கேள்வி பதில்கள் மற்றும் தீர்வுகள் - பயிற்சி 1.3 : சார்புகள் | 10th Mathematics : UNIT 1 : Relation and Function
பயிற்சி 1.3
1. f = {(x,y) | x,y ∈ N and y = 2x} மற்றும் y = 2x} ஆனது N -ன் மீதான ஓர் உறவு என்க. மதிப்பகம், துணை மதிப்பகம் மற்றும் வீச்சகத்தைக் காண்க. இந்த உறவு சார்பாகுமா?

2. X = {3, 4, 6, 8} என்க. R = {(x, f (x)) | x ∈ X, f (x) = x2 + 1} என்ற உறவானது X-லிருந்து N-க்கு ஒரு சார்பாகுமா?

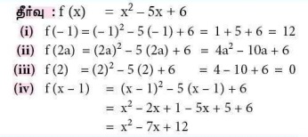
3. கொடுக்கப்பட்ட சார்பு f : x → x2 − 5x + 6 , எனில்,
(i) f (-1) (ii) f (2a) (iii) f (2) (iv) f (x - 1) ஆகியவற்றை மதிப்பிடுக.

4. படம் 1.16-ல் கொடுக்கப்பட்ட வரைபடம் f (x)-யின் மூலமாக, f(9) = 2 என்பது தெளிவாகிறது.

(i) பின்வரும் சார்புகளின் மதிப்புகளைக் காண்க
(அ) f (0)
(ஆ) f (7)
(இ) f (2)
(ஈ) f (10)
(ii) x-இன் எம்மதிப்பிற்கு f (x) = 1 ஆக இருக்கும்?
(iii) படம் 1.16 யில் (1) மதிப்பகம் (2) வீச்சகம் காண்க.
(iv) f என்ற சார்பில் 6-ன் நிழல் உரு என்ன?

5. f(x) = 2x+5 என்க. x ≠ 0 எனில்,
-ஐக் காண்க

6. ஒரு சார்பு f ஆனது f(x) = 2x - 3 என வரையறுக்கப்பட்டால்
(i) [f (0) + f (1)] / 2. -ஐக் காண்க
(ii) f (x) = 0 எனில், x ஐக் காண்க.
(iii) f (x) = x எனில் x - ஐக் காண்க
(iv) f (x) = f(1 – x) எனில் x ஐக் காண்க.

7. 24 செ.மீ பக்க அளவுள்ள சதுர வடிவத் துண்டிலிருந்து நான்கு மூலைகளிலும் சம அளவுள்ள சதுரங்களை வெட்டி படம் 1.17-ல் உள்ளவாறு மேல்புறம் திறந்த ஒரு பெட்டி செய்யப்படுகிறது. இந்தப் பெட்டியின் கன அளவு V எனில், V ஐ x-யின் சார்பாகக் குறிப்பிடுக.


8. f என்ற சார்பு f(x) = 3 - 2x என வரையறுக்கப்படுகிறது. f (x2) = (f (x))2 எனில் x-ஐக் காண்க.

9. ஒரு விமானம் 500 கி.மீ/மணி வேகத்தில் பறக்கிறது. விமானம் 'd' தொலைவு செல்வதற்கு ஆகும் காலத்தை t (மணியில்) -ன் சார்பாக வெளிப்படுத்துக.

10. அருகில் உள்ள அட்டவணையில் நான்கு நபர்களின் முன்னங்கைகளின் நீளம் மற்றும் அவர்களுடைய உயரங்களின் தகவல்கள் வழங்கப்பட்டுள்ளன. அந்த விவரங்களின் அடிப்படையில் ஒரு மாணவர், உயரம் (y) மற்றும் முன்னங்கை நீளம் (x)- க்கான உறவை y = ax + b எனக் கண்டுபிடித்தார். இங்கு a மற்றும் b ஆகியவை மாறிலிகள்.

(i) இந்த உறவானது சார்பாகுமா என ஆராய்க.
(ii) a மற்றும் b -ஐக் காண்க .
(iii) முன்னங்கையின் நீளம் 40 செ.மீ எனில், அந்த நபரின் உயரத்தைக் காண்க.
(iv) உயரம் 53.3 அங்குலம் எனில், அந்த நபரின் முன்னங்கையின் நீளத்தைக் காண்க.

விடைகள்:
1. { ,1 234 , , ,...} , {1,2,3,4,...}, {2, 4, 6, 8,...} , ஆம்.
2. ஆம்
3.(i) 12 (ii) 4a2 − 10a + 6 (iii) 0 (iv) x2 − 7x + 12
4.(i) (a) 9 (b) 6 (c) 6 (d) 0
(ii) 9.5 (iii) (a) {x / 0 ≤ x ≤ 10, x ∈ R} (b) {x / 0 ≤ x ≤ 9, x ∈ R} (iv) 5
5. 2
6.(i) -2 (ii) 3/2 (iii) 3 (iv) 1/2
7. 4x3 − 96x2 + 576x
8. 1
9. 500t
10. (i) ஆம் (ii) 0.9,24.5 (iii) 60.5 அங்குலம் (iv) 32 செ.மீ