கணிதவியல் - சமபடித்தான சார்புகள் மற்றும் ஆய்லரின் தேற்றம்(Homogeneous Functions and Euler's Theorem) | 12th Maths : UNIT 8 : Differentials and Partial Derivatives
வரையறை 8.12
(a) A = {(x,y)| a < x < b, c < y < d} ⊂ℝ2, F : A → ℝ என்க. பொருத்தமாக வரையறுக்கப்பட்ட λ, x, y -க்கு (λx,λy) ∈A எனில் F (λx, λy) = λP F(x,y), λ∈ℝ எனுமாறு p என்ற மாறிலி இருக்குமானால் சார்பு F என்பது A-ன் மீதான சமபடித்தான சார்பாக இருக்கும். இந்த மாறிலி p , சார்பு F -ன் படி எனப்படும்..
(b) B = {(x, y, z) | a < x < b, c < y < d, u < z < v} ⊂ℝ3, G : B → ℝ என்க. பொருத்தமாக வரையறுக்கப்பட்ட λ, x, y, z -க்கு (λx, λy, λz) ∈ B எனில் G(λx, λy, λz) = λP G(x,y,z) ∀ λ∈ℝ எனுமாறு P என்ற ஒரு மாறிலி இருக்குமானால் சார்பு G என்பது B-ன் மீதான சமபடித்தான சார்பாக இருக்கும். இந்த மாறிலி P , G -ன் படி எனப்படும்.
குறிப்பு
எந்த மாறியைக் கொண்டும் வகுக்கக் கூடும் என்பதால் பூச்சியத்தால் வகுப்பதைத் தவிர்க்கவே λ, x, y, z என்பன பொருத்தமாக வரையறுக்கப்பட்டதாகக் கூறுகின்றோம்.
இதுபோன்ற சார்புகள் சாதாரண வகைக்கெழுச் சமன்பாடுகளில் (அத்தியாயம் 10) முக்கியமானவைகளாகும். சில எடுத்துக்காட்டுகளைக் காண்போம்
F(x,y) = x3 - 2y3 + 5xy2, (x,y) ∈ ℝ2 என்க. பின்பு
F(λx, λy) = (λx)3 - 2(λy) 3 + 5(λx)(λy) 2 = λ3(x3 - 2y3 + 5xy2)
எனவே F என்பது படி 3 உடைய சமபடித்தான சார்பாகும்.
மறுபுறம் G(x,y) = ex2 +3y2 என்பது சம்படித்தான சார்பு அல்ல ஏன் எனில் ஏதேனும் λ≠1 மற்றும் ஏதேனும் p - க்கு
G(λx, λy) = e(λx)2 + 3(λy)2 ≠ λPG(x,y)
எடுத்துக்காட்டு 8.21
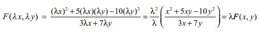
சார்பு F(x,y) = x2 + 5xy – 10y2 / 3x + 7y படி 1 உடைய சமபடித்தான சார்பு எனக்காட்டுக.
தீர்வு
எல்லா λ∈ℝ.
F(λx, λy) = (λx)2 + 5((λx)(λy) – 10(λy)2 / 3λx + 7λy = λ2 / λ(x2 + 5xy – 10y2 / 3x + 7y) =λF (x,y)

எனவே F ஆனது படி 1 உடைய சமபடித்தான சார்பு ஆகும். லியோனார்டு ஆய்லரின் சம்படித்தான சார்புகள் மீதான தேற்றத்தைக் கீழே காண்போம்.
வரையறை 8.13 (ஆய்லர்)
A= {(x,y)| a < b, c < y < d} ⊂ ℝ2, F : A → ℝ2 என்ற சார்பு A -ன் மீது தொடர்ச்சியான பகுதி வகைக்கெழு உடையதாகவும் படி p உடைய சமபடித்தானச் சார்பாகவும் இருக்குமானால்
x ∂F/∂x (x,y) + y ∂F/∂y (x,y) = pF(x,y) ∀ (x,y) ∈ A

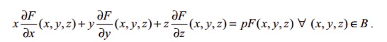
B = {(x,y,z) | a < x < b, c < y < d , u < z < v} ⊂ ℝ 3, F : B → ℝ 3 என்க. F என்ற சார்பு B -ன் மீது தொடர்ச்சியான பகுதி வகைக்கெழு உடையதாகவும் படி p உடைய சமபடித்தான சார்பாகவும் இருக்குமானால்
x ∂F/∂x (x,y,z) + y ∂F/∂y (x,y,z) + z ∂F/∂z (x,y,z) = pF (x,y,z) ∀ (x,y,z) ∈ B

மேற்கண்ட தேற்றம் n மாறிகளைக் கொண்ட எந்தவொரு சமபடித்தான சார்புக்கும் பொருந்தும். இது முதல் வகை பகுதி வகைக்கெழு காண்பதில் பயனுள்ளதாக இருக்கும்.
எடுத்துக்காட்டு 8.22
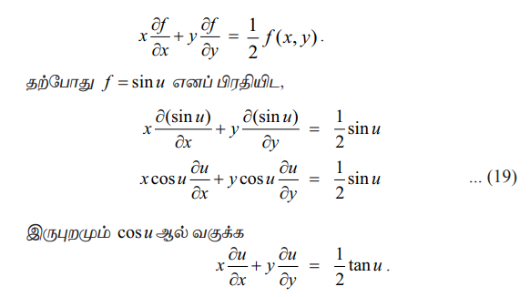
u = sin-1 (x+y / √x + √y ), எனில் x ∂u / ∂x + y ∂u / ∂y = 1/2 tan u என நிறுவுக.
தீர்வு
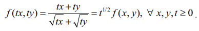
இங்கு கொடுக்கப்பட்ட சார்பு u சமபடித்தானது அல்ல. எனவே ஆய்லரின் தேற்றம் சார்பு u–க்குபயன்படுத்த முடியாது. இருப்பினும் f (x,y) = x+y / √x + √y = sin u என்பது சமபடித்தானது. ஏனெனில்
f (tx, ty) = tx+ty / √tx + √ty = t1/2 f (x,y), ∀ x, y,t ≥ 0

இங்கு f படி 1/2 உடைய சமபடித்தான சார்பாகும். எனவே, ஆய்லரின் தேற்றப்படி
x ∂f / ∂x + y ∂f / ∂y = 1/2 f (x,y)
தற்போது f = sin u எனப் பிரதியிட,
x ∂(sin u) / ∂x + y ∂(sin u) / ∂y = 1/2 sin u
x cos u ∂u/∂x + y cos u ∂u/∂y = 1/2 sin u ----------(19)
இருபுறமும் cosu ஆல் வகுக்க
x ∂u/∂x + y ∂u/∂y = 1/2 tan u

குறிப்பு :
இந்தக் கணக்கை நேரிடையான கணக்கீடுகள் மூலமும் காணலாம்; ஆனால் அந்தக் கணக்கீடு நீளமானதாக இருக்கும்.