வகை நுண்கணிதத்தின் பயன்பாடுகள் | கணிதவியல் - பாடச்சுருக்கம் | 12th Maths : UNIT 7 : Applications of Differential Calculus
பாடச்சுருக்கம்
• y = f (x) எனும்போது dy/dx ஆனது y -ஐப் பொறுத்து x-ன் கணநேர மாறுபாட்டு வீதத்தைக் குறிக்கிறது.
• y = f (g(t)) எனும்போது dy/dt = f' (g (t)).g'(t) ஆகும். இதனை சங்கிலி விதி என்கிறோம்.
• y = f (x) என்ற வளைவரையின் மீதுள்ள (a,b) என்ற புள்ளியில் தொடுகோட்டின் சமன்பாடு என்பது y - b = (x - a) × (dy/dx)(a,b) அல்லது y - b = f'(a) (x - a) ஆகும்.
• ரோலின் தேற்றம்
f (x) என்ற சார்பு மூடிய இடைவெளி [a,b] -ல் தொடர்ச்சியானதாகவும், திறந்த இடைவெளி (a,b)-ல் வகையிடத்தக்கதாகவும் இருக்கிறது மேலும் f (a) = f (b) எனில், குறைந்தபட்சம் ஒரு புள்ளி C ∈ (a,b) ஆனது f'(c) = 0 என்றவாறு இருக்கும்.
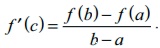
• லெக்ராஞ்சியின் இடமதிப்புத் தேற்றம்
f(x) ஆனது மூடிய இடைவெளி [a,b]-ல் தொடர்ச்சியானதாகவும், திறந்த இடைவெளி (a, b)-ல் வகையிடத்தக்கதாகவும் (f(a), f (b) ஆகியவை சமமாக இருக்க வேண்டிய அவசியம் இல்லை). உள்ளது என்க. அப்போது குறைந்தபட்சம் ஒரு புள்ளி C∈ (a,b) -யினை
f'(c) = f (b) - f (a) / b - a எனுமாறு காணலாம். . 
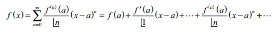
• டெய்லரின் தொடர்
f (x) என்ற சார்பானது x = a-ல் முடிவற்ற எண்ணிக்கையிலான முறை வகையிடத்தக்கது என்க. (x - a, x + a) எனும் இடைவெளியில் f (x) -ஐ கீழ்க்காணும் வடிவத்தில் விரிவாக்கலாம்:

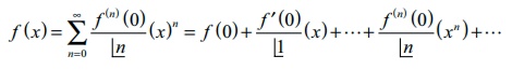
• மெக்லாரனின் தொடர்
a = 0 எனில், மேற்கண்ட விரிவின் வடிவம்

• லோபிதாலின் விதி
f (x) மற்றும் g(x) ஆகியவை வகையிடத்தக்க சார்புகள் மற்றும் g'(x) ≠ 0 மேலும்

• f (x) என்ற சார்பு (a,b) என்ற திறந்த இடைவெளியில் வகையிடத்தக்கது மற்றும் d/dx ( f (x)) > 0 ∀x ∈ (a,b) எனில், f (x) ஆனது (a,b) என்ற இடைவெளியில் திட்டமாக ஏறும். d/dx ( f (x)) < 0 , ∀x∈ (a,b) எனில், f (x) ஆனது (a,b) என்ற இடைவெளியில் திட்டமாகஇறங்கும்.
• மூடிய இடைவெளி [a,b]-ல் தொடர்ச்சியான, சார்பு f (x)-க்கு மீப்பெரு மற்றும் மீச்சிறு அறுதி மதிப்புகளை காணும் முறை
படி 1 : f (x) -க்கு (a,b)-ல் நிலை எண்களைக் காண்க.
படி 2: f (x) -ன் மதிப்புகளை அனைத்து நிலை எண்கள் மற்றும் முனைப்புள்ளிகள் a மற்றும் b - ல் காண்க.
படி 3 : படி 2-ல் காணப்பட்ட மதிப்புகளில் மிகப்பெரிய எண் மீப்பெரு பெருமம் மற்றும்மிகச்சிறிய எண் மீச்சிறு சிறுமம் ஆகும்.
• முதலாம் வகைக்கெழுச் சோதனை
f (x) என்ற தொடர்ச்சியான சார்பிற்கு C-ஐ உள்ளடக்கிய திறந்த இடைவெளி I -யில் (c, f (c)) என்பது நிலைப்புள்ளி என்க. f (x) ஆனது C-ஐத் தவிர்த்த இடைவெளியில் வகையிடத்தக்கது எனில் f (c)-ஐ கீழ்க்காணுமாறு வகைப்படுத்தலாம்: (x ஆனது I என்றஇடைவெளியில் இடமிருந்து வலமாக நகரும்போது)
(i) f'(x) ஆனது C -ல் குறையிலிருந்து மிகைக்கு மாறினால், f (x) -க்கு f (c) என்பது இடம்சார்ந்த சிறுமம் ஆகும்.
(ii) f'(x) ஆனது C-ன் மிகையிலிருந்து குறைக்கு மாறினால், f (x) -க்கு f (c) என்பது இடம்சார்ந்த பெருமம் ஆகும்.
(iii) f'(x)-ன் குறியானது C-ன் இருபுறமும் மிகையாகவோ அல்லது C-ன்இருபுறமும்குறையாகவோ இருந்தால், f (c) என்பது இடம் சார்ந்த சிறுமமும் இல்லை இடம் சார்ந்த பெருமமும் இல்லை எனலாம்.
• இரண்டாம் வகைக்கெழுச் சோதனை
c எனும் நிலைப்புள்ளியில் f'(c) = 0 எனவும், c-ன் அண்மையில் f'(x) காணத்தக்கது எனவும், மேலும் f" (c) காணத்தக்கது எனவும் கொண்டால் f"(c) < 0 எனில் C-யில் f ஆனது இடஞ்சார்ந்த பெருமத்தை அடையும், மேலும் f"(c) > 0 எனில் C-யில் f ஆனது இடஞ்சார்ந்த சிறுமத்தை அடையும். f"(c) = 0 எனில், இந்த சோதனையில் இடஞ்சார்ந்த அறுதி மதிப்புகளைப் பற்றிய தகவல் இல்லை என்கிறோம்.