வகையிடலின் பொருள் | கணிதவியல் - மாறுபடு வீதத்தினை வகையிடல் மூலம் காணுதல் (Derivative as rate of change) | 12th Maths : UNIT 7 : Applications of Differential Calculus
மாறுபடு வீதத்தினை வகையிடல் மூலம் காணுதல் (Derivative as rate of change)
சாய்வைத் தீர்மானிக்க எவ்வாறு வகையிடல் பயன்படுகிறது என்பதைக் கண்டோம். ஒரு மாறி மற்றொன்றைப் பொறுத்து மாறும் வீதத்தைக் கணக்கிடவும் வகையிடல் பயன்படுகிறது. மக்கள் தொகை வளர்ச்சி வீதம், பொருட்களின் வளர்ச்சி வீதம், நீரோட்ட வீதம், திசை வேகம், மற்றும் முடுக்கம் ஆகியவை ஒரு சில எடுத்துக்காட்டுகளாகும்.
மாறுபாட்டு வீதத்தின் பொதுவான பயன்பாடு ஒரு நேர்க்கோட்டில் நகரும் ஒரு பொருளின் இயக்கத்தை விவரிப்பதாகும். அத்தகு கணக்குகளில் பொருளின் இயக்கப்பாதைக்காக ஆதிபுள்ளியைக் கொண்ட ஒரு கிடைமட்ட அல்லது செங்குத்துக் கோட்டினைப் பயன்படுத்துவது வழக்கம். இத்தகைய கோடுகளில், முன்னோக்கிய திசையை மிகை திசை எனவும் பின்னோக்கிய திசையை குறை திசை எனவும் பொருள்படும்.
ஒரு பொருளின் நிலையை (ஆதிப்புள்ளியைச் சார்ந்து) நேரச் சார்பாகத் தரும் சார்பு S என்பது இடச் சார்பு என அழைக்கப் படுகிறது. அதனை S = f (t) எனக் குறிப்பிடலாம். t நேரத்தில் திசைவேகம்
v(t) = ds/dt, மற்றும் முடுக்கம் a(t) = dv/dt = d2s / dt2 ஆகும்.
குறிப்புரை
பின்வரும் கருத்துக்கள் கவனிக்க எளிதானவை:
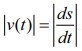
(1) திசைவேகத்தின் எண்ணளவு வேகம் ஆகும். அதாவது வேகம் திசையைப் பொறுத்து அமைவதில்லை . எனவே, வேகம் = |v(t)| = |ds/dt|
வேகம் = 
(2) • ஒரு துகள் ஓய்வு நிலையில் இருக்கும் பொழுது v(t) = 0 ஆகும்.
• ஒரு துகள் முன்னோக்கி நகரும்பொழுது v(t) > 0 ஆகும்.
• ஒரு துகள் பின்னோக்கி நகரும்பொழுது v(t) < 0 ஆகும்.
• ஒரு துகள் அதன் திசையை மாற்றும்பொழுது v(t)-ன் குறியீடு மாறும்.
(3) t1 மற்றும் t2 -க்கு இடையே உள்ள நேரம் tc -ஐ (t1<tc<t2) துகள் திசை மாறும் நேரமாகக் கொண்டால் t1 மற்றும் t2 -க்கு இடையே உள்ள நேரத்தில் துகள் பயணிக்கும் தொலைவு |s(t1) – s(tc)| + | s(tc) - s(t2) எனக் கணிக்கப்படுகிறது.
(4) பூமியின் தரையில் ஒரே மாதிரியான மாறாத முடுக்கத்துடன் அனைத்து பொருட்களும் விழுகின்றன. காற்றின் தடை அறவே இல்லாத சமயத்தில் அல்லது குறிப்பிடத்தக்க அளவு இல்லாத நிலையில் விழுகின்ற பொருளின் மேல் இயங்கும் ஒரே விசை ஈர்ப்பு விசையாகும். இத்தகைய விழுதலைக் கட்டற்ற விழல் என்பர்.
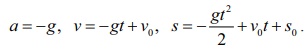
t = 0 நேரத்தில் S0 உயரத்திலிருந்து துவக்க திசைவேகம் V0 -உடன் எறியப்படும் ஒரு பொருளானது
α = -g, v = -gt + v0, S = - gt2/2 + v0t + S0 எனும் சமன்பாடுகளை நிறைவு செய்யும்.

இங்கு, g = 9.8 மீ/வி2 அல்லது 32 அடி / வி2 எடுத்துக்காட்டுகள் சிலவற்றைக் காண்போம்.
1. கிடைமட்ட நீளத்தைப் பொறுத்து மாறும் செங்குத்து நீளத்தின் வீதம் சாய்வு எனப்படும்.
2. நேரத்தைப் பொறுத்து இடப்பெயர்ச்சியில் ஏற்படும் மாற்றத்தின் வீதம் திசைவேகம் ஆகும்.
3. நேரத்தைப் பொறுத்து திசைவேகத்தில் ஏற்படும் மாற்றத்தின் வீதம் முடுக்கம் ஆகும்.
4. கிடைமட்ட தூரத்தைப் பொறுத்து மலையின் செங்குத்து ஏற்றத்தில் ஏற்படும் வீதம் மலைப்பகுதியின் சாய்வு ஆகும்.
கீழ்க்காணும் இரு சூழ்நிலைகளைக் கருதுவோம்:
• தர்மபுரிக்கு சென்னையிலிருந்து ஒரு நபர் ஒரு மகிழுந்தை தொடர்ந்து ஓட்டிச் செல்கிறார். பயணித்த தூரம் (கிலோமீட்டரால் அளவிடப்படுகிறது) காலத்தின் (மணி நேரத்தில் அளவிடப்படுகிறது) சார்பாக D(t) எனக் குறிக்கப்படுகிறது. D'(3) = 70 என்பதன் பொருள் என்ன?
இதன் பொருள், “t = 3 எனும் போது தூரத்தின் வீதம் மணிக்கு 70 கி.மீ ஆகும்”
• ஒரு நீர் ஆதாரம் t காலத்தைப் பொறுத்து வடிகிறது. t நாட்களில் வடிந்த நீரின் அளவினை V(t) எனக் கொண்டால், y =V(t) எனும் வளைவரையின் தொடுகோட்டின் சாய்வு t = 7 எனும்போது -3 ஆகும் என்பதன் பொருள் என்ன?
“ஏழாம் நாளில் நாளுக்கு 3 அலகுகள் வீதம் நீர் வடிகிறது” என்பதே இதன் பொருளாகும். இதேபோன்று நம் அன்றாட வாழ்வியல் கணக்குகளில் மாறுபாட்டு வீதக் கருத்துக்களைப் பயன்படுத்துகிறோம். இன்னும் பல எடுத்துக்காட்டுகளின் வாயிலாக இதனை விளக்குவோம்.
எடுத்துக்காட்டு 7.2
இருமுனைகளிலும் காப்பிடப்பட்ட 10மீ நீளமுள்ள ஒரு கம்பியின் வெப்பநிலை செல்சியஸில் நீளம் x சார்பாக T = x(10-x) எனத் தரப்படுகிறது. கம்பியின் மையப்புள்ளியில் வெப்பநிலை மாறுபாட்டு வீதம் பூச்சியம் என்பதை நிரூபிக்க.
தீர்வு
T =10x – x2 எனக் கொடுக்கப்பட்டுள்ளது. எனவே ஒரு முனையிலிருந்து எந்த அளவு தூரத்திலும்
வெப்பநிலை மாறுபாட்டு வீதமானது dT/dx = 10 - 2x ஆகும். கம்பியின் மையப்புள்ளி x = 5 - ல் உள்ளது.
x = 5 எனப்பிரதியிட, dT/dx = 0 எனக்கிடைக்கும்.
எடுத்துக்காட்டு 7.3
ஒரு ஆங்கிலத்தேர்விற்கு ஒருவர் 100 சொற்களைக் கற்கிறார். கற்றபின், t நாட்களுக்குப் பிறகு அவர் நினைவிலிருக்கும் சொற்களின் எண்ணிக்கை W(t) = 100 × (1-0.1t)2, 0 ≤ t ≤ 10 ஆகும். கற்றபின், 2 நாட்களுக்குப் பிறகு அவர் சொற்களை மறப்பதன் வீதம் என்ன?
தீர்வு
d/dt W(t) = -20 × (1-0.1t).
எனவே t = 2 எனும்போது d/dt W(t) = -16
அதாவது, கற்றபின்னர் 2 நாட்களுக்குப் பிறகு 16 சொற்கள்/நாள் என்ற வீதத்தில் மறப்பார்.
எடுத்துக்காட்டு 7.4
s(t) = t3/3 – t2 +3 எனும் விதிப்படி ஒரு துகள் நகரும் தூரம் அமைகின்றது. எந்தெந்த நேரங்களில்அதன் திசைவேகமும் முடுக்கமும் பூச்சிய மதிப்பை அடையும்?
தீர்வு
‘t’ நேரத்தில் இடப்பெயர்ச்சி S = t3 /3 - t2 +3 ஆகும்.
‘t’ நேரத்தில் திசைவேகம் V = ds/dt = t2 – 2t ஆகும்.
‘t’ நேரத்தில் முடுக்கம் α = dV/dt = 2t-2 ஆகும்.
t2 – 2t = 0 அதாவது, t = 0,2 எனும்போது திசைவேகம் பூச்சிய மதிப்பை அடையும். 2t -2 = 0 அதாவது, t = 1 எனும்போது முடுக்கம் பூச்சிய மதிப்பை அடையும்.
எடுத்துக்காட்டு 7.5
தரையிலிருந்து மேல்நோக்கி சுடப்படும் ஒரு துகள் S அடி உயரத்தை t வினாடிகளில் சென்று அடைகிறது. இங்கு s(t) =128t -16t2.
(i) துகள் அடையும் அதிகபட்ச உயரத்தைக் கணக்கிடுக?
(ii) தரையைத் தொடும்போது அதன் திசைவேகம் என்ன?
தீர்வு
(i) அதிகபட்ச உயரத்தை அடையும்போது துகளின் திசைவேகம் v(t)-ன் மதிப்பு பூச்சியமாகும். நாம் இப்பொழுது, t நேரத்தில் துகளின் திசைவேகத்தைக் காண்போம்.
v(t) = ds/dt =128-32t
v(t) = 0 ⇒ 128-32t = 0 ⇒ t = 4.
4 வினாடிக்குப் பின்னர் துகள் அதிகபட்ச உயரத்தை அடைகின்றது.
t = 4-ல் உயரமானது S(4) =128(4)-16(4)2 = 256 அடிகள் ஆகும்.
(ii) துகள் தரையை தொடும்போது S = 0 ஆகும்.
S = 0 ⇒ 128t -16t2 = 0
⇒ t = 0, 8 வினாடிகள்.
தரையினை துகள் t = 8 வினாடிகளில் தொடுகிறது.
அது தரையைத் தொடும்போது அதன் திசை வேகம் v(8) = -128 அடி/வி ஆகும்.
எடுத்துக்காட்டு 7.6
t ≥ 0 எனும் எந்நேரத்திலும் ஒரு துகளின் நிலை S(t) = t3 – 6t2 +9t +1 எனும்படி கிடைமட்டக் கோட்டில் ஒரு துகள் நகர்கிறது. இங்கு s என்பது மீட்டரிலும் t வினாடிகளிலும் கணக்கிடப்படுகிறது.
(i) துகள் ஓய்வடையும் போது நேரம் என்ன?
(ii) துகள் திசை மாறும்போது நேரம் என்ன?
(iii) முதல் இரு வினாடிகளில் துகள் பயணிக்கும் மொத்த தூரம் எவ்வளவு?
தீர்வு
s(t) = t3 – 6t2 + 9t + 1-ஐவகையிட, v(t) = 3t2 – 12t + 9 மற்றும் α(t) = 6t-12 எனக்கிடைக்கிறது.
(i) v(t) = 0 எனும்போது துகள் ஓய்வினை அடைகிறது. எனவே, v(t) = 3(t -1)(t -3) = 0 என்பதன் மூலம், t = 1 மற்றும் t = 3 எனக்கிடைக்கிறது.
(ii) v(t) ஆனது குறியினை மாற்றும்போது துகளின் திசை மாறும். இப்பொழுது
0 ≤ t < 1 எனில் (t -1) மற்றும் (t - 3) < 0 ஆகையால் v(t) > 0 ஆகும்.
1 < t < 3 எனில் (t -1) > 0 மற்றும் (t - 3) < 0 ஆகையால் v(t ) < 0 ஆகும்.
t > 3 எனில் (t - 1) மற்றும் (t - 3) > 0 ஆகையால் v(t) > 0 ஆகும்.
எனவே t = 1 மற்றும் t = 3 எனும்போது துகளின் திசை மாறும்.
(iii) t = 0 நேரத்திலிருந்து t = 2 வரை துகள் பயணிக்கும் மொத்த தூரம்,
|s(0) - s(1) | + |s(1) - s(2)| =|1-5| +|5-3| = 6 மீட்டர்கள் ஆகும்.