கேள்விகளுக்கான பதில்கள், தீர்வுகள் - பயிற்சி 7.4 : தொடரின் விரிவுகள் (Series Expansions) : டெய்லரின் தொடர் மற்றும் மெக்லாரனின் தொடர் | 12th Maths : UNIT 7 : Applications of Differential Calculus
Posted On : 22.09.2022 03:47 am
12 ஆம் வகுப்பு கணிதம் : அத்தியாயம் 7 : வகை நுண்கணிதத்தின் பயன்பாடுகள்
பயிற்சி 7.4 : தொடரின் விரிவுகள் (Series Expansions) : டெய்லரின் தொடர் மற்றும் மெக்லாரனின் தொடர்
கணக்கு புத்தக பயிற்சி வினாக்கள் மற்றும் தீர்வுகள் - கணிதவியல் : வகை நுண்கணிதத்தின் பயன்பாடுகள் : தொடரின் விரிவுகள் (Series Expansions) : டெய்லரின் தொடர் மற்றும் மெக்லாரனின் தொடர்
பயிற்சி 7.4
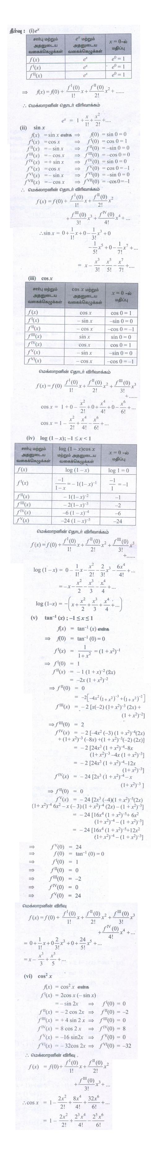
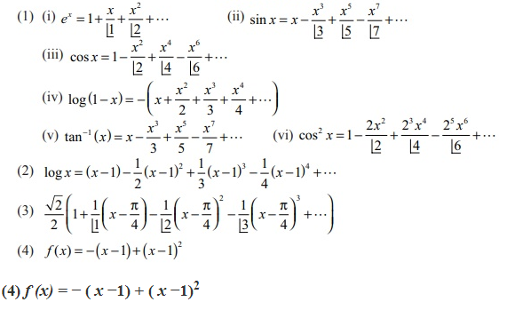
1. கீழ்க்காணும் சார்புகளுக்கு மெக்லாரனின் விரிவைக் காண்க:
(i) ex
(ii) sin x
(iii) cos x
(iv) log(1 – x);-1 ≤ x < 1
(v) tan-1(x) ;-1 ≤ x ≤ 1
(vi) cos2 x
தீர்வு :

2. logx, x > 0 என்ற சார்பின் டெய்லர் தொடரின் விரிவை x = 1-ஐ பொருத்து முதல் மூன்று பூச்சியமற்ற உறுப்புகள் வரை காண்க.
தீர்வு :

3. sin x -ன் விரிவை x – π/4 -ன் அடுக்குகளாக முதல் மூன்று பூச்சியமற்ற உறுப்புகள் வரை காண்க.
தீர்வு :

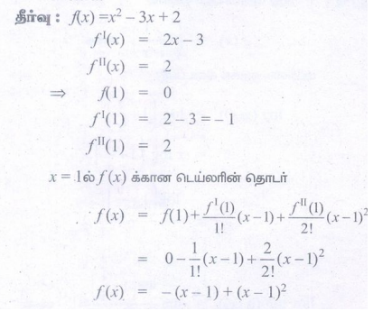
4. f (x) = x2 - 3x + 2 என்ற பல்லுருப்புக் கோவையின் வரிசை x- 1-ன் அடுக்குகளாக காண்க.
தீர்வு :

பயிற்சி 7.4

Tags : Problem Questions with Answer, Solution கேள்விகளுக்கான பதில்கள், தீர்வுகள்.
12th Maths : UNIT 7 : Applications of Differential Calculus : Exercise 7.4 : Series Expansions: Maclaurin’s and Taylor’s Series Problem Questions with Answer, Solution in Tamil : 12th Standard
Tamil Medium School Samacheer Book Back Questions and answers, Important Question with Answer.
12 ஆம் வகுப்பு கணிதம் : அத்தியாயம் 7 : வகை நுண்கணிதத்தின் பயன்பாடுகள் : பயிற்சி 7.4 : தொடரின் விரிவுகள் (Series Expansions) : டெய்லரின் தொடர் மற்றும் மெக்லாரனின் தொடர் - கேள்விகளுக்கான பதில்கள், தீர்வுகள் : 12 ஆம் வகுப்பு
புத்தகம் கேள்விகள் மற்றும் பதில்கள்.