கேள்விகளுக்கான பதில்கள், தீர்வுகள் - பயிற்சி 2.6: கலப்பெண்களின் வடிவியல் மற்றும் நியமப்பாதை (Geometry and Locus of Complex Numbers) | 12th Maths : UNIT 2 : Complex Numbers
Posted On : 22.02.2024 05:52 am
12 ஆம் வகுப்பு கணிதம் : அத்தியாயம் 2 : கலப்பு எண்கள்
பயிற்சி 2.6: கலப்பெண்களின் வடிவியல் மற்றும் நியமப்பாதை (Geometry and Locus of Complex Numbers)
12 ஆம் வகுப்பு கணிதம் : அத்தியாயம் 2 : கலப்பு எண்கள் : பயிற்சி 2.6: கலப்பெண்களின் வடிவியல் மற்றும் நியமப்பாதை (Geometry and Locus of Complex Numbers) : பல்வேறு வினாக்களுக்கான பதில்கள் மற்றும் தீர்வுகள்
பயிற்சி 2.6
1. z = x + iy என்ற ஏதேனும் ஒரு கலப்பெண்
எனுமாறு அமைந்தால் z −ன் நியமப்பாதை மெய் அச்சு எனக் காட்டுக.

2. z = x + iy என்ற ஏதேனும் ஒரு கலப்பெண் Im [(2z + 1) /(iz +1)] = 0 எனுமாறு அமைந்தால் z −ன் நியமப்பாதை 2x2 + 2y2 + x − 2y = 0 எனக்காட்டுக.

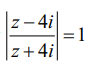
3. பின்வரும் சமன்பாடுகளில் z = x + iy −ன் நியமப்பாதையை கார்ட்டீசியன் வடிவில் காண்க.
(i) [Re(iz)]2 = 3

(ii) Im[(1− i)z + 1] = 0

(iii) |z + i| = |z − 1|

(iv)
= z−1

4. பின்வரும் சமன்பாடுகள் வட்டத்தை குறிக்கிறது என காட்டுக. மேலும் இதன் மையம் மற்றும் ஆரத்தைக் காண்க.
(i) │z − 2 − i| = 3
(ii) |2z + 2 − 4i| = 2
(iii) |3z – 6 + 12i| = 8.

5. பின்வரும் சமன்பாடுகளில் z = x + iy −ன் நியமப்பாதையை கார்டீசியன் வடிவில் காண்க.
(i) |z − 4| = 16
(ii) | z − 4|2 − | z −1|2 = 16.

Tags : Problem Questions with Answer, Solution கேள்விகளுக்கான பதில்கள், தீர்வுகள்.
12th Maths : UNIT 2 : Complex Numbers : Exercise 2.6: Geometry and Locus of Complex Numbers Problem Questions with Answer, Solution in Tamil : 12th Standard
Tamil Medium School Samacheer Book Back Questions and answers, Important Question with Answer.
12 ஆம் வகுப்பு கணிதம் : அத்தியாயம் 2 : கலப்பு எண்கள் : பயிற்சி 2.6: கலப்பெண்களின் வடிவியல் மற்றும் நியமப்பாதை (Geometry and Locus of Complex Numbers) - கேள்விகளுக்கான பதில்கள், தீர்வுகள் : 12 ஆம் வகுப்பு
புத்தகம் கேள்விகள் மற்றும் பதில்கள்.