளம் λ1 எனில்,

• ஒலியின் அதிர்வெண் 
• திறந்த முனையில் காற்றை வலுவாக ஊதுவதால், அடிப்படை அதிர்வெண்ணின் முழு எண் மடங்குகளால் ஆன அதிர்கவுளை ஏற்படுத்தலாம் . அவ்வலைகள் 'மேற்சுரங்கள்' எனப்படுகின்றன.

இரண்டாவது நிலை அதிர்வுகளான முதல் மேற்சுரத்தில் இரு கணுக்களும் இரு எதிர்க்கணுக்களும் உள்ளது.

இது முதல் மேற்சுரம் ஆகும். இந்த அதிர்வெண் அடிப்படை அதிர்வெண்ணின் மூன்று மடங்கு என்பதால் இது “மூன்றாவது சீரிசை” எனப்படும்.
• இது இரண்டாவது மேற்சுரம் ஆகும். இந்த அதிர்வெண் அடிப்படை அதிர்வெண்ணைப் போல் 5 மடங்காக உள்ளதால், 5 வது சீரிசை எனவும் அழைக்கப்படுகிறது.
• மூடிய ஆர்கன் குழாயில் ஏற்படும் அதிர்வுகள் ஒற்றைப்படை வரிசை சீரிசைகளைக் கொண்டுள்ளது. சீரிசையின் அதிர்வெண் fn = (2n+1) f1 மேற்சுரங்களின் அதிர்வெண்களின் தகவு,
f1 : f2 : f3 : f4 =1: 3: 5: 7 : ........... (3)
b) திறந்த ஆர்கன் குழாய்
• திறந்த ஆர்கன் குழாய்க்கு புல்லாங்குழல் ஓர் எடுத்துக்காட்டாகும். இரு திறந்த முனைகளிலும் எதிர்க்கணுக்கள் உருவாகின்றன.
• இங்கு ஏற்படும் மிக எளிய அதிர்வு நிலையே “அடிப்படை அதிர்வுநிலை” எனப்படுகிறது. திறந்த முனைகளில் எதிர்க்கணுக்கள் ஏற்படுவதால், குழாயின் உள்ளே மையத்தில் ஒரேயொரு கணு உருவாகிறது.
• குழாயின் நீளம் - L, அலைகளின் அலைநீளம் – λ


அடிப்படை அதிர்வெண்ணை விட உயர் அதிர்வெண்களை ஏற்படுத்த திறந்த முனையில் காற்றை வேகமாக ஊத வேண்டும். இத்தகைய அதிர்வெண்கள் ‘மேற்சுரங்கள்' எனப்படும்.

திறந்த ஆர்கன் குழாயில் ஏற்படும் இரண்டாம் நிலை அதிர்வில், இரு கணுவும், மூன்று எதிர்க்கணுவும் உடையது.

இது ‘முதல் மேற்சுரம்' இங்கு n = 2. எனவே 'இரண்டாவது சீரிசை ஆகும்.

• மூன்றாம் நிலை அதிர்வில் 3 கணுவும், 4 எதிர்க்கணுவும் உள்ளது.

இது 3 வது மேற்சுரம். n = 3 என்பதால் "மூன்றாவது சீரிசை" ஆகும்.
• எனவே திறந்த ஆர்கன் குழாய் அனைத்து சீரிசைகளையும் உடையது. n - வது சீரிசையின் அதிர்வெண் fn = nf1 எனப்படுகிறது. எனவே மேற்சுரங்கள் அதிர்வெண்களின் தகவு,
f1 : f2 : f3 : f4 = 1: 2: 3: 4 :..... ..... (6)
c) ஒத்தததிர்வு காற்றுத்தம்பக் கருவி
• ஒத்ததிர்வு காற்று தம்பக் கருவி ஒரு மீட்டர் நீளம் உடைய கண்ணாடி (அல்லது) உலோகக் குழாயால் ஆனது. காற்று தம்பத்தில் ஏற்படும் ஒத்ததிர்வைக் கணக்கிட்டு அதன் மூலம் சாதாரண வெப்பநிலையில் காற்றில் ஒலியின் திசைவேகம் காண பயன்படுகிறது.
• காற்றுத் தம்ப நீளத்தை மாற்றுவதன் மூலம் ஒத்ததிர்வு அதிர்வெண் மாறுபடுவதை அளக்கவும் பயன்படுகிறது.

• ஒரு முனையைத் திறந்ததாகவும் மறுமுனையை மூடியதாக இக்குழாயுடன் ரப்பர் குழாய் மூலம் இணைக்கப்பட்ட நீர் சேமக்கலம் R ஏற்படுத்தப்பட்டு உள்ளது.
• இந்த முழு அமைப்பும் அளவுகோல் பொருத்தப்பட்ட செங்குத்து தாங்கியில் பொருத்தப்பட்டு உள்ளது.
• ரப்பர் குழாயில் பாதியளவு நீர் நிரப்பட்டுள்ளது. நீர் மட்டத்தை சேமக்கலத்தின் (R) உயரத்தை மாற்றுவதன் மூலம், தேவைக்கு ஏற்ப மாற்றிக் கொள்ளலாம்.
• நீரின் மேல் பரப்பு மூடிய பகுதியாகவும். மறுமுனை திறந்த முனையிலும் செயல்படும். இது மூடிய ஆர்கன் குழாயாக செயல்படுகிறது.
• அலையின் கணு நீரின் மேற்பரப்பிலும், எதிர்கணு திறந்த முனையிலும் ஏற்படும்.
• திறந்த முனையில் இசைக்கவை ஒன்றை அதிர வைத்து பிடித்தால் நெட்டலைகள் உருவாகி கீழ்நோக்கி நகரும். நீரின் பரப்பை அடைந்து எதிரொளிக்கப்படும் அலையுடன் மேற்பொருந்துவதால் நிலையான அலைகள் ஏற்படும்.
• நீளத்தை மாற்றி, காற்றுத் தம்பத்தின் அதிர்வெண், இசைக்கவையின் அதிர்வெண்ணுடன் ஒத்ததிர்வடையச் செய்யும்போது, அதிக உரப்பு உள்ள ஒலி ஏற்படும். காற்றுத்தம்பத்தின் அதிர்வெண் , இசைக்கவையின் அதிர்வெண்ணுக்குச் சமமாகி, ஒத்ததிர்வுக்கான நிபந்தனையைப் பெறும்.
• இந்த நிலையானது காற்றுத் தம்பத்தின் நீளம், ஒலி அலையின் அலைநீளத்தின் (1/4)th மடங்காக அமையும் போது ஏற்படும். முதல் ஒத்ததிர்வானது L1 நீளத்தில் ஏற்பட்டால்.
1/4 λ = L1 :..... ..... (1)
• எதிர்கணுவானது துல்லியமாக திறந்த முனையில் ஏற்படுவதில்லை. இங்கு முனைத்திருத்தம் (e) என்ற ஒரு திருத்தத்தை செய்ய வேண்டும்.
• எதிர்கணுவானது திறந்த முனையில் ஒரு சிறிய தூரத்தில் ஏற்படுகிறது. எனவே, முதல் அதிர்வு நிலை, முனைத் திருத்தத்துடன்
1/4 λ = L1 + e..... ..... (2)
• காற்றுத் தம்பத்தின் நீளத்தை மாற்றி, இரண்டாவது ஒத்ததிர்வு நீளம் L2 விற்கு முனை திருத்தத்துடன்,
3/4 λ = L2 + e .......... (3)
முனைத்திருத்தத்தை புறக்கணிக்க, சமன்பாடு (2) மற்றும் (1) ன் வேறுபாடு,
3/4 λ − 1/4 λ = (L2 + e) − (L1 + e)
⇒ 1/2 λ = L2 − L1 = Δ L
⇒ λ = 2 ΔL
• அறை வெப்பநிலையில் ஒலியின் திசைவேகம்,
v = fλ = 2f ∆L
முனைத்திருத்த சமன்பாடு (2) மற்றும் (3)லிருந்து,
e = L2 − L1 /2
15. ஒத்ததிர்வு தம்பக் கருவியைப் பயன்படுத்தி காற்றின் ஒலியின் திசைவேகத்தை அளக்கும் முறையை விளக்குக?
(14ம் கேள்வியின் பதில் பார்க்கவும்.) 14 (c)
ஒத்தததிர்வு காற்றுத்தம்பக் கருவி
• ஒத்ததிர்வு காற்று தம்பக் கருவி ஒரு மீட்டர் நீளம் உடைய கண்ணாடி (அல்லது) உலோகக் குழாயால் ஆனது. காற்று தம்பத்தில் ஏற்படும் ஒத்ததிர்வைக் கணக்கிட்டு அதன் மூலம் சாதாரண வெப்பநிலையில் காற்றில் ஒலியின் திசைவேகம் காண பயன்படுகிறது.
• காற்றுத் தம்ப நீளத்தை மாற்றுவதன் மூலம் ஒத்ததிர்வு அதிர்வெண் மாறுபடுவதை அளக்கவும் பயன்படுகிறது.

• ஒரு முனையைத் திறந்ததாகவும் மறுமுனையை மூடியதாக இக்குழாயுடன் ரப்பர் குழாய் மூலம் இணைக்கப்பட்ட நீர் சேமக்கலம் R ஏற்படுத்தப்பட்டு உள்ளது.
• இந்த முழு அமைப்பும் அளவுகோல் பொருத்தப்பட்ட செங்குத்து தாங்கியில் பொருத்தப்பட்டு உள்ளது.
• ரப்பர் குழாயில் பாதியளவு நீர் நிரப்பட்டுள்ளது. நீர் மட்டத்தை சேமக்கலத்தின் (R) உயரத்தை மாற்றுவதன் மூலம், தேவைக்கு ஏற்ப மாற்றிக் கொள்ளலாம்.
• நீரின் மேல் பரப்பு மூடிய பகுதியாகவும். மறுமுனை திறந்த முனையிலும் செயல்படும். இது மூடிய ஆர்கன் குழாயாக செயல்படுகிறது.
• அலையின் கணு நீரின் மேற்பரப்பிலும், எதிர்கணு திறந்த முனையிலும் ஏற்படும்.
• திறந்த முனையில் இசைக்கவை ஒன்றை அதிர வைத்து பிடித்தால் நெட்டலைகள் உருவாகி கீழ்நோக்கி நகரும். நீரின் பரப்பை அடைந்து எதிரொளிக்கப்படும் அலையுடன் மேற்பொருந்துவதால் நிலையான அலைகள் ஏற்படும்.
• நீளத்தை மாற்றி, காற்றுத் தம்பத்தின் அதிர்வெண், இசைக்கவையின் அதிர்வெண்ணுடன் ஒத்ததிர்வடையச் செய்யும்போது, அதிக உரப்பு உள்ள ஒலி ஏற்படும். காற்றுத்தம்பத்தின் அதிர்வெண் , இசைக்கவையின் அதிர்வெண்ணுக்குச் சமமாகி, ஒத்ததிர்வுக்கான நிபந்தனையைப் பெறும்.
• இந்த நிலையானது காற்றுத் தம்பத்தின் நீளம், ஒலி அலையின் அலைநீளத்தின் (1/4)th மடங்காக அமையும் போது ஏற்படும். முதல் ஒத்ததிர்வானது L1 நீளத்தில் ஏற்பட்டால்.
1/4 λ = L1 :..... ..... (1)
• எதிர்கணுவானது துல்லியமாக திறந்த முனையில் ஏற்படுவதில்லை. இங்கு முனைத்திருத்தம் (e) என்ற ஒரு திருத்தத்தை செய்ய வேண்டும்.
• எதிர்கணுவானது திறந்த முனையில் ஒரு சிறிய தூரத்தில் ஏற்படுகிறது. எனவே, முதல் அதிர்வு நிலை, முனைத் திருத்தத்துடன்
1/4 λ = L1 + e..... ..... (2)
• காற்றுத் தம்பத்தின் நீளத்தை மாற்றி, இரண்டாவது ஒத்ததிர்வு நீளம் L2 விற்கு முனை திருத்தத்துடன்,
3/4 λ = L2 + e .......... (3)
முனைத்திருத்தத்தை புறக்கணிக்க, சமன்பாடு (2) மற்றும் (1) ன் வேறுபாடு,
3/4 λ − 1/4 λ = (L2 + e) − (L1 + e)
⇒ 1/2 λ = L2 − L1 = Δ L
⇒ λ = 2 ΔL
• அறை வெப்பநிலையில் ஒலியின் திசைவேகம்,
v = fλ = 2f ∆L
முனைத்திருத்த சமன்பாடு (2) மற்றும் (3)லிருந்து,
e = L2 − L1 /2
16. டாப்ளர் விளைவு என்றால் என்ன?
1) மூலம் இயக்கத்திலும், கேட்பவர் ஓய்விலும்
a) மூலம், கேட்பவரை நோக்கி இயங்கும் போது
b) மூலம், கேட்பவரிலிருந்து விலகிச் செல்லும் போது
ii) கேட்பவர் இயக்கத்திலும், மூலம் ஓய்விலும்
a) கேட்பவர். மூலத்தை நோக்கி இயங்கும் போது
b) கேட்பவர், மூலத்திலிருந்து விலகிச் செல்லும் போது
iii) இரண்டும் இயக்கத்தில்
a) மூலமும், கேட்பவரும் ஒருவரை ஒருவர் நெருங்கும்போது
b) மூலமும், கேட்பவரும் ஒருவரை விட்டு ஒருவர் விலகிச் செல்லும்போது
c) மூலம், கேட்பவரை துரத்தும்போது
d) கேட்பவர், மூலத்தை, துரத்தும்போது
டாப்ளர் விளைவு
• ஊடகத்தைப் பொறுத்து மூலமும், கேட்பவரும் சார்பு இயக்கத்திலிருந்தால், கேட்பவர் உணரும் ஒலியின் அதிர்வெண், மூலத்தின் அதிர்வெண்ணிலிருந்து மாறுபட்டிருக்கும். [fo ≠ fs]
• இது கிறிஸ்டியன் டாப்ளர் என்ற இயற்பியல் அறிஞரின் பெயரில் அழைக்கப்படுகிறது.
• fs அதிர்வெண் உடைய ஒலி மூலமும், fo அதிர்வெண் உடைய கேட்பவரும் ஒய்வு நிலையில் இருந்தால் டாப்ளர் விளைவு [fo = fs] இல்லை.
I) மூலம் இயக்கத்திலும், கேட்பவர் ஒய்விலும்
a) மூலம், கேட்பவரை நோக்கி இயங்கும் போது
• மூலம் வலப்பக்கம் நோக்கி vs வேகத்தில் நகரும் போது. ஒலி மூலம் ஏற்படுத்தும் ஒலியின் அதிர்வெண் fs ஆகும். ஊடகத்தில் ஒலியின் திசைவேகம் v ஆகும்
• மூலம் உமிழும் இறுக்கம் ஒலி அலை முகப்பு) மூன்று அடுத்தடுத்த கண நேரங்களில் படத்தில் காட்டப்பட்டுள்ளன.
• X1 நிலையில் C1, X2 நிலையில் C2. X3 நிலையில் C3 என்க. C1 புள்ளி A ஐ நெருங்கும் அதே கணத்தில், C2 புள்ளி B- ஐயும், C3 புள்ளி C-ஐயும் நெருங்கும்

• படத்திலிருந்து C1, C2 க்கு இடைப்பட்ட தொலைவு, C2, C3 க்கு இடைப்பட்ட தொலைவைக் காட்டிலும் சிறியது.
• ஒலி என்பது நெட்டலை என்பதால் அடுத்தடுத்த இறுக்கங்களுக்கிடையேயான தொலைவு (அலைநீளம்), ஒலி மூலம் கேட்குநரை நோக்கி இயங்கும் போது அலைநீளம் குறைகிறது.
• ஆனால் அதிர்வெண், அலை நீளத்துடன் எதிர்த்தகவில் உள்ளதால், அதிர்வெண் அதிகரிக்கிறது.
• மூலம் (S) x1 நிலையில் உள்ளபோது, கேட்பவர் உணரும் அலைநீளம் λ ஆகும். மூலம் (S) x2, நிலைக்கு செல்லும்போது, கேட்பவர் உணரும் அலைநீளம் λ1 ஆகும். அலைநீள மாறுபாடு ∆ λ = λ - λ1 = vst இங்கு x1, லிருந்து x2 வுக்கு மூலம் நகர்வதற்கான t நேரம் என்க.
λ1 = λ - vst ............... (1)
ஆனால் t = λ / v ................ (2)
சமன்பாடு (2) ஐ (1) ல் பிரதியிட,
λ' = λ ( 1 – [vs / v])
அதிர்வெண் அலை நீளத்தின் எதிர்த்தகவு என்பதால்,
f ' = vs/λ' மற்றும் f = vs / λ
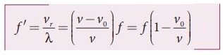
f ' = f / ( 1 – [vs / v]) ................ (3)
vs/v << 1 என்பதால் ஈருறுப்பு தொடர் விரிவை பயன்படுத்தி, முதல் நிலை vs/v யை மட்டும் எடுத்துக்கொள்ள,
................ (4)
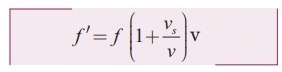
b) மூலம் கேட்பவருக்கு எதிர்த்திசையில் விலகிச் செல்லும்போது:
• மூலத்தின் திசைவேகம் எதிர்த்திசையில் அமைவதால், திசைவேகத்தின் எதிர்க்குறியை பயன்படுத்த (vs → -vs), அதிர்வெண்,
f ' = f ( 1 + [vs / v])
ஈருறுப்பு தொடர் விரிவை பயன்படுத்த,
f ' = f ( 1 – [vs / v]) v
................ (5)
II) கேட்பவர் இயக்கத்திலும் மூலம் ஒய்விலும் உள்ளபோது:
a) கேட்பவர் மூலத்தை நோக்கி இயங்கும் போது:
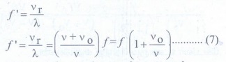
• O என்ற கேட்பவர், மூலம் S ஐ நோக்கி Vo திசைவேகத்தில் இயங்குகிறார். மூலம் S ஓய்வில் உள்ளதால் (ஊடகத்தைப் பொருத்து) உண்டாகும் ஒலி

அலைகள் V வேகத்தில் செல்கிறது.
• படத்திலிருந்து Vo, V யும் எதிரெதிர் திசையில் உள்ளன. அவற்றின் சார்புத்திசைவேகம் ஒலி அலையின் அலை நீளம் λ = v/f
எனவே கேட்பவர் (O) உணரும் அதிர்வெண்

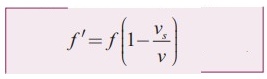
b) கேட்பவர், மூலத்திலிருந்து விலகிச் செல்லும் போது:
• கேட்பவர் (O) மூலத்திலிருந்து (S) விலகிச் செல்லும்போது, திசை வேகங்கள் Vo, Vயும் ஒரே திசையில் அமையும். எனவே சார்புத்திசைவேகம் vr = v - vo. எனவே கேட்பவர் (O) உணரும் அதிர்வெண்,
................ (8)
III) இரண்டும் இயக்கத்தில் உள்ளபோது:
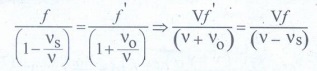
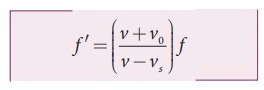
a) மூலம் கேட்பவர் ஒருவரை ஒருவர் நோக்கி இயங்கும்போது:
• VS, vO - மூலம், கேட்பவரின் திசைவேகங்கள் கேட்பவர் உணரும் தோற்ற அதிர்வெண்ணைக்கான, எளிய கணக்கீட்டிற்காக, போலி (கேட்பவர் அல்லது மூலம்) ஒன்றை இடையில் கருதுவோம்.
• போலி ஓய்வில் உள்ளதால், போலி (கேட்பவர்) உணரும் தோற்ற அதிர்வெண் (அவரை நெருங்கும் மூலத்தினால்) சமன்பாடு,

• இதே கணத்தில் (நேரத்தில்) கேட்பவர் (உண்மையான கேட்பவர்) மறுபுறமிருந்து போலியை நோக்கி நகர்கிறார். மூலம் உண்மையான கேட்குநருக்கு எதிர்திசையில் வருகிறார்.
• எனவே இந்த கணநேரத்தில் போலி (மூலம்) யை ஓய்வில் உள்ள மூலமாக உண்மையான கேட்குநரைப் பொறுத்து கருதவும்.
• ஓய்வில் உள்ள மூலத்தை நோக்கி நகரும் கேட்பவர் உணரும் தோற்ற அதிர்வெண்,
f ' = fd (1 + [v0 / v]) ⇒ fd = f ' (1 + [v0 / v]) ……….(10)
இது அனைத்து நேரத்திற்கும் சரி. சமன்பாடு (9), (10) ஐ ஒப்பிட,

கேட்பவர் உணரும் தோற்ற அதிர்வெண்,
………… (11)
b) மூலமும், கேட்பவரும் ஒருவரை விட்டு ஒருவர் விலகிச் செல்லும் போது:
படத்திலிருந்து கேட்பவர் எதிரெதிர் திசையில் நகர்வதால்

c) மூலம், கேட்குநரை துரத்தும் போது:
………… (13)
d) கேட்பவர் மூலத்தை துரத்தும் போது:
இங்கு (vs → - vs) எனவே,
