கணிதவியல் - பல மாறிகள் கொண்ட சார்பின் நேரியல் தோராய மதிப்பு மற்றும் வகையீடு(Linear Approximation and Differential of a function of several variables) | 12th Maths : UNIT 8 : Differentials and Partial Derivatives
பல மாறிகள் கொண்ட சார்பின் நேரியல் தோராய மதிப்பு மற்றும் வகையீடு(Linear Approximation and Differential of a function of several variables)
இந்த அத்தியாயத்தில் ஆரம்பத்தில் ஒரு மாறியில் அமைந்த சார்பின் நேரியல் தோராய மதிப்பு மற்றும் வகையீடு பற்றி அறிந்தோம். இங்கு அதே போன்ற கருத்துக்களை இரண்டு மற்றும் மூன்று மாறிகளில் அமைந்த சார்புகளுக்குக் காண்போம். பொதுவாக, இதேபோன்று பல மாறிகளுடைய சார்பிற்கும் வரையறுக்கலாம்.
வரையறை 8.10
A = {(x,y) | a < x < b, c < y < d} ⊂ℝ2, F : A → ℝ , மற்றும் (x0,y0) ∈ A என்க.
(i) (x0,y0) ∈A என்ற புள்ளியில் F-ன் நேரியல் தோராய மதிப்பு
F(x,y) = F(x0,y0) + ∂F/∂x|(x0,y0) (x-x0) + ∂F/∂y|(x0,y0) (y – y0) --------(12)

(ii) F-ன் வகையீடு
∂F = ∂F / ∂x (x, y)dx + ∂F / ∂y (x, y)dy, -------------(13)

இங்கு dx = ∆x , dy = ∆y என வரையறுக்கப்படுகிறது.
இங்கு மூன்று மாறிகளுடைய சார்பின் நேரியல் தோராய மதிப்பு மற்றும் வகையீடு ஆகியவற்றைப் பற்றி காண்போம். பல மாறிகளுடைய மெய்மதிப்புச் சார்புகளுக்கு நாம் நேரியல் தோராய மதிப்பும் வகையீடும் வரையறுக்க முடியும் எனினும் மூன்று மாறிகள் உடைய சார்போடு நாம் நிறுத்திக் கொள்வோம்.
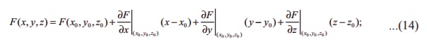
வரையறை 8.11
A = {(x,y,z) |a < x < b, c < y < d, e < z < f } ⊂ ℝ3 , F: A → ℝ மற்றும் (x0, y0, , z0 , ) ∈A என்க.
(i) (x0, y0, , z0 , ) ∈ A என்ற புள்ளியில் F ன் நேரியல் தோராய மதிப்பு

என வரையறுக்கப்படுகிறது
(ii) F-ன் வகையீடு
dF = ∂F / ∂x (x, y, z)dx + ∂F / ∂y (x, y, z) dy + ∂F / ∂z (x, y, z)dz , ------------ (15)

இங்கு dx = ∆x, dy = ∆y மற்றும் dz = ∆z என வரையறுக்கப்படுகிறது.
வடிவக் கணிதத்தின்படி, ஒரு மாறியில் அமைந்த சார்பு f -ன், x0 என்ற புள்ளிக்கான நேரியல் தோராய மதிப்பு x0 என்ற புள்ளியில் y = f (x) -ன் வரைபடத்திற்கான தொடுகோட்டைக் குறிக்கின்றது. இதுபோல் இரண்டு மாறிகளில் அமைந்த சார்பு F-ன் (x0,y0) என்ற புள்ளிக்கான நேரியல் தோராய மதிப்பு (x0,y0) என்ற புள்ளியில் z = F(x,y) என்றவரைபடத்தின் தொடு தளத்தைக் குறிக்கின்றது.

படம் 8.13 தொடு தளம் மூலம் நேரியல் தோராய மதிப்பு
எடுத்துக்காட்டு 8.16
w(x,y,z) = x2y + y2z + z2x, x, y, z ∈ℝ , எனில் வகையீடு dw காண்க.
தீர்வு
முதலில் wx, wy, மற்றும் Wz காண்போம்.
wx = 2xy + z2,wy = 2yz + x2 மற்றும் wz = 2zx + y2.
எனவே (15)-ன் படி வகையீடு
dw = (2xy + z2)dx + (2yz +x2)dy + (2zx+y2)dz
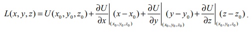
எடுத்துக்காட்டு 8.17
U(x, y, z) = x2 - xy + 3sin z, x, y, z ∈ℝ எனில் (2,-1,0) இல் U இன் நேரியல் தோராய மதிப்பு காண்க.
தீர்வு
(14)-ன் படி நேரியல் தோராய மதிப்பு

Ux = 2x - y,Uy = -x மற்றும் Uz = 3cos z .
(x0, y0, z0 ) = (2,-1,0), எனவே Ux (2,-1,0) = 5, Uy (2,-1,0) = -2 மற்றும் Uz (2,-1,0) = 3.
ஆகவே, L(x, y, z) = 6+5(x-2) - 2(y+1) + 3(z - 0) = 5x -2y + 3z - 6 என்பது (2,-1, 0) இல் U -ன் நேரியல் தோராய மதிப்பாகும்.