கேள்விகளுக்கான பதில்கள், தீர்வுகள் - பயிற்சி 8.3 : பல மாறிகளைக் கொண்ட சார்புகள் | 12th Maths : UNIT 8 : Differentials and Partial Derivatives
பயிற்சி 8.3
1. சார்பு g(x, y) = 3x2 - xy / x2 + y2 + 3 -க்கு எல்லை மதிப்பு இருக்குமானால், lim (x,y)→(0,0)g(x,y)-ஐமதிப்பிடுக.

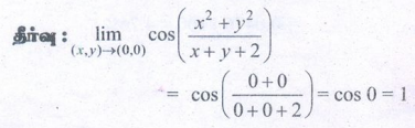
2.எல்லை மதிப்பு இருக்குமானால், lim(x,y)→(0,0) cos ( x3 + y2 / x + y +2 ) -ஐ மதிப்பிடுக.

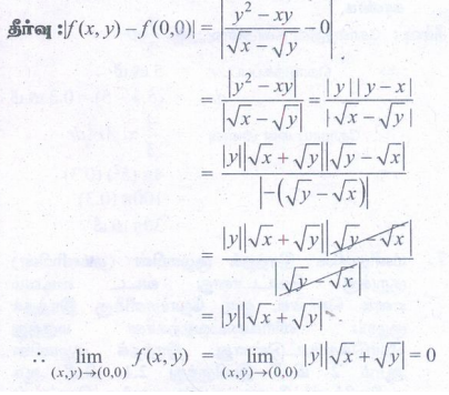
3. (x,y) # (0,0) -க்கு f (x,y) = y2 – xy / √x - √yஎனில், lim(x,y)→(0,0) f (x,y) = 0 என நிறுவுக.

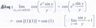
4. எல்லை மதிப்பு இருக்குமானால், lim(x,y)→(0,0) cos ( ex sin y / y) -ஐ மதிப்பிடுக.
5. (x,y) ≠ (0, 0)-க்கு g(x,y) = x2 y / x4 + y2 மற்றும் g(0, 0) = 0 என்க.
(i) ஒவ்வொரு y = mx,m ∈ R நேர்கோட்டுப் பாதையிலும் lim(x,y)→(0,0) g(x,y) = 0 என நிறுவுக.
(ii) ஒவ்வொரு y = kx2, k ∈ R \ {0} பரவளையப்பாதையிலும் lim(x,y)→(0,0) g(x,y) = k / 1+k2 என நிறுவுக.

6. சார்பு f (x,y) = x2 - y2 / y2 + 1 , ஒவ்வொரு (x, y) ∈ R2 -க்கும் தொடர்ச்சியானது என நிறுவுக.
7. சார்பு g(x,y)= ey sin x / x, x ≠ 0 மற்றும் g(0,0) =1 என்க. புள்ளி (0,0) இல் g
தொடர்ச்சியானது என நிறுவுக.
விடைகள் :
1. 1/8
2. 1
4. cos(1)