வகை நுண்கணிதத்தின் பயன்பாடுகள் | கணிதவியல் - சமச்சீர் தன்மை மற்றும் தொலைத் தொடுகோடுகள்(Symmetry and Asymptotes) | 12th Maths : UNIT 7 : Applications of Differential Calculus
சமச்சீர் தன்மை மற்றும் தொலைத் தொடுகோடுகள்(Symmetry and Asymptotes)
சமச்சீர் தன்மை (Symmetry)
கீழ்க்காணும் வளைவரைகள் ஒவ்வொன்றும் ஒரு சிறப்புப் பண்பை அதாவது சமச்சீர் பண்பை ஒரு புள்ளியைப் பொருத்தோ அல்லது ஒரு கோட்டை பொருத்தோ பெற்றிருப்பதைக் கவனிக்க.

நாம் இப்பொழுது முறையாக சமச்சீர் தன்மையை கீழ்க்காணுமாறு வரையறுப்போம்:
ஒரு படம் அல்லது ஒரு வளைவரை ஒரு கோட்டைப் பொறுத்து மற்றொரு படத்தின் பிரதிபலிப்பாக இருந்தால், அந்தக் கோட்டைப் பொருத்து படம் அல்லது வளைவரை சமச்சீர் தன்மையை பெற்றுள்ளது என்கிறோம்.
ஒரு வளைவரை ஒரு புள்ளியைப் பொருத்துθ கோணச் சுழற்சியால் வளைவரை மாறாமல் இருந்தால் அந்த வளைவரை அப்புள்ளியைப் பொருத்து θ கோணச் சமச்சீர் கொண்டது என்கிறோம்.
ஒரு வளைவரை பல கோடுகளைப் பொருத்து சமச்சீர் கொண்டதாக இருக்கலாம். குறிப்பாக, நாம் ஆய அச்சுகளுடன் சமச்சீர் தன்மை மற்றும் ஆதியைப் பொருத்து சமச்சீர் தன்மை ஆகியவற்றை கருதுவோம். கணிதத்தின் வாயிலாக, ஒரு வளைவரை f (x,y) = 0 ஆனது
• y-அச்சைப் பொருத்து சமச்சீர்: f (x, y) = f (-x,y) ∀x, y எனில் வளைவரை y-அச்சைப் பொருத்து சமச்சீர் ஆகும் அல்லது (x,y) ஆனது வளைவரையின் மீதுள்ள புள்ளி எனில் (-x,y) -யும் வளைவரை மீது இருந்தால் வளைவரை y-அச்சைப் பொருத்து சமச்சீர் ஆகும். நாம் y- அச்சில் ஒரு கண்ணாடியை வைத்தால், கண்ணாடியின் ஒரு பக்கத்தில் உள்ள வளைவரையின் பகுதியும் கண்ணாடியின் மறுபக்கத்தில் உள்ள வளைவரையின் பகுதியும் ஒன்றைப் போலவே இருக்கும்.
• x-அச்சைப் பொருத்து சமச்சீர்: f (x, y) = f (x,-y) ∀x, y எனில் வளைவரை x -அச்சைப் பொருத்து சமச்சீர் ஆகும் அல்லது (x,y) ஆனது வளைவரையின் மீதுள்ள புள்ளி எனில் (x,-y)-யும் வளைவரை மீது இருந்தால் வளைவரை x - அச்சைப் பொருத்து சமச்சீர் ஆகும். நாம் x - அச்சில் ஒரு கண்ணாடியை வைத்தால், கண்ணாடியின் ஒரு பக்கத்தில் உள்ள வளைவரையின் பகுதியும் கண்ணாடியின் மறுபக்கத்தில் உள்ள வளைவரையின் பகுதியும் ஒன்றைப் போலவே இருக்கும்.
• ஆதியைப் பொருத்து சமச்சீர் : f (x, y) = f (-x,-y) ∀x,y எனில் வளைவரை ஆதியைப் பொருத்து சமச்சீர் ஆகும் அல்லது (x,y) ஆனது வளைவரையின் மீதுள்ள புள்ளி எனில் (-x,-y)-யும் வளைவரை மீது இருந்தால் வளைவரை ஆதியைப் பொருத்து சமச்சீர் ஆகும். அதாவது ஆதியைப் பொருத்து 180° சுழற்றும்போது வளைவரை மாறாது.உதாரணமாக, மேற்கண்ட வளைவரைகள் x = y2, y = x2 மற்றும் y = x ஆகியவை முறையே X-அச்சு, y-அச்சு, மற்றும் ஆதியைப் பொருத்து சமச்சீர் தன்மை கொண்டவை ஆகும்.
தொலைத் தொடுகோடுகள் (Asymptotes)
y = f (x) என்ற வளைவரையை ∞ -யில் தொடும் தொடுகோடு, தொலைத் தொடுகோடு ஆகும். அதாவது வளைவரை மீதுள்ள புள்ளி கந்தழியை நெருங்கும்போது வளைவரைக்கும் கோட்டிற்கும் இடைப்பட்ட தூரம் பூச்சியத்தை நெருங்கும் வகையில் உள்ள கோடு தொலைத் தொடுகோடு ஆகும். தொலைத் தொடுகோடுகள் மூன்று வகைப்படும். அவையாவன
1. கிடைமட்டத் தொலைத் தொடுகோடு, என்பது x -அச்சிற்கு இணையானதாகும். y = f (x) . என்ற வளைவரைக்கு limx→−∞ f (x) = L அல்லது limx→+∞ f (x) = L எனில் y = L என்ற கோடு கிடைமட்டத் தொலைத் தொடுகோடு ஆகும்.
2. நிலைக்குத்து தொலைத் தொடுகோடு, என்பது y -அச்சிற்கு இணையானதாகும். y = f (x) என்ற வளைவரைக்கு lim x→a− f (x) = ±∞ அல்லது lim x→a+ f (x) = ±∞. எனில் x = a என்ற கோடு நிலைக்குத்து தொலைத் தொடுகோடு ஆகும்.
3. சாய்ந்த தொலைத் தொடுகோடு, ஒரு சாய்ந்த தொலைத் தொடுகோடு தொகுதியில் உள்ள பல்லுறுப்புக் கோவையின் வரிசைப் பகுதியில் உள்ள பல்லுறுப்புக் கோவையின் வரிசையை விட அதிகமாக இருந்தால் வரும்.
சாய்ந்த தொலைத் தொடுகோட்டினைப் பெற நாம் தொகுதியை பகுதியால் வகுத்துப் பெறலாம்.
எடுத்துக்காட்டு 7.66
f (x) = 1/x என்ற சார்பின் தொலைத் தொடுகோடுகளைக் காண்க.
தீர்வு

எனவே, தேவையான நிலைக்குத்து தொலைத் தொடுகோடு x = 0 அல்லது y -அச்சு ஆகும்.
இவ்வளை வரையானது இரு ஆய அச்சுகளைப்பொருத்தும் சமச்சீர் தன்மை வாய்ந்தது என்பதால், y = 0 அல்லது x - அச்சும் ஒரு தொலைத் தொடுகோடு ஆகும். ஆகவே இவ்வளைவரைக்கு (செவ்வக அதிபரவளையம்) கிடைமட்ட மற்றும் நிலைக்குத்து தொலைத் தொடுகோடுகள் உண்டு.
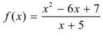
எடுத்துக்காட்டு 7.67

f(x) = x2 - 6x + 7 / x + 5 என்ற சார்பிற்கு சாய்ந்த தொலைத் தொடுகோட்டினைக் காண்க.
தீர்வு
தொகுதியில் உள்ள பல்லுறுப்புக் கோவையின் வரிசையானது (வரிசை 2) பகுதியில் உள்ள பல்லுறுப்புக் கோவையின் வரிசையைவிட (வரிசை 1) அதிகம் என்பதால் இதற்கு சாய்ந்த தொலைத் தொடுகோடு உண்டு. இதனைக் காண தொகுதியை பகுதியைக் கொண்டு வகுக்க வேண்டும்.

நாம் இங்கு மீதியைப் பற்றி கவலைப்பட வேண்டியதில்லை. நமக்கு நேர்க்கோட்டினைஉருவாக்கும் உருப்புகள் மட்டுமே அவசியம். எனவே, சாய்ந்த தொலைத் தொடுகோடு y = x-11 ஆகும்.
இந்த வளைவரையின் படத்திலிருந்து, வளைவரையும் சாய்ந்த தொலைத் தொடுகோடு y = x - 11-ம் ஒன்றை ஒன்று நெருங்குகிறது. ஆனால் வெட்டுவதில்லை என்பதை கவனிக்க.
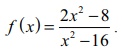
எடுத்துக்காட்டு 7.68

f(x) = 2x2 – 8 / x2 - 16 என்ற வளைவரையின் தொலைத் தொடுகோடுகளைக் காண்க.
தீர்வு

என்பதில் இருந்து y = 2 என்பது ஒரு கிடைமட்டத் தொலைத் தொடுகோடு ஆகும். நாம் இதனை தொகுதியை பகுதியை கொண்டு வகுத்தும் பெறலாம்.