கேள்விகளுக்கான பதில்கள், தீர்வுகள் - பயிற்சி 3.5: கூடுதல் விவரம் இல்லாத பல்லுறுப்புக்கோவைச் சமன்பாடுகள் (Polynomial Equations with no Additional Information) | 12th Maths : UNIT 3 : Theory of Equations
Posted On : 23.02.2024 06:32 am
12 ஆம் வகுப்பு கணிதம் : அத்தியாயம் 3 : சமன்பாட்டியல்
பயிற்சி 3.5: கூடுதல் விவரம் இல்லாத பல்லுறுப்புக்கோவைச் சமன்பாடுகள் (Polynomial Equations with no Additional Information)
12 ஆம் வகுப்பு கணிதம் : அத்தியாயம் 3 : சமன்பாட்டியல் : பயிற்சி 3.5: கூடுதல் விவரம் இல்லாத பல்லுறுப்புக்கோவைச் சமன்பாடுகள் (Polynomial Equations with no Additional Information) : பல்வேறு வினாக்களுக்கான பதில்கள் மற்றும் தீர்வுகள்
பயிற்சி 3.5
1. பின்வரும் சமன்பாடுகளைத் தீர்க்க
(i) sin2x − 5 sin x + 4 = 0
(ii) 12x3 + 8x = 29x2 − 4

2. விகிதமுறு மூலங்கள் உள்ளதா என ஆராய்க.
(i) 2x3 − x2 −1 = 0
(ii) x8 − 3x + 1 = 0 .

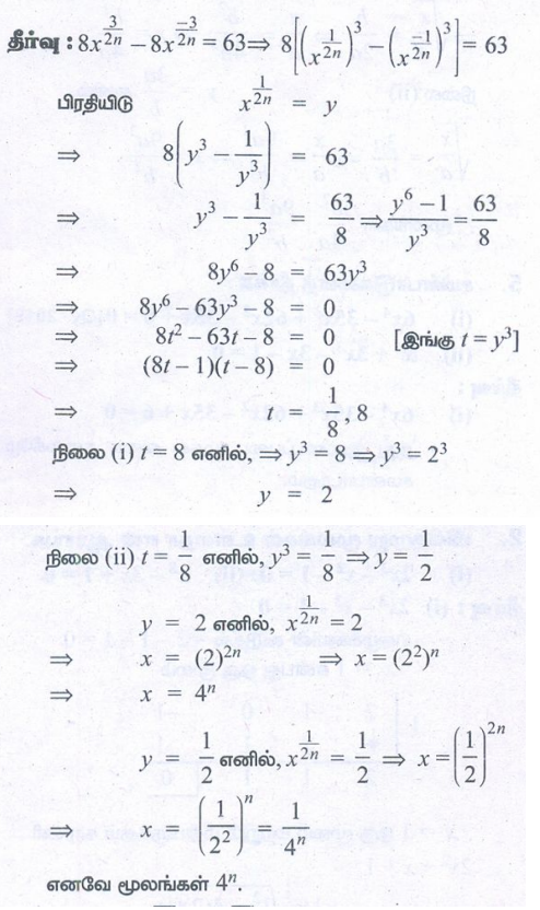
3. தீர்க்க : 8x3/2n − 8x−3/2n = 63

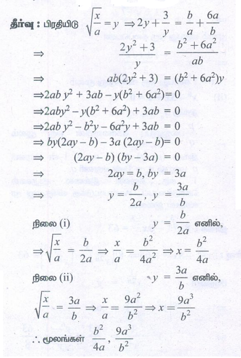
4. தீர்க்க : 

5. சமன்பாடுகளைத் தீர்க்க:
(i) 6x4 − 35x3 + 62x2 − 35x + 6 = 0
(ii) x4 + 3x3 − 3x – 1 = 0

6. 4x − 3(2x+2) + 25 = 0 எனும் சமன்பாட்டை நிறைவு செய்யும் அனைத்து மெய்யெண்களையும் காண்க.

7. 6x4 − 5x3 − 38x2 − 5x + 6 = 0எனும் சமன்பாட்டின் ஒரு தீர்வு 1/3 எனில், சமன்பாட்டின் தீர்வு காண்க.

Tags : Problem Questions with Answer, Solution கேள்விகளுக்கான பதில்கள், தீர்வுகள்.
12th Maths : UNIT 3 : Theory of Equations : Exercise 3.5: Polynomial Equations with no Additional Information Problem Questions with Answer, Solution in Tamil : 12th Standard
Tamil Medium School Samacheer Book Back Questions and answers, Important Question with Answer.
12 ஆம் வகுப்பு கணிதம் : அத்தியாயம் 3 : சமன்பாட்டியல் : பயிற்சி 3.5: கூடுதல் விவரம் இல்லாத பல்லுறுப்புக்கோவைச் சமன்பாடுகள் (Polynomial Equations with no Additional Information) - கேள்விகளுக்கான பதில்கள், தீர்வுகள் : 12 ஆம் வகுப்பு
புத்தகம் கேள்விகள் மற்றும் பதில்கள்.