கேள்வி பதில்கள், தீர்வுகள் | இயற்கணிதம் | அலகு 3 | 8 ஆம் வகுப்பு கணக்கு - பயிற்சி 3.4 (காரணிப்படுத்துதல்) | 8th Maths : Chapter 3 : Algebra
பயிற்சி 3.4
1. பொதுக் காரணியை வெளியே எடுத்துக் காரணிப்படுத்துக.
(i) 18xy –12yz
(ii) 9x5y3 + 6x3y2 –18x2y
(iii) x(b – 2c) + y(b – 2c)
(iv) (ax + ay) + (bx + by)
(v) 2x2 (4x –1) – 4x + 1
(vi) 3y(x –2)2 – 2(2 – x)
(vii) 6xy – 4y2 + 12xy – 2yzx
(viii) a3 – 3a2 + a – 3
(ix) 3y3 – 48y
(x) ab2 – bc2 – ab + c2

2. பின்வரும் கோவைகளைக் காரணிப்படுத்துக
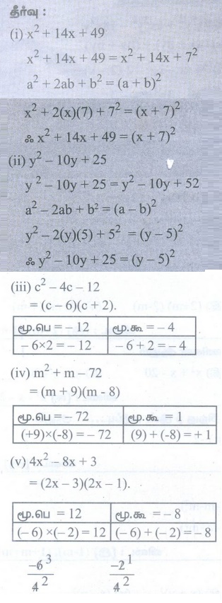
(i) x2 + 14x + 49
(ii) y2 –10y + 25
(iii) c2 – 4c – 12
(iv) m2 + m – 72
(v) 4x2 – 8x + 3

3. பின்வரும் கோவைகளை (a + b)3 = a3 + 3a2b + 3ab2 + b3 என்ற முற்றொருமையைப் பயன்படுத்திக் காரணிப்படுத்துக.
(i) 64x3 + 144x2 + 108x + 27
(ii) 27p3 + 54p2q + 36pq2 + 8q3

4. பின்வரும் கோவைகளை (a – b)3 = a3 – 3a2b + 3ab2 – b3 என்ற முற்றொருமையைப் பயன்படுத்திக் காரணிப்படுத்துக.
(i) y3 – 18y2 + 108y – 216
(ii) 8m3 – 60m2n + 150mn2 – 125n3

கொள்குறி வகை வினாக்கள்
5. 9x2 + 6xy இன் காரணிகள் ………………… ஆகும்.
(அ) 3y, (x + 2)
(ஆ) 3x, (3x + 3y)
(இ) 6x, (3x + 2y)
(ஈ) 3x, (3x + 2y)
விடை: (ஈ) 3x, (3x + 2y)
6. 4 – m2 இன் காரணிகள் ……………. ஆகும்.
(அ) (2 + m)(2 + m)
(ஆ) (2 – m)(2 – m)
(இ) (2 + m)(2 – m)
(ஈ) (4 + m)(4 – m)
விடை: (இ) (2 + m)(2 – m)
7. (x + 4), (x – 5) ஆகியவை ……………….. இன் காரணிகள் ஆகும்.
(அ) x2 – x + 20
(ஆ) x2 – 9x – 20
(இ) x2 + x – 20
(ஈ) x2 – x – 20
விடை: (ஈ) x2 – x – 20
8. x2 – 5x + 6 இன் காரணிகள் (x – 2)(x – p) பிறகு p இன் மதிப்பு …………. ஆகும்.
(அ) –3
(ஆ) 3
(இ) 2
(ஈ) –2
விடை: (ஆ) 3
9. 1 – m3 இன் காரணிகள் ……………….. ஆகும்.
(அ) (1 + m), (1 + m + m2)
(ஆ) (1 – m), (1 – m – m2)
(இ) (1 – m), (1 + m + m2)
(ஈ) (1 + m), (1 – m + m2)
விடை: (இ) (1 – m), (1 + m + m2)
10. x3 + y3 இன் ஒரு காரணி ……… ஆகும்.
(அ) (x – y)
(ஆ) (x + y)
(இ) (x + y)3
(ஈ) (x – y)3
விடை: (ஆ) (x + y)