கேள்விகளுக்கான பதில்கள், தீர்வுகள் - பயிற்சி 8.6 : சார்பினது சார்பு விதி (Function of Function Rule) | 12th Maths : UNIT 8 : Differentials and Partial Derivatives
பயிற்சி 8.6
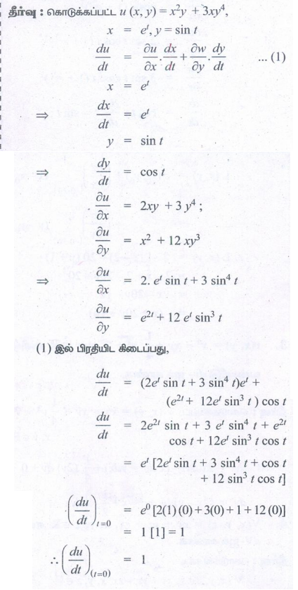
1. சார்பு u(x,y) = x2y + 3xy4, x= et மற்றும் y = sin t, எனில் du/dt -ஐக் காண்க மேலும்t = 0-ல் அதன் மதிப்பைக் காண்க.

2. u(x,y,z) = xy2z3, x = sin t, y = cos t, z =1+e2t எனில் du/dt -ஐக் காண்க

3. w(x, y, z) = x2 + y2 + z2, x = et, y = et sint மற்றும் z = et cos t , எனில் dw/dt -ஐக் காண்க

4. U(x, y, z) = xyz, x = e-t, y = e-t cost, z = sin t, t ∈ℝ எனில் dU/dt -ஐக் காண்க

5.w(x,y) = 6x3 – 3xy + 2y2 , x = es , y = cos s, s ∈ ℝ எனில் dW/ds -ஐக் காண்க மற்றும் s = 0 இல் அதன் மதிப்பைக் காண்க.
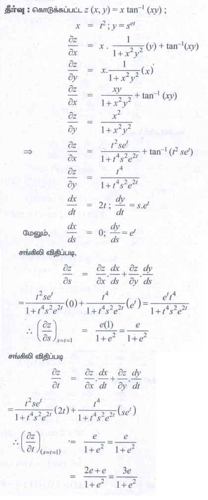
6. z(x, y)= x tan-1(xy), x=t2, y= set, s, t∈ R எனில் ∂z/∂s மற்றும் ∂z/∂t ஆகியவற்றை s=t = 1 இல் காண்க.

7. U(x,y) = ex sin y என்க. இங்கு x = st2, y =s2t, S, t ∈ R ∂U/∂s , ∂U/∂t காண்க. மற்றும் s = t = 1 இல் அவற்றை மதிப்பிடுக.

8. z(x,y) = x3 - 3x3 y3 என்க. இங்கு x = set, y = se-t, s, t ∈ ℝ -∂z/∂s , ∂z/∂t - ஐக் காண்க

9. W(x, y, z) = xy + yz + zx, x = u - v, y = uv, z = u + v, u, v ∈ ℝ எனில் ∂W/∂u , ∂W/∂v காண்க மற்றும்(1/2,1) இல் அவற்றின் மதிப்பைக் காண்க.

விடைகள் :
1. et ( 2et sin t + 3sin4 t + et cos t + 12 sin3 t cos t ) , 1
2. (1 + e2t )2 [cos3 t (1+ e2t ) − sin t sin 2t (1+ e2t ) + 6e2t sin t cos2 t]
3. 4e2t
4. − e−2t [sin 2t − cos 2t ]
5.18e3s − 3es cos s + 3es sin s − 4 sin s cos s , 15

8. 3s3 (e3t + s2 e−t ), 3s2 et (e2t −5e−2t s2 )
9. 2u (1+ 2v ) , 2 (u2 – v) , 3, −3/2