வகையீடுகள் மற்றும் பகுதி வகைக்கெழுக்கள் | கணிதவியல் - பயிற்சி 8.8 : சரியான விடையினைத் தேர்ந்தெடுக்கவும் | 12th Maths : UNIT 8 : Differentials and Partial Derivatives
பயிற்சி 8.8
கொடுக்கப்பட்ட நான்கு மாற்று விடைகளிலிருந்து சரியான அல்லது மிகவும் ஏற்புடைய விடையினைத் தேர்ந்தெடுக்கவும் :
1. ஒரு வட்ட வடிவ வார்ப்பின் ஆரம் 10 செமீ. ஆரத்தின் அளவில் தோராயமாக 0.02 செமீ பிழை உள்ளது எனில் அதன் பரப்பில் ஏற்படும் தோராய சதவீதப் பிழையைக் காண்க.
(1) 0.2%
(2) 0.4%
(3) 0.04%
(4) 0.08%
விடை : (2) 0.4%

2. 31-ன் 5ஆம் படி மூல சதவீதப் பிழை தோராயமாக, 31-ன் சதவீதப் பிழையைப் போல் எத்தனைமடங்காகும்?
(1) 1/31
(2) 1/5
(3) 5
(4) 31
விடை : (2) 1/5

3. u(x,y) = ex2+y2 , எனில் ∂u/∂x -ன் மதிப்பு
(1) ex2+y2
(2) 2xu
(3) x2u
(4) y2u
விடை : (2) 2xu

4. v(x,y) = log(ex +ey), எனில் ∂v/∂x + ∂v/∂y -ன் மதிப்பு
(1) ex +ey
(2) 1 / ex + ey
(3) 2
(4) 1
விடை : (4) 1

5. w(x,y) = xy,x > 0 , எனில்∂w/∂x -ன் மதிப்பு
(1) xy logx
(2) ylogx
(3) yxy-1
(4) x log y
விடை : (3) yxy-1

6. f (x,y) =exy, எனில்∂2f / ∂x∂y -ன் மதிப்பு
(1) xyexy
(2) (1+xy)exy
(3) (1+y)exy
(4) (1+ x )exy
விடை : (2) (1+xy)exy

7. ஒரு கன சதுரத்தின் பக்க அளவு 4 செமீ மற்றும் அதன் பிழை 0.1 செமீ எனில் கன அளவுகணக்கீட்டில் ஏற்படும் பிழை
(1) 0.4 கன செமீ
(2) 0.45 கன செமீ
(3) 2 கன செமீ
(4) 4.8 கன செமீ
விடை : (4) 4.8 கன செமீ

8. ஒரு கன சதுரத்தின் பக்க அளவு x0 - இலிருந்து x0 + dx ஆக மாறும்போது அதன் வளைபரப்புS = 6x2 இல் ஏற்படும் மாற்றம்
(1) 12x0 + dx
(2) 12x0 dx
(3) 6x0dx
(4) 6x0 + dx
விடை : (2) 12x0 dx

9. ஒரு கன சதுரத்தின் பக்க அளவு 1% அதிகரிக்கும்போது அதன் கன அளவில் ஏற்படும்மாற்றம்
(1) 0.3xdx மீ3
(2) 0.03x மீ3
(3) 0.03x2 மீ3
(4) 0.03x3 மீ3
விடை : (3) 0.03x2 மீ3

10. g(x,y) = 3x2 - 5y + 2y2, x(t) = et மற்றும் y(t) = cost , எனில் dg/dt-ன் மதிப்பு
(1) 6e2t + 5sint - 4 cost sint
(2) 6e2t – 5sint + 4cost sint
(3) 3e2t + 5sint + 4cost sint
(4) 3e2t - 5sint + 4cost sint
விடை : (1) 6e2t + 5sint - 4 cost sint

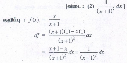
11. f (x) = x / x+1, எனில் அதன் வகையீடு
(1) -1/(x+1)2 dx
(2) 1/(x+1)2 dx
(3) 1 / x+1dx
(4) -1 / x+1dx
விடை : (2) 1/(x+1)2 dx

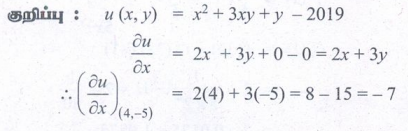
12. u(x,y) =x2 + 3xy + y-2019, எனில்∂u/∂x|(4,-5) -ன் மதிப்பு
(1)-4
(2) -3
(3) -7
(4) 13
விடை : (3) -7

13. சார்பு g(x) = cos x -ன் நேரியல் தோராய மதிப்பு x = π/2 இல்
(1) x + π/2
(2) -x + π/2
(3) x - π/2
(4) -x - π/2
விடை : (2) -x + π/2

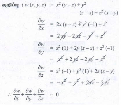
14. w(x,y,z) = x2(y-z)+ y2 (z - x) + z2 (x - y), எனில் ∂w/∂x + ∂w/∂y + ∂w/∂z -ன் மதிப்பு
(1) xy + yz + zx
(2) x(y+z)
(3) y(z +x)
(4) 0
விடை : (4) 0

15. f (x, y, z) = xy + yz + zx , எனில் fx - fz -ன் மதிப்பு
(1) z - x
(2) y - z
(3) x-z
(4) y-x
விடை : (1) z - x

பயிற்சி 8.8
