கேள்விகளுக்கான பதில்கள், தீர்வுகள் - பயிற்சி 7.5 : தேரப்பெறா வடிவங்கள் | 12th Maths : UNIT 7 : Applications of Differential Calculus
Posted On : 22.09.2022 03:46 am
12 ஆம் வகுப்பு கணிதம் : அத்தியாயம் 7 : வகை நுண்கணிதத்தின் பயன்பாடுகள்
பயிற்சி 7.5 : தேரப்பெறா வடிவங்கள்
கணக்கு புத்தக பயிற்சி வினாக்கள் மற்றும் தீர்வுகள் - கணிதவியல் : வகை நுண்கணிதத்தின் பயன்பாடுகள் : தேரப்பெறா வடிவங்கள்
பயிற்சி 7.5
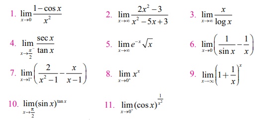
கீழ்க்காணும் எல்லைகளை, தேவைப்படும் இடங்களில் லோபிதாலின் விதியை பயன்படுத்தி காண்க:



12. A0 எனும் ஆரம்பத் தொகையானது, ஒரு வருடத்திற்கு n முறை r என்ற வட்டி வீதத்தில் கூட்டுவட்டி முறையில் முதலீடு செய்யப்படுகிறது எனில், முதலீடு செய்யப்பட்டு t வருடத்தில் அந்தத் தொகையின் மதிப்பு A = A0(1+r/n)nt . வட்டியானது தொடர்ச்சியான வட்டி முறையில் (அதாவது n → ∞) கணக்கிடப்பட்டால், t காலத்திற்குப் பின்னர் அந்தத் தொகையின் மதிப்பு A = A0e rt எனக்காட்டுக.

விடைகள் :
(1) 1/2
(2) 2
(3) ∞
(4) 1
(5) 0
(6) 0
(7) -3/2
(8) 1
(9) e
(10) 1
(11) 1/√e
Tags : Problem Questions with Answer, Solution கேள்விகளுக்கான பதில்கள், தீர்வுகள்.
12th Maths : UNIT 7 : Applications of Differential Calculus : Exercise 7.5 : Indeterminate Forms Problem Questions with Answer, Solution in Tamil : 12th Standard
Tamil Medium School Samacheer Book Back Questions and answers, Important Question with Answer.
12 ஆம் வகுப்பு கணிதம் : அத்தியாயம் 7 : வகை நுண்கணிதத்தின் பயன்பாடுகள் : பயிற்சி 7.5 : தேரப்பெறா வடிவங்கள் - கேள்விகளுக்கான பதில்கள், தீர்வுகள் : 12 ஆம் வகுப்பு
புத்தகம் கேள்விகள் மற்றும் பதில்கள்.