கேள்வி பதில்கள், தீர்வுகள் | இயற்கணிதம் | அலகு 3 | 8 ஆம் வகுப்பு கணக்கு - பயிற்சி 3.1 (இயற்கணிதக் கோவைகளின் பெருக்கல்) | 8th Maths : Chapter 3 : Algebra
பயிற்சி 3.1
1. அட்டவணையை நிரப்புக.


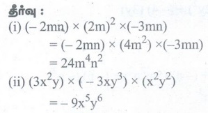
2. உறுப்புகளின் பெருக்கற் பலனைக் காண்க.
(i) –2mn, (2m)2, –3mn
(ii) 3x2y, –3xy3, x2y2

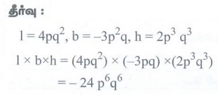
3. l = 4pq2, b = –3p2q, h = 2p3q3 எனில் l × b × h இன் மதிப்பைக் காண்க

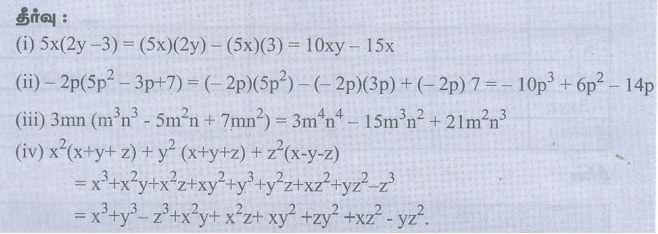
4. விரிவாக்குக
(i) 5x(2y – 3)
(ii) –2p(5p2 –3p + 7)
(iii) 3mn(m3n3 – 5m2n + 7mn2)
(iv) x2 (x + y + z) + y2 (x + y + z) + z2 (x – y – z)

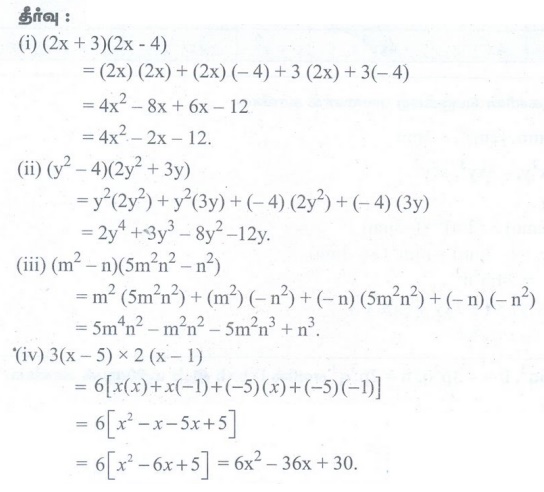
5. பெருக்கற் பலனைக் காண்க
(i) (2x + 3)(2x –4)
(ii) (y2 – 4)(2y2 + 3y)
(iii) (m2 –n)(5m2n2 – n2)
(iv) 3(x – 5) × 2(x–1)

6. விடுபட்ட மதிப்புகளைக் காண்க
(i) 6xy × ………… = –12x3y
(ii) ………… × (–15m2n3p) = 45m3n3p2
(iii) 2y(5x2y – ………… + 3 …………. ) = 10x2y2 – 2xy + 6y3

7. பின்வருவனவற்றைப் பொருத்துக
a) 4y2 × (–3y) (i) 20x2y – 20x
b) –2xy(5x2 – 3) (ii) 5x3 – 5xy2 + 5x2y
c) 5x(x2 – y2 + xy) (iii) 4x2 – 9
d) (2x + 3)(2x – 3) (iv) –12y3
e) 5x(4xy – 4) (v) –10x3y + 6xy
அ) iv, v, ii, i, iii
ஆ) v, iv, iii, ii, i
இ) iv, v, ii, iii, i
ஈ) iv, v, iii, ii, i

8. ஒரு மகிழுந்து (x + 30) கி.மீ / மணி என்ற சீரான வேகத்தில் செல்கிறது. ( y + 2) மணி நேரத்தில் அந்த மகிழுந்து கடந்த தூரத்தைக் காண்க. (குறிப்பு: தூரம் = வேகம் × நேரம்)

கொள்குறி வகை வினாக்கள்
9. 7p3 மற்றும் (2p2) 2 இன் பெருக்கற்பலன்
(அ) 14p12
(ஆ) 28p7
(இ) 9p7
(ஈ) 11p12
விடை: (ஆ) 28p7
10. –3m3 n × 9(_) = ………….. m4n3 என்ற பெருக்கற்பலனில் விடுப்பட்ட மதிப்புகளைக் காண்க
(அ) mn2 , 27
(ஆ) m2 n , 27
(இ) m2n2 , –27
(ஈ) mn2 , –27
விடை: (அ) mn2 , 27
11. சதுரத்தின் பரப்பளவு 36x4 y2 எனில், அதன் பக்க அளவு ……………….
(அ) 6x4 y2
(ஆ) 8x2y2
(இ) 6x2 y
(ஈ) – 6x2y
விடை: (இ) 6x2 y
12. ஒரு செவ்வகத்தின் பரப்பளவு 48m2n3 ச.அ மற்றும் நீளம் 8mn2 அலகுகள் எனில் அதன் அகலம் ………… அலகுகள்.
(அ) 6 mn
(ஆ) 8m2n
(இ) 7m2 n2
(ஈ) 6m2n2
விடை: (அ) 6 mn
13. ஒரு செவ்வக வடிவ நிலத்தின் பரப்பளவு (a2 – b2) சதுர அலகுகள் மற்றும் அகலம் (a – b) அலகுகள் எனில் அதன் நீளம் ………… அலகுகள் ஆகும்.
(அ) a – b
(ஆ) a + b
(இ) a2 – b
(ஈ) (a + b)2
விடை: (ஆ) a + b