கேள்விகளுக்கான பதில்கள், தீர்வுகள் - பயிற்சி 7.8 : உகமக் கணக்குகளில் பயன்பாடுகள் | 12th Maths : UNIT 7 : Applications of Differential Calculus
பயிற்சி 7.8
1. இரண்டு மிகை எண்களின் கூட்டுத் தொகை 12, மேலும் அதன் பெருக்குத் தொகை பெருமம் எனில் அந்த எண்களைக் காண்க.
தீர்வு :

2. இரண்டு மிகை எண்களின் பெருக்குத்தொகை 20, மேலும் அதன் கூடுதல் சிறுமம் எனில் அந்தஎண்களைக் காண்க.
தீர்வு :

3. x2 + y2 -ன் குறைந்த மதிப்பினை x + y = 10 எனக் கொண்டு காண்க.
தீர்வு :

4. ஒரு தோட்டம் செவ்வக வடிவில் அமைக்கப்பட்டு கம்பி வேலி மூலம் பாதுகாக்கப்பட வேண்டும். 40 மீட்டர் வேலிக் கம்பி மூலம் பாதுகாக்கப்படும் தோட்டத்தின் பெரும பரப்பினைக் காண்க.
தீர்வு :

5. ஒரு செவ்வக வடிவிலான பக்கத்தில் 24 செமீ2 அளவிற்கு அச்சிடப்பட்டுள்ளது. மேற்புற மற்றும் கீழ்ப்புற ஓரங்கள் 1.5 செ.மீ அளவிலும் மற்ற பக்கங்களின் ஓரங்கள் 1 செமீ அளவிலும் இடைவெளி விடப்பட்டுள்ளது. காகித பக்கத்தின் குறைந்த பரப்பளவிற்கு அதன் நீள, அகலங்கள் என்னவாக இருக்க வேண்டும்?
தீர்வு :

6. ஒரு விவசாயி ஒரு நதியை ஒட்டிய செவ்வக மேய்ச்சல் நிலத்திற்கு வேலி அமைக்க திட்டமிட்டுள்ளார். மந்தைகளுக்கு போதுமான புல் வழங்க மேய்ச்சல் நிலம் 1,80,000 சதுர மீட்டர் பரப்பளவு இருக்க வேண்டும். ஆற்றின் குறுக்கே வேலி அமைக்கத் தேவையில்லை. வேலி அமைக்க தேவையான குறைந்தபட்ச வேலிக் கம்பியின் நீளம் என்ன?
தீர்வு :

7. 10 செ.மீ ஆரமுள்ள வட்டத்தினுள் அமைக்கப்படும் செவ்வகங்களுள் மீப்பெரு பரப்புடைய செவ்வகத்தின் பரிமாணங்களைக் காண்க..
தீர்வு :

8. கொடுக்கப்பட்ட சுற்றளவுள்ள செவ்வகங்களுள், சதுரம் மட்டுமே பெரும பரப்பைக்கொண்டிருக்கும் என நிறுவுக.
தீர்வு :

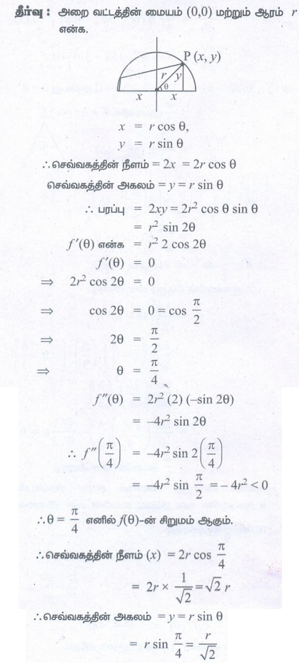
9. r செ.மீ ஆரமுள்ள அறை வட்டத்தினுள் அமைக்கப்படும் செவ்வகங்களுள் மீப்பெரு செவ்வகத்தின் பரிமாணங்களைக் காண்க?
தீர்வு :

10. ஒரு உற்பத்தியாளர் ஒரு சதுர அடித் தளத்தையும் 108 சதுர செ.மீ வெளிப்புறப் பரப்பையும்கொண்ட திறந்த பெட்டியை வடிவமைக்க விரும்புகிறார். அதிகபட்ச கனஅளவிற்கான பெட்டியின் பரிமாணங்களைக் காண்க.
தீர்வு :

11. ஒரு உருளையின் கன அளவு V = πr2h. மேலும் r + h = 6 எனில் கன அளவின் மீப்பெரு மற்றும் மீச்சிறு மதிப்புகளைக் காண்க.
தீர்வு :

12. ஆரம் a செ.மீ மற்றும் உயரம் b செ.மீ கொண்ட ஒரு வெற்றுக் கூம்பு ஒரு மேசையின் மீதுவைக்கப்படுகிறது. இதன் அடியில் மறைத்து வைக்கக் கூடிய மிகப்பெரிய உருளையின் கனஅளவு கூம்பின் கன அளவைப் போல் 4/9 மடங்கு என்பதைக் காட்டுக.
தீர்வு :
விடைகள் :
(1) 6 , 6
(2) 2√5,2√5
(3) 50
(4) 100m2
(5) 9cm , 6cm
(6) 1200m
(7) 10√2 ,10√2
(9) √2r , r/√2
(10) 6cm , 6cm , 3cm
(11) 32π, 0