புள்ளியியல் | மூன்றாம் பருவம் அலகு 5 | 7ஆம் வகுப்பு கணக்கு - இடைநிலை (இடைநிலையளவு) | 7th Maths : Term 3 Unit 5 : Statistics
இடைநிலை (இடைநிலையளவு)
கொடுக்கப்பட்ட தரவுகளில் பிரதிநிதித்துவ மதிப்புகளின் சராசரியையும் முகடையும் கொண்டிருக்கும் சூழ்நிலைகளை நாம் விவாதித்தோம். இவைதவிர வேறெந்த மாற்றுப் பிரதிநிதித்துவ மதிப்பையும் அல்லது மையப்போக்கு அளவைகளைப் பற்றியும் சிந்திக்கலாம்? இதற்காகப் பின்வரும் சூழ்நிலையைக் கருத்தில் கொள்வோம்.
தடகளப் போட்டிகளுக்காகத் தேர்ந்தெடுக்கப்பட்ட 15 மாணவர்கள் அடங்கிய குழுவுக்கு நிதியுதவி வழங்கப் பள்ளியின் பழைய மாணவி ராஜம் என்பவர் விரும்பினார். அவர்களது குடும்ப வருமானத்தின் அடிப்படையில் அவர்களுக்கு உதவ விரும்பினார். அந்த 15 குடும்பங்களின் மாத வருமானம் கீழேக் கொடுக்கப்பட்டுள்ளது.
₹3300, ₹5000, ₹4000, ₹4200, ₹3500, ₹4500, ₹3200, ₹3200, ₹4100, ₹4000, ₹4300, ₹3000, ₹3200, ₹4500, ₹4100.
ராஜம், மாணவர்களின் குடும்ப வருமானத்திற்கு ஏற்றவாறு ஒரு தொகையைக் கொடுக்க விரும்புகிறார்.
சராசரியைக் கணக்கிட்டால், நமக்குக் கிடைப்பது.
கூட்டுச்சராசரி = மதிப்புகளின் கூடுதல்/15
=[3300+5000+4000+4200+3500+4500+3200+3200+4100+4000+4300+3000+3200+ 4500+4100]/15

= 58100/15 = 3873.3
₹3873.3 என்ற தொகையை மாணவர்கள் அனைவருக்கும், அவர்களுடைய குடும்ப வருமானத்தைப் பொருட்படுத்தாது வழங்க முடியுமா? இங்கே ₹3873.3 என்பது பொருத்தமான பிரதிநிதித்துவத் தொகையா? இல்லை, இது இங்கே பொருந்தாது. ஏனெனில், குடும்ப வருமானம் ₹3000 ஐக் கொண்ட ஒரு மாணவரும் குடும்ப வருமானம் ₹5000 ஐக் கொண்ட ஒரு மாணவரும் ஒரே தொகையைப் பெறுவார்கள். கூட்டுச் சராசரியான இந்தப் பிரதிநிதித்துவ அளவு இங்கே பொருந்தவில்லை.
இப்பொழுது, முகடைக் கண்டுபிடிப்போம்.

இங்கே முகடானது 3200 ஆகும். இதன் பொருள் குடும்ப வருமானம் ₹3200 கொண்ட மாணவர்கள் அதிகம் உள்ளனர். ஆகவே இது நமது நோக்கத்திற்குப் பொருந்தாது.
எனவே, முகடும் பொருத்தமானதல்ல. அப்பொழுது இந்த இரண்டு பிரதிநிதித்துவ மதிப்புகளைத் தவிர, வேறு பிரிதிநிதித்துவ மதிப்புகள் உள்ளதா? ஆம், உள்ளது. இப்பொழுது, தரவை இரண்டு பகுதிகளாகப் பிரிக்கும் மற்றொரு குறிப்பிடத்தக்க மதிப்பைப் பார்ப்போம். முதலில் தரவுகளை ஏறுவரிசையில் பின்வருமாறு அமைக்க வேண்டும்.
அதாவது 3000, 3200, 3200, 3200, 3300, 3500, 4000, 4000, 4100, 4100, 4200, 4300, 4500, 4500, 5000.
வருமானத்தை ஏறுவரிசையில் அமைத்தபிறகு, ராஜம் அவர்கள், 8 வது மதிப்பான ₹4000 இத்தரவுகளை இரண்டு பகுதிகளாகப் பிரிப்பதைக் காண்கிறார். ஒவ்வொரு மாணவருக்கும் வழங்கக்கூடிய நிதி உதவியின் அளவைத் தீர்மானிக்க இது உதவுகிறது. 4000 என்ற எண் இந்தத் தரவுகளின் நடுநிலையான மதிப்பு என்பதை நினைவில் கொள்ள வேண்டும்.
தரவுகளில் நடுநிலையான மதிப்பைத் தேர்ந்தெடுப்பதன் மூலம் பெறப்படும் இந்த வகையான பிரதிநிதித்துவ மதிப்பு இடைநிலையளவு என அழைக்கப்படுகிறது.
இவ்வாறு கொடுக்கப்பட்ட தரவுகள், ஏறுவரிசையிலோ அல்லது இறக்குவரிசையியேலா அமைக்கப்பட்டிருந்தால், இடைநிலையளவு என்பது நமக்கு நடுநிலை மதிப்பை அளிக்கிறது.
தரவுகள் 13, 14, 15, 16, 17 மற்றும் 18 ஆகிய மதிப்புகளான, இருபடை எண்ணிக்கையைக் கொண்டிருக்கும் மற்றொரு எடுத்துக்காட்டைக் கவனியுங்கள். இவற்றின் இடைநிலையளவை எவ்வாறு கண்டுபிடிப்பது? இங்கே மதிப்புகளின் எண்ணிக்கை 6 ஆகும். அது ஓர் இரட்டை எண் ஆகும். எனவே, இங்கே நடுநிலை மதிப்புகளாக 3 ஆவது மற்றும் 4 ஆவது என்ற இரண்டு மதிப்புகள் உள்ளன. ஆகவே, இங்கு 3 ஆவது மற்றும் 4 ஆவது ஆகிய இரண்டு மதிப்புகளின் சராசரியை இடைநிலையாக எடுத்துக்கொள்கிறோம்.
அதாவது, இடைநிலை = 1/2 {3 ஆவது மதிப்பு + 4 ஆவது மதிப்பு}
= 1/2 {15 + 16}
= 15+16/2 = 31/2 = 15.5
இங்கே, இடைநிலையளவைக் கண்டுபிடிக்கக் கொடுக்கப்பட்ட தரவின் மதிப்புகளை ஏறுவரிசையிலோ அல்லது இறங்குவரிசையிலோ அமைப்போம். பின்னர், இரண்டு நடுத்தர மதிப்புகளின் சராசரியைக் கண்டறியவும். எனவே, இடைநிலையளவைக் கண்டுபிடிக்க,
i) தரவுகளை ஏறுவரிசையிலோ அல்லது இறங்குவரிசையிலோ அமைக்க வேண்டும்.
ii) மதிப்புகளின் எண்ணிக்கை (n) ஆனது ஒற்றை (உறுப்பு) எண்ணாக இருந்தால், பின்னர் (n+1/2) ஆவது உறுப்பானது இடைநிலையளவு ஆகும்.
iii) உறுப்புகளின் எண்ணிக்கை (n) ஆனது இரட்டை எண்ணாக இருந்தால் (n/2) ஆவது உறுப்பு மற்றும் (n/2+1) ஆவது உறுப்புகளின் சராசரியே அவற்றின் இடைநிலையளவாகும்.
முயன்று பார்
1. 3, 8, 7, 8, 4, 5, 6 ஆகிய தரவுகளின் நடுநிலையளவைக் காண்க.
தீர்வு :
ஏறுவரிசையில் அமைக்கவும்: 3, 4, 5, 6, 7, 8.8.
இங்கே n = 7, இது ஒற்றை படை எண்.

எனவே இடைநிலை 6.
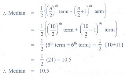
2. 11, 14, 10, 9, 14, 11, 12, 6, 7, 7 ஆகிய தரவுகளின் நடுநிலையளவைக் காண்க.
தீர்வு :
ஏறுவரிசையில் அமைக்கவும்: 6, 7, 7, 9, 10, 11, 11, 12, 14, 14
இங்கே is n = 10, இது இரட்டை படை எண்..
இடைநிலை

இடைநிலை = 10.5
செயல்பாடு
6 முதல் 7 மாணவர்களைக் கொண்ட குழுவை உருவாக்கி, உங்கள் வகுப்பிலுள்ள மாணவர்களுடைய எடையின் தரவைச் சேகரிக்கவும். ஒவ்வொரு குழுவிலும் கூட்டுச்சராசரி, இடைநிலையளவு மற்றும் முகடைக் காண்க. மேலும், குழுக்களிடையே சராசரியை ஒப்பிடுங்கள். அவை, எல்லாக் குழுக்களுக்கும் ஒரே மாதிரி இருக்குமா?
மேலும் முழு வகுப்பிற்கான மூன்று சராசரிகளையும் கண்டறிக. இப்போது, ஒவ்வொரு குழுக்களின் சராசரியுடன் முடிவுகளை ஒப்பிடவும்.
எடுத்துக்காட்டு 5.10
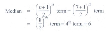
பின்வரும் கோல்ஃப்விளையாட்டின் (தரவுகள்) புள்ளிகளின் (மதிப்பெண்கள்) இடைநிலையளவைக் கண்டறியவும். 68, 79, 78, 65, 75, 70, 73.
தீர்வு
கோல்ஃப் புள்ளிகளை ஏறுவரிசையில் அமைக்கவும், 65, 68, 70, 73, 75, 78, 79.
இங்கே n=7, இது ஒற்றைப்படை எண்.
எனவே இடைநிலையளவு = ([n+1]/2) ஆவது உறுப்பு
= ([7+1]/2) ஆவது மதிப்பு
= (8/2) ஆவது உறுப்பு
= 4 ஆவது உறுப்பின் மதிப்பு
= 73
எனவே, இடைநிலையளவு 73 ஆகும்.
எடுத்துக்காட்டு 5.11
10 மாணவர்களின் எடைகள் (கிலோவில்) பின்வருமாறு கொடுக்கப்பட்டுள்ளது. 35, 42, 40, 38, 25, 32, 29, 45, 20, 24. அவர்களுடைய எடையின் இடைநிலையளவைக் கண்ட றியவும்.
தீர்வு
பின்வருவனவற்றை ஏறுவரிசையில் அமைக்கவும்.
20, 24, 25, 29, 32, 35, 38, 40, 42, 45.

எனவே, இடைநிலை எடை 33.5 கி.கி ஆகும்.
எடுத்துக்காட்டு 5.12
இடைநிலையளவு 16 உள்ளவாறு 12 மதிப்புகளைக் கொண்டத் தொகுப்பை உருவாக்கவும்.
தீர்வு
மதிப்புகளின் எண்ணிக்கை இரட்டை எண்ணாக இருப்பதால், இரண்டு நடுத்தர மதிப்புகள் இருக்கும். அந்த மதிப்புகளின் சராசரி 16 ஆக இருக்க வேண்டும் என்பது கொடுக்கப்பட்டுள்ளது.
சராசரி 16 ஆக இருக்கும். அந்தச் சோடி எண்களை இப்போது கண்டுபிடிப்போம். அது 14 மற்றும் 18 என்று கூறலாம். இப்போது இடைநிலையளவு 16 ஆக உள்ள தரவுகளுக்கான எடுத்துக்காட்டு 2, 4, 7, 9, 12, 14, 18, 24, 28, 30, 45, 62 ஆக இருக்கலாம்.
குறிப்பு
இந்தக் கேள்விக்கு ஒன்றுக்கும் மேற்ப்பட்ட பதில்களைக் காணலம்
எடுத்துக்காட்டு 5.13
11 வகையான எல்ஈடி பல்புகளின் (வாழ்நாள்) ஆயுட்காலம் நாட்களில் கொடுக்கப்பட்டுள்ளது.
365, 547, 730, 1095, 547, 912, 365, 1460, 1825, 1500, 2000. எல்ஈடி பல்புகளின் இடைநிலை ஆயுட்காலத்தைக் கண்டுபிடிக்கவும்.
தீர்வு
தரவை ஏறுவரிசையில் அமைக்கவும் 365, 365, 547, 547, 730, 912, 1095, 1460, 1500, 1825, 2000. மதிப்புகளின் (உறுப்புகளின்) எண்ணிக்கை 11 ஆகும். இது ஒற்றைப்படை எண்.
எனவே இடைநிலையளவு ஆனது (n+1/2) ஆவது உறுப்பு ஆகும்.
= (11+1/2) ஆவது உறுப்பு
= 6 ஆவது உறுப்பு
எனவே, இடைநிலையளவானது 912 ஆகும்.
எல்ஈடி விளக்கின் இடைநிலை ஆயுட்காலம் 912 நாட்கள்.
எடுத்துக்காட்டு 5.14
பின்வரும் தரவுகளின் நடுநிலையளவைக் கண்டறியவும்
12, 7, 23, 14, 19, 10, 5, 26.
தீர்வு
தரவுகளை ஏறுவரிசையில் அமைக்கவும்
5, 7, 10, 12, 14, 19, 23, 26
இங்கே , n = 8, இது ஒரு இரட்டைப்படை எண்.

எனவே, இடைநிலையளவு 13 ஆகும்
சிந்திக்க
கீழேக் கொடுக்கப்பட்டுள்ள அட்டவணையைப் பூர்த்தி செய்து பின்வரும் கேள்விகளுக்கு பதிலளிக்கவும்.


(i) அனைத்துத் தொடர்களுக்கும் பொதுவான சராசரி மற்றும் இடைநிலையளவு கொண்டத் தொடர்கள் யாவை?
தீர்வு : A, B மற்றும் C.
(ii) 4 தொடர்களுக்கும் இடைநிலையளவு ஏன் ஒரே மாதிரியாக இருக்கிறது?
தீர்வு: இடைநிலை மதிப்பு 100ஆக இருப்பதனால் .
(iii) A,B மற்றும் C ஆகிய தொடர்களில் எப்படிச் சராசரி மாறாமல் உள்ளது.
தீர்வு: கொடுக்கப்பட்ட எண்களுக்கு இடையிலான வேறுபாடு சமமாக இருப்பதினால் .
(iv) தரவில் என்ன மாற்றம் செய்தால் D என்ற தொடரின் சராசரியும் இடைநிலையளவும் மற்ற தொடர்களுக்குச் சமமாகும்.
தீர்வு: 99ஐ 0 வாக அல்லது 200ஐ 101 ஆக மாற்றினால் சராசரி 100ஆக மாறும் .