கலப்பு எண்கள் - பயிற்சி 2.9: சரியான விடையை தேர்ந்தெடுத்து எழுதுக | 12th Maths : UNIT 2 : Complex Numbers
பயிற்சி 2.9
1. சரியான அல்லது மிகப்பொருத்தமான விடையை தேர்ந்தெடுத்து எழுதுக :
1. in + in+l + in+2 + in+3 −ன் மதிப்பு
(1) 0
(2) 1
(3) −1
(4) i
விடை: (1) 0

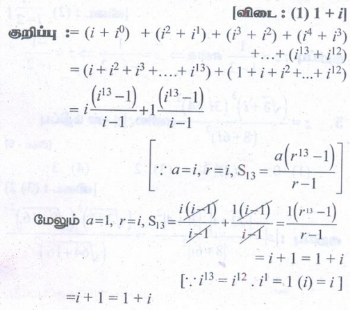
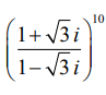
2.
−ன் மதிப்பு
(1) 1 + i
(2) i
(3) 1
(4) 0
விடை: (1) 1 + i

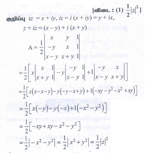
3. iz, மற்றும் z + iz என்ற கலப்பெண்கள் ஆர்கன்ட் தளத்தில் உருவாக்கும் முக்கோணத்தின் பரப்பளவு
(1) 1/2 |z|2
(2) |z|2
(3) 3/2 |z|2
(4) 2 |z|2
விடை: (1) 1/2 |z|2

4. ஒரு கலப்பெண்ணின் இணை கலப்பெண் 1/(i – 2) எனில், அந்த கலப்பெண்
(1) 1 / (i + 2)
(2) −1/ (i + 2)
(3) −1/ (i − 2)
(4) 1/ (i − 2)
விடை: (2) −1/ (i + 2)

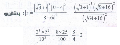
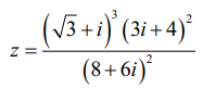
5.
எனில், |z| −ன் மதிப்பு
(1) 0
(2) 1
(3) 2
(4) 3
விடை: (3) 2

6. z எனும் பூஜ்ஜியமற்ற கலப்பெண்ணிற்கு 2iz2 =
எனில், |z|−ன் மதிப்பு
(1) 1/2
(2) 1
(3) 2
(4) 3
விடை: (1) 1/2

7. |z – 2 + i| ≤ 2 எனில், |z| −ன் மீப்பெரு மதிப்பு
(1) √3 − 2
(2) √3 + 2
(3) √5 − 2
(4) √5 + 2
விடை: (4) √5 + 2

8. | z – 3/z| = 2 எனில், |z| −ன் மீப்பெரு மதிப்பு
(1) 1
(2) 2
(3) 3
(4) 5
விடை: (1) 1
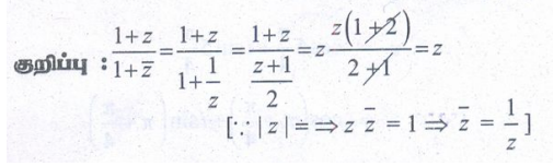
9. |z| = 1 எனில்,
−ன் மதிப்பு
(1) z
(2) ![]()
(3) 1/z
(4) 1
விடை: (1) z

10. |z| − z = 1 + 2i என்ற சமன்பாட்டின் தீர்வு
(1) (3/2) − 2i
(2) −(3/2) + 2i
(3) 2 – ( 3/2)i
(4) 2 + (3/2)i
விடை: (1) (3/2) − 2i

11. |z1| = 1, |z2| = 2, |z3| = 3, மற்றும் |9z1z2 + 4z1z3 + z2z3| = 12 எனில், |z1 + z2 + z3|−ன் மதிப்பு
(1) 1
(2) 2
(3) 3
(4) 4
விடை: (2) 2

12. z என்ற கலப்பெண்ணானது z ∈ ℂ\ℝ ஆகவும் z + 1/z ∈ R எனவும் இருந்தால், |z|−ன் மதிப்பு
(1) 0
(2) 1
(3) 2
(4) 3
விடை: (2) 1

13. z1, z2, மற்றம் z3 என்ற கலப்பெண்கள் z1 + z2 + z3 = 0 எனவும் |z1| = |z2| = |z3| = 1ஆகவும் இருந்தால், z12 + z22 + z32 −ன் மதிப்பு
(1) 3
(2) 2
(3) 1
(4) 0
விடை: (4) 0

14. z−1 / z+1 என்பது ழுழுவதும் கற்பனை எனில், |z| −ன் மதிப்பு
(1) 1/2
(2) 1
(3) 2
(4) 3
விடை: (2) 1

15. z = x + iy என்ற கலப்பெண்ணிற்கு | z + 2| = |z − 2| எனில், z−ன் நியமப்பாதை
(1) மெய் அச்சு
(2) கற்பனை அச்சு
(3) நீள்வட்டம்
(4) வட்டம்
விடை: (2) கற்பனை அச்சு

16. 3/ (−1 + i) என்ற கலப்பெண்ணின் ழுதன்மை வீச்சு
(1) −5π / 6
(2) −2π / 3
(3) −3π / 4
(4) –π / 2
விடை: (3) −3π / 4

17. (sin40° + icos40°)5 −ன் முதன்மை வீச்சு
(1) −110°
(2) −70°
(3) 70°
(4) 110°
விடை: (1) −110°

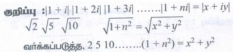
18. (1 + i) (1 + 2i)(1 + 3i) ... (1 + ni) = x + iy எனில், 2.5.10 ... (1 + n2) −ன் மதிப்பு
(1) 1
(2) i
(3) x2 + y2
(4) 1 + n2
விடை: (3) x2 + y2

19. ω ≠ 1 என்பது ஒன்றின் முப்படி மூலம் மற்றும் (1 + ω)7 = A + Bω எனில், (A,B) என்பது
(1) (1, 0)
(2) (−1, 1)
(3) (0, 1)
(4) (1, 1)
விடை: (4) (1, 1)

20.
என்ற கலப்பெண்ணின் முதன்மை வீச்சு
(1) 2π / 3
(2) π / 6
(3) 5π / 6
(4) π / 2
விடை: (4) π / 2

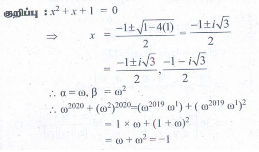
21. x2 + x + 1 = 0 என்ற சமன்பாட்டின் மூலங்கள் α மற்றம் β எனில், α2020 + β2020 −ன் மதிப்பு
(1) −2
(2) −1
(3) 1
(4) 2
விடை: (2) −1

22.
−ன் எல்லா நான்கு மதிப்புகளின் பெருக்குத் தொகை
(1) −2
(2) −1
(3) 1
(4) 2
விடை: (3) 1

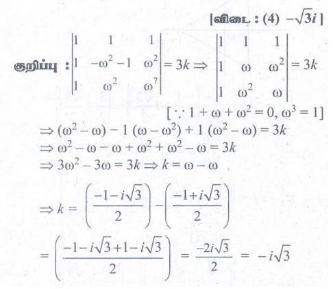
23. ω ≠ 1 என்பது ஒன்றின் முப்படி மூலம் மற்றும்
= 3k எனில், k−ன் மதிப்பு
(1) 1
(2) −1
(3) √3i
(4) −√3i
விடை: (4) −√3i

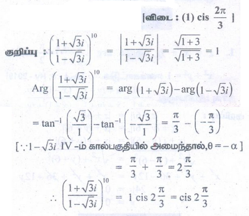
24.
−ன் மதிப்பு
(1) cis 2π /3
(2) cis 4π /3
(3) − cis 2π /3
(4) − cis 4π /3
விடை: (1) cis 2π /3

25. ω = cis 2π/3 எனில்
என்ற சமன்பாட்டின் வெவ்வேறான மூலங்களின் எண்ணிக்கை.
(1) 1
(2) 2
(3) 3
(4) 4
விடை: (1) 1
