ஈர்ப்பியல் | இயற்பியல் - புத்தக பயிற்சிக் கணக்குகள் | 11th Physics : UNIT 6 : Gravitation
ஈர்ப்பியல் (இயற்பியல்)
கணக்குகள்
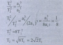
1. அடையாளம் தெரியா கோளானது புவியின் அரை நெட்டச்சு போல இரு மடங்கு உடைய ஆரப்பாதையில் சூரியனை வலம் வருகிறது. புவியின் சுழற்சிக்காலம் T1 எனில் அக்கோளின் சுழற்சி காலம் காண்க.
தீர்வு:
புவியின் சுற்றுக்காலம் = T1
புவியின் அரை நெட்டச்சு = a1 என்க.
அடையாளம் தெரியாத கோளின் சுற்றுக்காலம் = T2
அடையாளம் தெரியாத கோளின் அரை நெட்டச்சு = a2 என்க. a2 = 2a, கெப்ளர் 3ம் விதிப்படி
T12 α a13
T22 α a23

T2 =2√2T1
விடை : T2 = 2 √2T1
2. புதியதாக கண்டறியப்பட்ட ஒரு சூரிய குடும்பத்தில் உள்ள கோள் பற்றிய தகவல் தரப்பட்டடுள்ளதாக கருதுக. அக்கோள்களின் அரை நெட்டச்சுக்கும் சுற்றுக்காலத்திற்கும் உள்ள தொடர்பு யாது?

தீர்வு :
குறிஞ்சிக்கு T12 αa31 T1 = 2 a1 = 8
a1 = 8 = 23 எனவே 2 = 2T12 என்றாகிறது.
இதைப் போலவே
முல்லைக்கு T2 = 3, a2 = 18 = 2(3)2 = 2 T22
மருதத்திற்க்கு T3 = 4, a3 = 32 = 2(4)2 = 2T32
நெய்தல்-க்கு T4 = 5, a4 = 50 = 2(5)2 = 2T42
பாலைக்கு T5 = 6, a5 = 72 = 2(6)2 = 2 T52
ஃ a α 2T2 என்ற தொடர்பை பெறலாம்.
விடை : a ∝ 2T2
3. இரு நிறைகளும் மற்றும் அந்நிறைகளுக்கு இடையேயான தொலைவும் இரு மடங்கு ஆக்கப்பட்டால் அவற்றுக்கு இடையே உள்ள ஈர்ப்பு விசையில் ஏற்படும் மாற்றம் யாது?
விடை : மாற்றம் இல்லை
தீர்வு : F = GM1M2/r2
நிறைகளும் தொலைவும் இரு மடங்காக்கப் பட்டால் ஈர்ப்பு விசை
F’ = G2M1 2M2 / (2r2)
= GM1M2/r2
⸫ F' = F
ஈர்ப்பு விசை மாறாது
விடை : மாற்றம் இல்லை
4. நிறை m மற்றும் 4m உடைய இரு பொருள்கள் r தொலைவில் அமைந்துள்ளன. இரு பொருள்களையும் இணைக்கும் கோட்டில் ஒரு புள்ளியில் ஈர்ப்பு புலம் சுழி என்றால் அப்புள்ளியில் ஈர்ப்புத் தன்னிலை ஆற்றலை கண்டறிக?

தீர்வு:
நிறை m ஐப் பொருத்து ஈர்ப்பியல் விசை = Gm/x2
4m ஐப் பொருத்து ஈர்ப்பியல் விசை = G.4m / (r-x)2
இரு பொருள்களையும் இணைக்கும் கோட்டில் உள்ள புள்ளியில் ஈர்ப்புப்புலம் சுழி எனில்

விடை : V = −9Gm/r
5. சூரியனிலிருந்து இரு கோள்கள் உள்ள தொலைவுகளின் தகவு d1/d2 = 2, எனில் இரு கோள்கள் உணரும் ஈர்ப்பு புல வலிமைகளின் தகவு யாது?
தீர்வு : இரு கோள்கள் உள்ள தொலைவுகளின் தகவு d1/d2 = 2
இரு கோள்கள் உணரும் ஈர்ப்புப் புல வலிமைகளின் தகவு E1/E2 = ?
ஈர்ப்புப் புல வலிமை E = GM/x2

விடை : E2 = 4 E1
6. வியாழனின் துணைக்கோளில் ஒன்றான I0. ஆனது வியாழனை 1.769 நாட்களுக்கு ஒரு முறை சுற்றி வருகிறது. அத்துணைக் கோளின் சுற்றுப் பாதையின் ஆரம் 4, 21, 700 km எனில் வியாழன் கோளின் நிறை காண்க.
தீர்வு : I0 ன் சுற்றுக்காலம் (T) = 1.769 நாள்
I0 ன் சுற்றுப்பாதை ஆரம் (r) = 421700 km
= 4.217 x 108m

= 1.898 × 1027 kg
விடை : 1.898 × 1027 kg
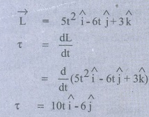
7. ஒரு கோளின் கோண உந்தம்
= 5 t 2iˆ −6tjˆ +3kˆ எனில் கோளின் மீது செயல்படும் திருப்பு விசை யாது? திருப்பு விசை, கோண உந்தத்தின் திசையில் செயல்படுமா?
தீர்வு : கோளின் கோண உந்தம்

திருப்பு விசை செங்குத்து திசையில் செயல்படும்
விடை : 
8. சம நிறை M உடைய நான்கு நிறைகள் ஒவ்வொன்றும் சம தொலைவில் உள்ளன. அவற்றுக்குகிடையேயான ஈர்ப்பு விசை கவர்ச்சியால் ஆரம் R உடைய வட்டப்பாதையில் அத்துகள்கள் இயங்குகின்றன. ஒவ்வொரு துகளின் வேகத்தை கணக்கிடுக.
தீர்வு :
● நிறைகளுக்கிடையேயான மொத்த ஈர்ப்பு விசை = மைய நோக்கு விசை
A மற்றும் B க்கு இடையேயான விசை

F1 மற்றும் F2 விசைகளின் கூறுகள் ஆரம் வழியே செல்வதால்
F1 cos 45° மற்றும் F2 cos 45° (F1 = F2 = F)
மொத்த விசை = 2F cos 45° + F3


9. ஈர்ப்பியல் மாறிலி G = 6.67 × 10-11 மதிப்புக்கு பதிலாக G = 6.67 × 1011 என தவறாக எழுதப்பட்டது என்று வைத்து கொள்வோம். இத்தவறான மதிப்பு கொண்டு பெறும் ஈர்ப்பின் முடுக்கம் g' மதிப்பு யாது? இப்புதிய ஈர்ப்பின் முடுக்கத்தின் அடிப்படையில் உனது எடை யாது?
ஈர்ப்பு மாறிலி G = 6.67 × 10-11
தவறான ஈர்ப்பியல் மாறிலி G' = 6.67 × 10-11 என்க.
புவியின் நிறை M = 6.024 × 1024 Kg
புவியின் ஆரம் R = 6.4 × 106 m
புவியீர்ப்பு முடுக்கம் g = 9.8m/s2
g' = ?

விடை : 1022 g, W' = 1022W
10. படத்தில் காட்டியுள்ளபடி நிறைகள் m1, m2, m3 அமைந்துள்ளன. இவ்வமைப்பால் புள்ளி O வில் ஏற்படும் ஈர்ப்பு புலத்தை காண்க. நிறைகள் m1 = m2 எனில் புள்ளி 'O' வில் ஈர்ப்பு புலத்தில் ஏற்படும் மாறுபாடு யாது?

தீர்வு :

11. புவி மற்றும் சூரியன் அமைப்பின் ஈர்ப்பு நிலை ஆற்றல் யாது? (புவியின் நிறை = 5.9 × 1024 kg மற்றும் சூரியனின் நிறை = 1.9 × 1030 Kg) புவிக்கும் சூரியனுக்கும் உள்ள தொலைவு = 150 மில்லியன் கிலோ மீட்டர் (தோராயமாக)
தீர்வு :
புவியின் நிறை Mc = 5.9 × 1024 kg
சூரியனின் நிறை Ms = 1.9 × 1030 kg
புவிக்கும் சூரியனுக்கும் உள்ள தொலைவு
R = 150 மில்லியன் கி.மீ = 150 × 109 m
G = 6.67 × 10-11

விடை : V = -49.84 × 1032 Joule
12. சூரியனை புவி சுற்றும் வேகம் 30 kms-1 எனில் புவியின் இயக்க ஆற்றலை கணக்கிடுக. முந்தையை கணக்கில் புவியின் ஈர்ப்பு நிலை ஆற்றலை கணக்கிட்டாய். அதன்படி புவியின் மொத்த ஆற்றல் யாது? மொத்த ஆற்றல் நேர்க்குறி தன்மை யுடையதா? இல்லை எனில் காரணம் யாது?
தீர்வு :
புவியின் நிறை Me = 5.9 × 1024 kg
சூரியனை புவி சுற்றும் வேகம்
(V) = 30 kms-1 = 30 × 103 ms-1

= 2655 × 1030
K.E = 26.55 × 1032 J
புவிக்கும் சூரியனுக்குமான ஈர்ப்பு நிலை ஆற்றல்
U = -49.84 × 1032 J
ஃமொத்த ஆற்றல் E = U + K.E
= (-49.84 + 26.55) × 1032
E = -23.29 × 1032J
விடை : K.E = 26.5 × 1032 J
E = −23.29 × 1032 J
மொத்த ஆற்றல் எதிர்க்குறி (-) தன்மை உடையது. காரணம் புவி சூரியனுடன் பிணைக்கப்பட்டுள்ளதை எதிர்க்குறி (-) குறிக்கிறது.
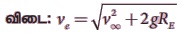
13. புவிப் பரப்பிலிருந்து எறியப்பட்ட பொருள் ஒன்று சுழி அல்லாத இயக்க ஆற்றலுடன்
ஈறிலாத் தொலைவை அடைகிறது. எனில் புவிப்பரப்பிலிருந்து அப் பொருள் எறியப்பட்ட வேகம் யாது?
புவிப்பரப்பில் மொத்த ஆற்றல்
Er = KE(r) + U(r)


14. புவிப் பரப்புக்கு மேலே 200 km உயரத்திலும் மற்றும் கீழே 200 km ஆழத்திலும் ஈர்ப்பின் முடுக்கம் g மதிப்பு யாது? எந்நிலையில் g மதிப்பு குறைவாக இருக்கும்?
தீர்வு:
புவியின் ஆரம் Re = 6400 km

200 km உயரத்தில் g மதிப்பு குறைவாக இருக்கும்.

15. உன் மாவட்ட தலைநகரத்தில் ஈர்ப்பின் முடுக்கம் g மதிப்பு காண்க. (குறிப்பு - கூகுள் தேடுதல் மூலம் குறுக்குகோட்டு மதிப்பு பெறுக) gன் மதிப்பு சென்னையிலிருந்து கன்னியாகுமரியில் எவ்வாறு மாறுபடுகிறது?
Δg = 0.031 ms-2
ge = g - ω2R cos2𝜆; 𝜆 = 13°
= 9.8 - (3.4 × 10-2) × (0.9492)
= 9.7677 ms-2
= 9.8- (3.4 × 10-2) × (0.9804) [ ⸪ 𝜆 = 8°)
= 9.7667 ms-2
Δg = 9.7667 - 9.7667
Δg = 0.001 ms-2
