கேள்விகளுக்கான பதில்கள், தீர்வுகள் - பயிற்சி 2.2: கலப்பு எண்கள் (Complex Numbers) | 12th Maths : UNIT 2 : Complex Numbers
Posted On : 22.02.2024 12:14 am
12 ஆம் வகுப்பு கணிதம் : அத்தியாயம் 2 : கலப்பு எண்கள்
பயிற்சி 2.2: கலப்பு எண்கள் (Complex Numbers)
12 ஆம் வகுப்பு கணிதம் : அத்தியாயம் 2 : கலப்பு எண்கள் : பயிற்சி 2.2: கலப்பு எண்கள் (Complex Numbers) : பல்வேறு வினாக்களுக்கான பதில்கள் மற்றும் தீர்வுகள்
பயிற்சி 2.2
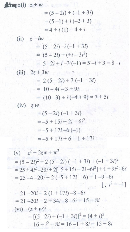
1. z = 5 − 2i மற்றும் w = −1 + 3i எனக்கொண்டு கீழ்க்காண்பவைகளின் மதிப்புகளைக் காண்க.
(i) z + w
(ii) z − iw
(iii) 2z + 3w
(iv) zw
(v) z2 + 2zw + w2
(vi) (z + w)2.

2. z = 2 + 3i எனக்கொண்டு கீழ்க்காணும் கலப்பெண்களை ஆர்கண்ட் தளத்தில் குறிக்க.
(i) z, iz, மற்றும் z + iz
(ii) z, – iz, மற்றும் z − iz .

3. (3 − i)x − (2 − i)y + 2i + 5 மற்றும் 2x + (−1 + 2i)y + 3 + 2i ஆகிய கலப்பெண்கள் சமம் எனில் x மற்றும் y−ன் மதிப்புகளைக் காண்க.

Tags : Problem Questions with Answer, Solution கேள்விகளுக்கான பதில்கள், தீர்வுகள்.
12th Maths : UNIT 2 : Complex Numbers : Exercise 2.2: Complex Numbers Problem Questions with Answer, Solution in Tamil : 12th Standard
Tamil Medium School Samacheer Book Back Questions and answers, Important Question with Answer.
12 ஆம் வகுப்பு கணிதம் : அத்தியாயம் 2 : கலப்பு எண்கள் : பயிற்சி 2.2: கலப்பு எண்கள் (Complex Numbers) - கேள்விகளுக்கான பதில்கள், தீர்வுகள் : 12 ஆம் வகுப்பு
புத்தகம் கேள்விகள் மற்றும் பதில்கள்.