கேள்வி பதில்கள் மற்றும் தீர்வுகள் - பயிற்சி 1.1 : கார்டீசியன் பெருக்கல் | 10th Mathematics : UNIT 1 : Relation and Function
பயிற்சி 1.1
1. பின்வருவனவற்றிற்கு A × B, A × A மற்றும் B × A ஐக் காண்க.
(i) A= {2, −2, 3} மற்றும் B = {1, −4} (ii) A = B = {p, q} (iii) A = {m, n} ; B = ɸ

2. A = {1,2,3} மற்றும் B = {x | x என்பது 10-ஐ விடச் சிறிய பகா எண்} எனில், A × B மற்றும் B × A ஆகியவற்றைக் காண்க.

3. B × A = {(-2, 3), (-2, 4), (0, 3), (0,4), (3,3), (3,4)} எனில், A மற்றும் B ஆகியவற்றைக் காண்க.

4. A = {5, 6}, B = {4, 5, 6}, C = {5, 6, 7} எனில், A × A = (B × B) ∩ (C ×C) எனக் காட்டுக.

5. A = {1,2,3}, B = {2,3,5}, C = {3,4} மற்றும் D = {1,3,5} எனில் (A ∩ C) × (B ∩ D) = (A × B) ∩ (C × D) என்பது உண்மையா என சோதிக்கவும்.

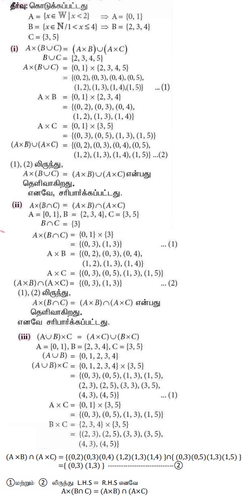
6. A = {x ∈ W | x < 2}, B = {x ∈ N | 1 < x ≤ 4} மற்றும் C = {3, 5} எனில், கீழேக் கொடுக்கப்பட்டுள்ள சமன்பாடுகளைச் சரிபார்க்க.
(i) A × (B ∪ C) = (A × B) ∪ (A × C)
(ii) A × (B ∩ C) = (A × B) ∩ (A × C)
(iii) (A ∪ B) × C = (A × C) ∪ (B × C)

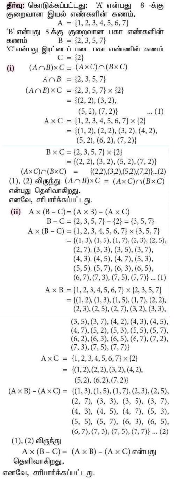
7. A என்பது 8-ஐ விடக் குறைவான இயல் எண்களின் கணம், B என்பது 8 - ஐ விடக் குறைவான பகா எண்களின் கணம் மற்றும் C என்பது இரட்டைப்படை பகா எண்களின் கணம் எனில், கீழ்கண்டவற்றைச் சரிபார்க்க.
(i) (A ∩ B) × C = (A × C) ∩ (B × C)
(ii) A × (B −C) = (A × B) − (A × C)

விடைகள்:
1. (i)
A × B = {(2, 1), (2, − 4), (−2, 1), (− 2, −4), (3, 1), (3, −4)}
A × A = {(2, 2), (2, − 2), (2, 3), (−2, 2), (− 2, −2), (− 2, 3), (3, 2), (3, −2), (3, 3)}
B × A = {(1, 2), (1, − 2), (1, 3), (−4, 2), (− 4, −2), (−4, 3)}
(ii) A × B = {(p, p) (p, q) (q, p) (q, q)}; A × A = {(p, p), (p, q), (q, p), (q, q)};
B × A = {(p, p), (p, q), (q, p), (q, q)}
(iii) A × B = { }; A × A = {(m, m ),(m, n),(n, m ),(n, n)}; B × A = { }
2. A × B = {(1, 2), (1, 3), (1, 5), (1, 7), (2, 2), (2, 3), (2, 5), (2, 7), (3, 2), (3, 3), (3, 5), (3, 7)}
B × A = {(2, 1), (2, 2), (2, 3), (3, 1), (3, 2), (3, 3), (5, 1), (5, 2), (5, 3), (7, 1), (7, 2), (7, 3)}
3. A = {3, 4} B = {−2, 0, 3}
5. உண்மை.