வகை நுண்கணிதம் | கணிதவியல் - தொடரின் விரிவுகள் (Series Expansions) : டெய்லரின் தொடர் மற்றும் மெக்லாரனின் தொடர் | 12th Maths : UNIT 7 : Applications of Differential Calculus
தொடரின் விரிவுகள் (Series Expansions)
முடிவில்லா எண்ணிக்கையிலான முறை வகையிடத்தக்க சார்புகளின் டெய்லர் மற்றும் மெக்லாரின் விரிவுகள்.
தேற்றம் 7.5
(a) டெய்லரின் தொடர்
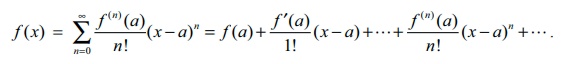
f(x) என்ற சார்பானது x = a-யில் முடிவற்ற எண்ணிக்கையிலான முறை வகையிடத்தக்கது என்க. (x - a, x + a) எனும் இடைவெளியில் f(x) -ஐ கீழ்க்காணும் வடிவத்தில்விரிவாக்கலாம் :

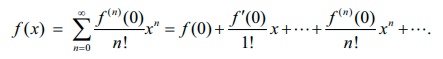
(b) மெக்லாரனின் தொடர்
a = 0 எனில், மேற்கண்ட விரிவின் வடிவம்

நிரூபணம்
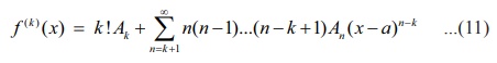
f (x) -ன் விரிவு, (x-a)-ன் அடுக்குகளில், கீழ்க்காணுமாறு விரிவாக்கலாம்:

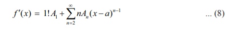
x = a எனப்பிரதியிட A0 = f (a) ஆகும். (7)-ஐ x-ஐப் பொருத்து வகையிட,

x = a எனப் பிரதியிட A1 = f'(a) ஆகும். (8)-ஐ x-ஐப் பொருத்து வகையிட,

x = a எனப் பிரதியிட A2 = f”(a)/2! ஆகும். (9)-ஐப் பொருத்து வகையிட

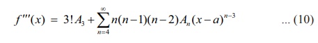
(10)-ஐ x-ஐப் பொருத்து (k - 3) முறை வகையிட,

x = a எனப் பிரதியிட Ak = f(k)(a) / k!. ஆகவே மேற்கண்ட தேற்றம் நிறுவப்பட்டது.

ஒரு சார்பை x = a-க்கு அருகில் விரிவாக்கம் செய்வதற்கு, அதாவது (x-a) -ன் அடுக்குகளில் விரிவாக்கம் செய்வதற்கு கொடுக்கப்பட்ட சார்பை தேவையான முறை வகைப்படுத்தி x = a -யில் மதிப்பினைக் காண வேண்டும். இம்மதிப்புகள் (x - a)-ன் அடுக்குகளின் குணங்களைத் தரும்.
எடுத்துக்காட்டு 7.30
log(1+x)-ன் மெக்லாரனின் விரிவை -1 < x ≤ 1-ல் நான்கு பூச்சியமற்ற உறுப்புகள் வரை காண்க.
தீர்வு
f(x) = log(1+x) என்க. f (x) -ன் மெக்லாரனின் விரிவு f(x) =
, இங்கு , an = f(n) 0 / n! 
f(x) -ன் வகைக்கெழுக்கள் மற்றும் x = 0 ல் இதன் மதிப்புகள் அட்டவணைப்படுத்தப்பட்டுள்ளன.

இம்மதிப்புகளைப் பிரதியிட்டுச் சுருக்க, நமக்குத் தேவையான விரிவினை கீழ்க்காணுமாறு பெறலாம் :
log(1+x) = x – x2/2 + x3/3 - x4/4 +---;-1 < x ≤ 1.

எடுத்துக்காட்டு 7.31
tan x-ன் விரிவை –π/2 < x < π/2 -ல் x-ன் அடுக்குகளாக 5ஆவது அடுக்குவரை காண்க.
தீர்வு
f(x) = tan x என்க. f (x) -ன் மெக்லாரனின் விரிவு

f (x) -ன் வகைக்கெழுக்கள் மற்றும் x = 0 -ல் இதன் மதிப்புகள் அட்டவணைப்படுத்தப்பட்டுள்ளன இப்பொழுது,
f'(x) = d/dx (tan x) = sec2 (x)
f’’(x) = d/dx(sec2(x)) = 2sec x.sec x.tan x = 2sec2 x- tan x
f'’’ (x) = d/dx (2sec2 (x) . tan x) = 2sec2 (x). sec2 x + tan x. 4sec x. sec x.tan x
= 2sec4x + 4 sec2 x . tan2 x
f(iv) (x) = 8sec3 x. sec x. tan x + 4sec2 x .2 tan x sec2 .x + 8sec x. sec x. tan x. tan2 x
= 16 sec4 x tan x + 8 sec2 x. tan3 x
f'(v) (x) = 16sec4 x. sec2 x +64sec3 x .sec x. tan x-tan x +8sec2 x. 3 tan2 x sec2 x
+16sec x. sec x. tan x. tan3 x
= 16sec6 x +88sec4 x. tan2 x+16sec2 x. tan4x.

இம்மதிப்புகளைப் பிரதியிட்டுச் சுருக்க, நமக்குத் தேவையான விரிவை கீழ்க்காணுமாறு பெறலாம்:
tan x = x + 1/3 x3 + 2/15 x5 + .. … ; − π/2 < x < π/2
எடுத்துக்காட்டு 7.32
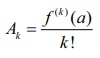
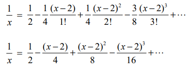
1/x --ன் டெய்லர் தொடரின் விரிவை x = 2 -ல் முதல் மூன்று பூச்சியமற்ற உறுப்புகள் வரை காண்க.
தீர்வு
f (x) = 1/x என்க. f (x) -ன் டெய்லரின் விரிவு

f(x) ன் வகைக்கெழுக்கள் மற்றும் x = 2 வில் இதன் மதிப்புகள் அட்டவணைப் படுத்தப்பட்டுள்ளன.

இம்மதிப்புகளைப் பிரதியிட்டுச் சுருக்க, நமக்குத் தேவையான விரிவை கீழ்க்காணுமாறு பெறலாம்:
