ஈர்ப்பியல் (இயற்பியல்)
கணக்குகள்
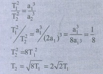
1. அடையாளம் தெரியா கோளானது புவியின் அரை நெட்டச்சு போல இரு மடங்கு உடைய ஆரப்பாதையில் சூரியனை வலம் வருகிறது. புவியின் சுழற்சிக்காலம் T1 எனில் அக்கோளின் சுழற்சி காலம் காண்க.
தீர்வு:
புவியின் சுற்றுக்காலம் = T1
புவியின் அரை நெட்டச்சு = a1 என்க.
அடையாளம் தெரியாத கோளின் சுற்றுக்காலம் = T2
அடையாளம் தெரியாத கோளின் அரை நெட்டச்சு = a2 என்க. a2 = 2a, கெப்ளர் 3ம் விதிப்படி
T12 α a13
T22 α a23

T2 =2√2T1
விடை : T2 = 2 √2T1
2. புதியதாக கண்டறியப்பட்ட ஒரு சூரிய குடும்பத்தில் உள்ள கோள் பற்றிய தகவல் தரப்பட்டடுள்ளதாக கருதுக. அக்கோள்களின் அரை நெட்டச்சுக்கும் சுற்றுக்காலத்திற்கும் உள்ள தொடர்பு யாது?

தீர்வு :
குறிஞ்சிக்கு T12 αa31 T1 = 2 a1 = 8
a1 = 8 = 23 எனவே 2 = 2T12 என்றாகிறது.
இதைப் போலவே
முல்லைக்கு T2 = 3, a2 = 18 = 2(3)2 = 2 T22
மருதத்திற்க்கு T3 = 4, a3 = 32 = 2(4)2 = 2T32
நெய்தல்-க்கு T4 = 5, a4 = 50 = 2(5)2 = 2T42
பாலைக்கு T5 = 6, a5 = 72 = 2(6)2 = 2 T52
ஃ a α 2T2 என்ற தொடர்பை பெறலாம்.
விடை : a ∝ 2T2
3. இரு நிறைகளும் மற்றும் அந்நிறைகளுக்கு இடையேயான தொலைவும் இரு மடங்கு ஆக்கப்பட்டால் அவற்றுக்கு இடையே உள்ள ஈர்ப்பு விசையில் ஏற்படும் மாற்றம் யாது?
விடை : மாற்றம் இல்லை
தீர்வு : F = GM1M2/r2
நிறைகளும் தொலைவும் இரு மடங்காக்கப் பட்டால் ஈர்ப்பு விசை
F’ = G2M1 2M2 / (2r2)
= GM1M2/r2
⸫ F' = F
ஈர்ப்பு விசை மாறாது
விடை : மாற்றம் இல்லை
4. நிறை m மற்றும் 4m உடைய இரு பொருள்கள் r தொலைவில் அமைந்துள்ளன. இரு பொருள்களையும் இணைக்கும் கோட்டில் ஒரு புள்ளியில் ஈர்ப்பு புலம் சுழி என்றால் அப்புள்ளியில் ஈர்ப்புத் தன்னிலை ஆற்றலை கண்டறிக?

தீர்வு:
நிறை m ஐப் பொருத்து ஈர்ப்பியல் விசை = Gm/x2
4m ஐப் பொருத்து ஈர்ப்பியல் விசை = G.4m / (r-x)2
இரு பொருள்களையும் இணைக்கும் கோட்டில் உள்ள புள்ளியில் ஈர்ப்புப்புலம் சுழி எனில்

விடை : V = −9Gm/r
5. சூரியனிலிருந்து இரு கோள்கள் உள்ள தொலைவுகளின் தகவு d1/d2 = 2, எனில் இரு கோள்கள் உணரும் ஈர்ப்பு புல வலிமைகளின் தகவு யாது?
தீர்வு : இரு கோள்கள் உள்ள தொலைவுகளின் தகவு d1/d2 = 2
இரு கோள்கள் உணரும் ஈர்ப்புப் புல வலிமைகளின் தகவு E1/E2 = ?
ஈர்ப்புப் புல வலிமை E = GM/x2

விடை : E2 = 4 E1
6. வியாழனின் துணைக்கோளில் ஒன்றான I0. ஆனது வியாழனை 1.769 நாட்களுக்கு ஒரு முறை சுற்றி வருகிறது. அத்துணைக் கோளின் சுற்றுப் பாதையின் ஆரம் 4, 21, 700 km எனில் வியாழன் கோளின் நிறை காண்க.
தீர்வு : I0 ன் சுற்றுக்காலம் (T) = 1.769 நாள்
I0 ன் சுற்றுப்பாதை ஆரம் (r) = 421700 km
= 4.217 x 108m

= 1.898 × 1027 kg
விடை : 1.898 × 1027 kg
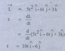
7. ஒரு கோளின் கோண உந்தம்
= 5 t 2iˆ −6tjˆ +3kˆ எனில் கோளின் மீது செயல்படும் திருப்பு விசை யாது? திருப்பு விசை, கோண உந்தத்தின் திசையில் செயல்படுமா?
தீர்வு : கோளின் கோண உந்தம்

திருப்பு விசை செங்குத்து திசையில் செயல்படும்
விடை : 
8. சம நிறை M உடைய நான்கு நிறைகள் ஒவ்வொன்றும் சம தொலைவில் உள்ளன. அவற்றுக்குகிடையேயான ஈர்ப்பு விசை கவர்ச்சியால் ஆரம் R உடைய வட்டப்பாதையில் அத்துகள்கள் இயங்குகின்றன. ஒவ்வொரு துகளின் வேகத்தை கணக்கிடுக.
தீர்வு :
● நிறைகளுக்கிடையேயான மொத்த ஈர்ப்பு விசை = மைய நோக்கு விசை
A மற்றும் B க்கு இடையேயான விசை

F1 மற்றும் F2 விசைகளின் கூறுகள் ஆரம் வழியே செல்வதால்
F1 cos 45° மற்றும் F2 cos 45° (F1 = F2 = F)
மொத்த விசை = 2F cos 45° + F3


9. ஈர்ப்பியல் மாறிலி G = 6.67 × 10-11 மதிப்புக்கு பதிலாக G = 6.67 × 1011 என தவறாக எழுதப்பட்டது என்று வைத்து கொள்வோம். இத்தவறான மதிப்பு கொண்டு பெறும் ஈர்ப்பின் முடுக்கம் g' மதிப்பு யாது? இப்புதிய ஈர்ப்பின் முடுக்கத்தின் அடிப்படையில் உனது எடை யாது?
ஈர்ப்பு மாறிலி G = 6.67 × 10-11
தவறான ஈர்ப்பியல் மாறிலி G' = 6.67 × 10-11 என்க.
புவியின் நிறை M = 6.024 × 1024 Kg
புவியின் ஆரம் R = 6.4 × 106 m
புவியீர்ப்பு முடுக்கம் g = 9.8m/s2
g' = ?

விடை : 1022 g, W' = 1022W
10. படத்தில் காட்டியுள்ளபடி நிறைகள் m1, m2, m3 அமைந்துள்ளன. இவ்வமைப்பால் புள்ளி O வில் ஏற்படும் ஈர்ப்பு புலத்தை காண்க. நிறைகள் m1 = m2 எனில் புள்ளி 'O' வில் ஈர்ப்பு புலத்தில் ஏற்படும் மாறுபாடு யாது?

தீர்வு :

11. புவி மற்றும் சூரியன் அமைப்பின் ஈர்ப்பு நிலை ஆற்றல் யாது? (புவியின் நிறை = 5.9 × 1024 kg மற்றும் சூரியனின் நிறை = 1.9 × 1030 Kg) புவிக்கும் சூரியனுக்கும் உள்ள தொலைவு = 150 மில்லியன் கிலோ மீட்டர் (தோராயமாக)
தீர்வு :
புவியின் நிறை Mc = 5.9 × 1024 kg
சூரியனின் நிறை Ms = 1.9 × 1030 kg
புவிக்கும் சூரியனுக்கும் உள்ள தொலைவு
R = 150 மில்லியன் கி.மீ = 150 × 109 m
G = 6.67 × 10-11

விடை : V = -49.84 × 1032 Joule
12. சூரியனை புவி சுற்றும் வேகம் 30 kms-1 எனில் புவியின் இயக்க ஆற்றலை கணக்கிடுக. முந்தையை கணக்கில் புவியின் ஈர்ப்பு நிலை ஆற்றலை கணக்கிட்டாய். அதன்படி புவியின் மொத்த ஆற்றல் யாது? மொத்த ஆற்றல் நேர்க்குறி தன்மை யுடையதா? இல்லை எனில் காரணம் யாது?
தீர்வு :
புவியின் நிறை Me = 5.9 × 1024 kg
சூரியனை புவி சுற்றும் வேகம்
(V) = 30 kms-1 = 30 × 103 ms-1

= 2655 × 1030
K.E = 26.55 × 1032 J
புவிக்கும் சூரியனுக்குமான ஈர்ப்பு நிலை ஆற்றல்
U = -49.84 × 1032 J
ஃமொத்த ஆற்றல் E = U + K.E
= (-49.84 + 26.55) × 1032
E = -23.29 × 1032J
விடை : K.E = 26.5 × 1032 J
E = −23.29 × 1032 J
மொத்த ஆற்றல் எதிர்க்குறி (-) தன்மை உடையது. காரணம் புவி சூரியனுடன் பிணைக்கப்பட்டுள்ளதை எதிர்க்குறி (-) குறிக்கிறது.
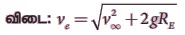
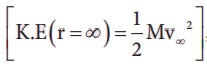
13. புவிப் பரப்பிலிருந்து எறியப்பட்ட பொருள் ஒன்று சுழி அல்லாத இயக்க ஆற்றலுடன்
ஈறிலாத் தொலைவை அடைகிறது. எனில் புவிப்பரப்பிலிருந்து அப் பொருள் எறியப்பட்ட வேகம் யாது?
புவிப்பரப்பில் மொத்த ஆற்றல்
Er = KE(r) + U(r)


14. புவிப் பரப்புக்கு மேலே 200 km உயரத்திலும் மற்றும் கீழே 200 km ஆழத்திலும் ஈர்ப்பின் முடுக்கம் g மதிப்பு யாது? எந்நிலையில் g மதிப்பு குறைவாக இருக்கும்?
தீர்வு:
புவியின் ஆரம் Re = 6400 km

200 km உயரத்தில் g மதிப்பு குறைவாக இருக்கும்.

15. உன் மாவட்ட தலைநகரத்தில் ஈர்ப்பின் முடுக்கம் g மதிப்பு காண்க. (குறிப்பு - கூகுள் தேடுதல் மூலம் குறுக்குகோட்டு மதிப்பு பெறுக) gன் மதிப்பு சென்னையிலிருந்து கன்னியாகுமரியில் எவ்வாறு மாறுபடுகிறது?
Δg = 0.031 ms-2
ge = g - ω2R cos2𝜆; 𝜆 = 13°
= 9.8 - (3.4 × 10-2) × (0.9492)
= 9.7677 ms-2
= 9.8- (3.4 × 10-2) × (0.9804)
[ ⸪ 𝜆 = 8°)
= 9.7667 ms-2
Δg = 9.7667 - 9.7667
Δg = 0.001 ms-2

கருத்துரு வினாக்கள்
1. கீழ்க்கண்ட அளவைகளில் எவை மாறிலி?
அ) கோளின் நேர்கோட்டு உந்தம்
ஆ) கோளின் கோண உந்தம்
இ) கோளின் மொத்த ஆற்றல்
ஈ) கோளின் நிலை ஆற்றல்
விடை : ஆ) கோளின் கோண உந்தம் மற்றும் ஈ) கோளின் நிலை ஆற்றல்
2. ஓராண்டு காலத்தில் புவியின் மீது சூரியன் செய்த வேலையின் அளவு
அ) சுழி
ஆ) சுழி அல்ல
இ) நேர்குறி மதிப்பு உடையது
ஈ) எதிர்குறி மதிப்பு உடையது
விடை : அ) சுழி
3. குறிப்பிட்ட கால அளவில் சூரியன் புவி மீது செய்த வேலையின் அளவு எவ்வாறு இருக்கும்?
அ) நேர்குறியாக, எதிர்குறியாக அல்லது சுழியாக
ஆ) எப்போதும் நேர்குறி
இ) எப்போதும் எதிர்குறி
ஈ) எப்பொழுதும் சுழி
விடை : ஈ) எப்பொழுதும் சுழி
4. ஒரு வால்மீன் நிலாவின் மீது திடீரென மோதி நிலாவின் மொத்த ஆற்றலை விட அதிக. ஆற்றலை நிலாவுக்கு தந்தால் என்ன நிகழும்?
விடை :
ஒரு வால்மீன் அதிக நிறை மற்றும் அதிக திசைவேகத்துடன் நிலாவின் மீது மோதினால்
i) நிலா அழிந்து விடும் அல்லது
ii) நிலாவை அதன் வட்டப்பாதையிலிருந்து வெளியேற்றி விடும்.
5. நிலாவின் மீதான புவியின் ஈர்ப்பு விசை திடீரென மறைந்தால் சந்திரனுக்கு என்ன நிகழும்?
விடை :
நிலாவின் மீதான புவியின் ஈர்ப்புவிசை திடீரென மறைந்தால் நிலா புவியை சுற்றாது.
6. தற்போது புவி தன் சுழற்சி அச்சிலிருந்து - சாய்ந்து அமையவில்லை எனில், பருவக்காலங்களில் என்ன மாறுபாடு ஏற்படும்?
விடை :
பருவக்காலங்களில் மாற்றம் நிகழாது.
7. "கோடை காலமும் குளிர் காலமும் புவியில் ஏற்படுவது எவ்வாறு" என்ற வினாவுக்கு மாணவர் ஒருவர் புவி நீள்வட்டப்பாதையில் சுற்றும்போது, புவி சூரியனுக்கு அருகே வரும்போது (அண்மை நிலை) கோடை காலமும் சூரியனை விட்டு விலகி அதிகத் தொலைவில் உள்ளபோது (சேய்மைநிலை) குளிர் காலமும் தோன்றுகிறது என பதில் அளிக்கிறார். மாணவரின் பதில் சரியா? இல்லை எனில் கோடையும் குளிர் காலமும் தோன்றும் காரணத்தை விளக்குக.
விடை :
மாணவரின் பதில் தவறானது.
● புவியானது சூரியனை 23.5° கோண சாய்வுடன் சுற்றி வருவதால் பருவ காலங்கள் தோன்றுகின்றன.
● 23.5° சாய்வினால் புவியின் வட கோளப்பகுதி சூரியனுக்கு வெகு தொலைவில் உள்ளபோது, தென் கோளப் பகுதி சூரியனுக்கு அருகில் அமையும்.
● எனவே வட கோளப் பகுதியில் குளிர்காலமாக உள்ளபோது தென்கோளப்பகுதியில் கோடை காலமாக இருக்கும்.
8. 2018 ஜனவரி 31 தேதி நடைபெற்ற சந்திர கிரகணத்தின் வெவ்வேறு நிலைகளை புகைப்படம் காட்டுகின்றது. இப்புகைப்படத்தின் அடிப்படையில் புவி கோள வடிவமுடையது என நிரூபிக்க முடியுமா?

விடை :
● முடியாது.
தீர்க்கப்பட்ட எடுத்துக்காட்டு கணக்குகள்
எடுத்துக்காட்டு 6.1
படத்தில் காட்டியுள்ளபடி, 10 மீ தொலைவில் நிறைகள் m1 மற்றும் m2 அமைந்துள்ளன. இரு நிறைகளுக்கும் இடையேயான ஈர்ப்பியல் விசையை கணக்கிடுக. ஒவ்வொரு நிறையின் மீது செயல்படும் விசையின் திசையினை வரைக. (m1= 1 kg; m2 = 2 kg)

ஃ விசையின் எண் மதிப்பு

இவ்விசையின் எண் மதிப்பு மிகக்குறைவாக உள்ளது என்பது கவனிக்கத்தக்கது. இதனால் தான் இரு மனிதர்களுக்கிடையேயான ஈர்ப்பியல் விசையை நாம் உணர முடிவது இல்லை. ஈர்ப்பியல் விசையின் வலிமையை நிர்ணயம் செய்வதில் G-ன் மிகக்குறைந்த மதிப்பு முக்கியப் பங்காற்றுகிறது.
நிறை m1 ஆல் நிறை m2 உணரும் ஈர்ப்பியல் விசை (
) yஅச்சு எதிர்த்திசையில் செயல்படுகிறது. அதாவது rˆ =−jˆ
நியூட்டனின் மூன்றாம் விதிப்படி, நிறை m1 ஆனது நிறை m2 மீது நிறை சமமான எதிர்த்திசையில் செயல்படும் விசையை ஏற்படுத்துகிறது. எனவே நிறை m2 ஆல் m1 உணரும் ஈர்ப்பியல் விசை (
) ஆனது y அச்சின் நேர்திசையில் செயல்படுகிறது. ie., rˆ = jˆ

படத்தில் விசைகள் செயல்படும் திசை குறிக்கப்பட்டுள்ளன. மேலும்
= −
என்பது, நியூட்டனின் மூன்றாம் விதியை உறுதிப்படுத்துகிறது.
எடுத்துக்காட்டு 6.2
நிலவும் ஆப்பிளும் ஒரே ஈர்ப்பியல் விசையாலேயே முடுக்கமடைகிறது. இவை இரண்டும் அடையும் முடுக்கங்களை ஒப்பிடுக.
புவியினால் ஆப்பிள் உணரும் ஈர்ப்பியல் விசை

இங்கு MA- ஆப்பிள் நிறை, ME புவியின் நிறை, R - புவியின் ஆரம் ஆகும்.
நியூட்டன் இரண்டாம் விதியைப் பயன்படுத்த

இங்கு ‘aA' ஆப்பிளின் முடுக்கம். இது 'g' க்கு சமம்
இதேபோல் புவியினால் நிலா உணரும் விசை

இங்கு Rm - புவிக்கும் நிலாவுக்கும் உள்ள தொலைவு, Mm - நிலாவின் நிறை
நிலா உணரும் முடுக்கம்

ஆப்பிளின் முடுக்கத்திற்கும், நிலாவின் முடுக்கத்திற்கும் இடையே உள்ள தகவு

நிலாவின் சுற்றுப்பாதையானது புவியின் ஆரத்தை போல 60 மடங்கு என ஹிப்பார்க்கஸ் (Hipparchus) முன்னரே கண்டறிந்துள்ளார்.
Rm = 60R.

இதன் மூலம் ஆப்பிளின் முடுக்கமானது, நிலாவின் முடுக்கத்தைப் போல 3600 மடங்கு பெரியது என அறிகின்றோம். தனது ஈர்ப்பியல் சமன்பாட்டின் மூலம் இதே முடிவை நியூட்டன் பெற்றார். ஆப்பிளின் முடுக்கம் 9.8ms-2 என எளிதில் கண்டறியப்பட்டது. புவியினை சுற்றும் நிலாவின் சுழற்சிகாலம் 27.3 நாட்கள் என்பதை மைய நோக்கு முடுக்கச் சமன்பாட்டில் பயன்படுத்த, நமக்கு கிடைப்பது

ஈர்ப்பியல் விதியின் மூலமாகவும் இதே மதிப்பினையே நியூட்டன் பெற்றார்.
எடுத்துக்காட்டு 6.3
(a) நிறைகள் m1, மற்றும் m2 முறையே x மற்றும் y அச்சுகளில் ஆதியிலிருந்து ‘a’ தொலைவில் வைக்கப்பட்டுள்ளன. படத்தில் காட்டப்பட்டுள்ள புள்ளி P யில் ஈர்ப்பு புலச்செறிவு காண்க.

தீர்வு:
நிறை m1 ஆல் புள்ளி P யில் ஈர்ப்பு புலம்,

நிறை m2 ஆல் புள்ளி P யில் ஈர்ப்பு புலம்,

தொகுபயன் ஈர்ப்பு புலச்செறிவின் திசையானது m1 மற்றும் m2 ஒப்பீட்டு மதிப்பை பொறுத்து அமையும்.
m1 = m2 = m எனில்

குறிப்பு: வெக்டர் கூட்டல் பரிமாற்று தன்மையுடையது

இன் எண்மதிப்பு
மேலும்
-இன் திசை ஆதிப்புள்ளி 0 வை நோக்கி அமைந்துள்ளது. இது அடுத்து உள்ள படத்தில் காட்டப்படுகிறது.
எடுத்துக்காட்டு 6.4
சூரிய குடும்பத்தின் படம் தரப்பட்டுள்ளது. இதிலிருந்து புதன், புவி மற்றும் வியாழன் கோள்கள் மீதான சூரியனின் ஈர்ப்பியல் புலங்களின் தன்மையினை குறிப்பிடுக.
தொலைவு அதிகரித்தால் ஈர்ப்பு புலம் குறையும். எனவே சூரியன் வியாழன் மீது ஏற்படுத்தும் ஈர்ப்பு புலம் குறைவாக இருக்கும். சூரியனுக்கு மிக அருகே உள்ள புதனின் மீது செயல்படும் ஈர்ப்பு புலம் அதிகமாக இருக்கும்.

எடுத்துக்காட்டு 6.5
குன்றின் உச்சியிலிருந்து அருவி (நீர்) கீழ்நோக்கி பாய்வது ஏன்?
ஏனெனில் குன்றின் உச்சியில் ஈர்ப்பு தன்னிலை ஆற்றலானது புவிபரப்பில் ஈர்ப்பு தன்னிலை ஆற்றலை விட அதிகம்.
அதாவது V குன்று > V தரை

வெக்டர் அளவுகளான
அல்லது
ஆகியவற்றைவிட ஸ்கேலார் அளவுகளான U (r) அல்லது V(r) ஆகியவற்றைப் பயன்படுத்தி பொருள்களின் இயக்கத்தை எளிதாக பகுப்பாய்வு செய்ய முடியும். நவீன இயற்பியல் கோட்பாடுகளில் (Modern theories of physics) ஈர்ப்பு தன்னிலை ஆற்றல் (Potential) முக்கிய பங்கினை வகித்து வருகிறது.
எடுத்துக்காட்டு 6.6
படத்தில் காட்டியபடி நிறை m1 m2 m3 மற்றும் m4 ஆகியவை ஒரு வட்டத்தின் பரிதியில் அமைந்துள்ளன.

(அ) நான்கு நிறைகள் கொண்ட அமைப்பின் ஈர்ப்பு நிலை ஆற்றல்
(ஆ) நான்கு நிறைகளாலும் புள்ளி O வில் ஏற்படும் ஈர்ப்பு தன்னிலை ஆற்றல் ஆகியவற்றைக் கணக்கிடுக.
தீர்வு
ஒவ்வொரு இருதுகள் அமைப்பின் ஈர்ப்பு நிலை ஆற்றல்களின் கூடுதல், மொத்த அமைப்பின் ஈர்ப்பு நிலை ஆற்றலை தருகிறது.

அனைத்து நிறைகளும் சமம் எனில்

புள்ளி O வில் ஈர்ப்பு தன்னிலை ஆற்றல் V (r) தனித்தனி நிறைகளால் ஏற்படும் ஈர்ப்பு அழுத்தங்களின் கூடுதல் ஆகும். ஈர்ப்பு தன்னிலை ஆற்றல் ஸ்கேலார் அளவு என்பதால், புள்ளி O-வில் ஏற்படும் தொகுபயன் மதிப்பு ஒவ்வொரு துகளாலும் ஏற்படும் ஈர்ப்பு அழுத்தங்களின் கூடுதலுக்குச் சமம்.

எடுத்துக்காட்டு 6.7
(அ) 15 மீட்டர் உயரத்திலிருந்து 1/2 kg நிறையுடைய மாம்பழம் கீழே விழுகிறது. கீழே விழத் தொடங்கும் போது அதன் ஈர்ப்பின் முடுக்கம் யாது? (g = 9.8 m s-2; புவியின் ஆரம் = 6400 × 103 m)
தீர்வு:

(ஆ) புவி பரப்பிலிருந்து 1600 km உயரத்தில் ஒரு துணைக்கோள் புவியை சுற்றி வருகின்றது. புவியின் ஈர்ப்பு விசையால் துணைக்கோள் அடையும் முடுக்கம் யாது?
தீர்வு

இந்த இரு எடுத்துக்காட்டுகள் மூலம் புவிக்கு அருகே ஈர்ப்பின் முடுக்கம் மாறிலியாக உள்ளது எனத்தெரிகிறது.
எடுத்துக்காட்டு 6.8
உன் பள்ளி ஆய்வகத்தில் g' மதிப்பினைக் காண்க.
தீர்வு
உன் பள்ளி அமைந்துள்ள ஊர்/ நகரத்தின் குறுக்குக் கோட்டு மதிப்பினை கணினியில் கூகுள் தேடுதல் மூலம் காண்க.
உதாரணமாக சென்னைக்கு குறுக்குக் கோட்டு மதிப்பு 13° ஆகும்.

இங்கு ω2R = (2x3.14/86400)2 × (6400x103) = 3.4 ×10−2 m s−2.
λ ன் மதிப்பு ரேடியனில் இருக்க வேண்டும். டிகிரியில் இருக்கக் கூடாது. 13° என்பது 0.2268 ரேடியனுக்குச் சமம்.
g′ = 9.8 − ( 3.4 × 10−2 ) × ( cos 0.2268)2
g′ = 9.7677 m s−2
எடுத்துக்காட்டு 6.9
புவியின் இயற்கை துணைக்கோளான நிலா 27 நாட்களுக்கு ஒரு முறை புவியைச் சுற்றி வருகிறது. நிலாவின் சுற்றுப்பாதையை வட்டம் எனக் கொண்டு நிலவுக்கும் புவிக்கும் இடையே உள்ள தொலைவினை காண்க
தீர்வு
கெப்ளரின் மூன்றாம் விதிப்படி

இங்கு புவியின் பரப்பிலிருந்து நிலாவின் தொலைவு h ஆகும்.

ஆகிய மதிப்புகளை பிரதியிட்டு
புவிபரப்பிலிருந்து நிலா உள்ள தொலைவு 3.77 × 105 km எனக் கணக்கிடலாம்.
எடுத்துக்காட்டு 6.10
(i) புவியினைச் சுற்றும் நிலா (ii) சூரியனைச் சுற்றும் புவி ஆகியவற்றின் ஆற்றலை கணக்கிடுக.
தீர்வு:
நிலாவின் சுற்றுப்பாதை வட்டம் என கருதுவோம் எனில் நிலாவின் ஆற்றல்

இங்கு ME என்பது புவியின் நிறை 6.02 ×1024 kg; நிலாவின் நிறை 7.35 ×1022 kg; நிலவுக்கும் புவிக்கும் இடையேயான தொலைவு Rm = 3.84 ×105 km ஈர்ப்பியல் மாறிலி G = 6.67 × 10-11Nm2/kg2

இங்கு எதிர்க்குறியானது நிலா புவியுடன் பிணைக்கப்பட்டுள்ளதை குறிக்கின்றது.
இதே முறையில் புவியின் ஆற்றல் எதிர்க்குறி தன்மை உடையது என்பதை நிரூபிக்கலாம்.