கேள்விகளுக்கான பதில்கள், தீர்வுகள் - பயிற்சி 4.2: கொசைன் சார்பு மற்றும் நேர்மாறு கொசைன் சார்பு (The Cosine Function and Inverse Cosine Function) | 12th Maths : UNIT 4 : Inverse Trigonometric Functions
Posted On : 23.02.2024 11:29 pm
12 ஆம் வகுப்பு கணிதம் : அத்தியாயம் 4 : நேர்மாறு முக்கோணவியல் சார்புகள்
பயிற்சி 4.2: கொசைன் சார்பு மற்றும் நேர்மாறு கொசைன் சார்பு (The Cosine Function and Inverse Cosine Function)
12 ஆம் வகுப்பு கணிதம் : அத்தியாயம் 4 : நேர்மாறு முக்கோணவியல் சார்புகள் : பயிற்சி 4.2: கொசைன் சார்பு மற்றும் நேர்மாறு கொசைன் சார்பு (The Cosine Function and Inverse Cosine Function) : பல்வேறு வினாக்களுக்கான பதில்கள் மற்றும் தீர்வுகள்
பயிற்சி 4.2
1. அனைத்து x −ன் மதிப்புகளையும் காண்க
(i) −6π ≤ x ≤ 6π மற்றும் cos x =0
(ii) −5π ≤ x ≤ 5π மற்றும் cos x = −1.

2. cos–l [cos(−π /6)] ≠ −π/6 என இருப்பதற்கான காரணத்தைக் கூறுக.

3. cos–l(−x) = π − cos–l(x) என்பது மெய்யாகுமா? விடைக்கு தக்க காரணம் கூறுக.

4. cos–l (l/2) −ன் முதன்மை மதிப்புக் காண்க.

5. மதிப்பு காண்க
(i) 2 cos–l(l/2) + sin–l(l/2)

(ii) cos–l(l/2) + sin–l(−l)

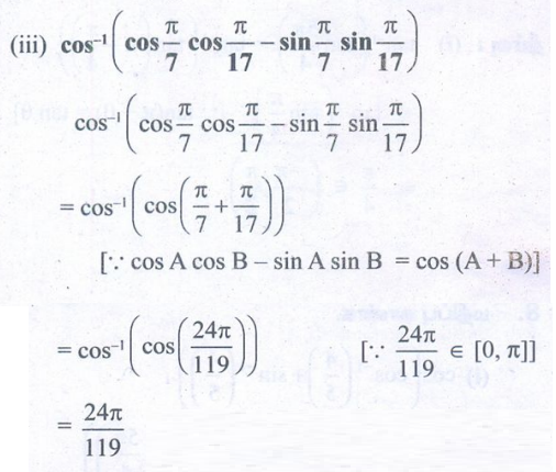
(iii) cos–l [cos π/7 cos π/7 − sin π/7 sin π/7] .

6. சார்பகம் காண்க


(ii) g(x) = sin–l x + cos–l x

7. x −ன் எந்த மதிப்பிற்கு, சமனிலை π/2 < cos–l(3x − 1) < π மெய்யாகும்?

8. மதிப்பு காண்க


Tags : Problem Questions with Answer, Solution கேள்விகளுக்கான பதில்கள், தீர்வுகள்.
12th Maths : UNIT 4 : Inverse Trigonometric Functions : Exercise 4.2: Cosine Function and Inverse Cosine Function Problem Questions with Answer, Solution in Tamil : 12th Standard
Tamil Medium School Samacheer Book Back Questions and answers, Important Question with Answer.
12 ஆம் வகுப்பு கணிதம் : அத்தியாயம் 4 : நேர்மாறு முக்கோணவியல் சார்புகள் : பயிற்சி 4.2: கொசைன் சார்பு மற்றும் நேர்மாறு கொசைன் சார்பு (The Cosine Function and Inverse Cosine Function) - கேள்விகளுக்கான பதில்கள், தீர்வுகள் : 12 ஆம் வகுப்பு
புத்தகம் கேள்விகள் மற்றும் பதில்கள்.