வகையீடுகள் மற்றும் பகுதி வகைக்கெழுக்கள் | கணிதவியல் - பாடச்சுருக்கம் | 12th Maths : UNIT 8 : Differentials and Partial Derivatives
பாடச்சுருக்கம்
• f :(a,b) → ℝ என்பதை வகையிடத்தக்கச் சார்பாகவும், x0 ∈(a,b) எனவும் கொள்க. x0 என்ற புள்ளியில் f -ன் தோராய மதிப்பு L-ன் வரையறை
L(x) = f (x0) + f'(x0)(x - x0), ∀x ∈ (a,b) எனலாம்.
• மெய்மதிப்பு பூச்சியமற்றது எனில்
சார்பிழை = மெய்மதிப்பு - தோராய மதிப்பு / மெய்மதிப்பு
சதவீதப்பிழை = சார்பிழை x100
• x-ன் அதிகரிப்பு ∆x உடன் மற்றும் எல்லா x∈ (a,b) -க்கும் f:(a,b) → ℝ ஒருவகையிடத்தக்க சார்பு என்க . f -ன் வகையீடு df = f (x)∆x
• ஒரு மாறியில் அமைந்த சார்புகளுக்கான எல்லை விதிகள் (எல்லை தேற்றங்கள்) பலமாறிகளைக் கொண்ட சார்புகளுக்கும் பொருந்தும்.
• A = {(x,y) |a < x < b, c < y < d} ⊂ ℝ 2,F: A -→ ℝ மற்றும் (x0,y0) ∈ A என்க.
(i)
-ன் மதிப்பு காணப்பெறின் (x0,y0) ∈ A இல் F -க்கு x-ஐப்பொருத்த பகுதி வகைக்கெழு உள்ளது எனலாம். இந்த எல்லை மதிப்பு
எனக்குறிக்கப்படும்.
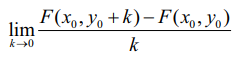
(ii)
(x0,y0 + k) - F (x0,y0) / k -ன் எல்லை மதிப்பு காணப்பெறின் (x0,y0)∈ A இல் F -க்கு y-ஐ பொருத்த பகுதிவகைக்கெழு உள்ளது எனலாம். இந்த எல்லை மதிப்பு
எனக்குறிக்கப்படும்.
• A = {(x,y)| a < x< b, c < y < d}⊂ ℝ2, F: A → ℝ என்க. A இல் fxy மற்றும் fyx. காணப்பெற்று அவை தொடர்ச்சியானதாகவும் இருக்குமானால் A இல் fxy = fyz A என இருக்கும்.
• A = {(x,y)| a < x < b, c < y < d}⊂ ℝ 2 என்க. சார்பு u: A → ℝ 2 என்பது ∂2u/∂x2 + ∂2u/∂y2 = 0, ∀ (x,y) ∈ A எனுமாறு இருக்குமானால் அது A -ல் சீரானது எனலாம். இது லாபிலாஸின் சமன்பாடு எனப்படும்.
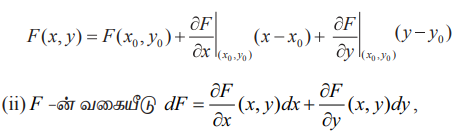
• A = {(x,y)|a < x < b, c < y < d}⊂ ℝ 2, F : A → ℝ , மற்றும் (x0,y0) ∈ A என்க.
(i) (x0,y0) ∈A என்ற புள்ளியில் F-ன் நேரியல் தோராய மதிப்பு
F(x,y) = F(x0,y0) + ∂F/∂x|(x0,y0) (x- x0) + ∂F/∂y|(x0,y0) (y – y0)
(ii) F -ன் வகையீடு dF = ∂F/∂x (x,y)dx + ∂F/∂y (x,y)dy,

இங்கு dx = ∆x, dy = ∆y என வரையறுக்கப்படுகிறது.
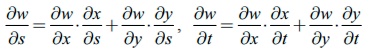
• W(x,y) என்பது ∂W/∂x , ∂W/∂y என்றபகுதி வகைக்கெழுக்கள் உள்ள x, y என்ற இரு மாறிகளில்அமைந்த சார்பு என்க. x, y என்ற இரு மாறிகளும் t என்ற ஒரு மாறியைப் பொருத்து வகையிடக்கூடிய சார்புகள் எனில் W -ம் t-ஐப் பொருத்து வகையிடக்கூடிய சார்பாகும்.
∂W/dt = ∂W/∂x dx/dt + ∂W/∂y dy/dt
• W (x,y) என்பது x,y என்ற இரு மாறிகளில் அமைந்த ∂W/∂x , ∂W/∂y என்ற பகுதி வகைக்கெழுக்கள் கொண்ட சார்பு என்க. x = x(s,t) மற்றும் y = y(s,t), S, t ∈R என்ற இரு மாறிகளுக்கும் S மற்றும் t-ஐப் பொருத்த பகுதி வகைக்கெழுக்கள் உண்டு எனில்,
∂W/∂s = ∂W/∂x ∂x/∂s + ∂W/∂y ∂y/∂s, ∂W/∂t = ∂W/∂x ∂x/∂t + ∂W/∂y ∂y/∂t

• A = {(x,y)| a < x < b, c < y < d} ⊂ ℝ2, F: A → ℝ2 என்க. F என்ற சார்பு Aஇன் மீதுதொடர்பகுதி வகைக்கெழு உடையதாகவும் படி p உடைய சம்படித்தான சார்பாகவும்இருக்குமானால், x ∂F/∂x + y ∂F/∂y = pF -ஐ நிறைவு செய்யும்.