வகை நுண்கணிதத்தின் பயன்பாடுகள் | கணிதவியல் - பயிற்சி 7.10 : சரியான அல்லது மிகப்பொருத்தமான விடையினை தேர்ந்தெடுத்து எழுதுக | 12th Maths : UNIT 7 : Applications of Differential Calculus
பயிற்சி 7.10
கொடுக்கப்பட்ட நான்கு மாற்று விடைகளிலிருந்து சரியான அல்லது மிகப்பொருத்தமான விடையினை தேர்ந்தெடுத்து எழுதுக:
1. ஒரு கோளத்தின் கன அளவு வினாடிக்கு 3π செமீ3 வீதத்தில் அதிகரிக்கிறது.
ஆரம் 1/2 செ.மீ ஆக இருக்கும்போது ஆரத்தின் மாறுபாட்டு வீதம்
(1) 3 செ.மீ/வி
(2) 2 செ.மீ/வி
(3) 1 செ.மீ/வி
(4) 1/2 செ.மீ/வி
விடை : (1) 3 செ.மீ/வி

2. ஒரு பலூனானது செங்குத்தாக மேல்நோக்கி 10 மீ/வி வீதத்தில் செல்கிறது.பலூன் செலுத்தப்பட்ட இடத்திலிருந்து 40 மீ தொலைவில் இடருந்து ஒருவர் இதனைப் பார்க்கிறார். பலூனின் ஏற்றக் கோணத்தில் ஏற்படும் மாறுபாட்டு வீதத்தை பலூன் தரையிலிருந்து 30 மீட்டர் உயரத்தில் இருக்கும்போது காண்க.
(1) 3/25 ரேடியன்கள்/வினாடி
(2) 4/25 ரேடியன்கள்/வினாடி
(3) 1/5 ரேடியன்கள்/வினாடி
(4) 1/3 ரேடியன்கள்/வினாடி
விடை : (2) 4/25 ரேடியன்கள்/வினாடி

3. t என்ற காலத்தில் கிடைமட்டமாக நகரும் துகளின் நிலை s(t) = 3t2 – 2t -8 எனக்கொடுக்கப்பட்டுள்ளது. துகள் ஓய்வு நிலைக்கு வரும் நேரம்
(1) t = 0
(2) t = 1/3
(3) t =1
(4) t = 3
விடை : (2) t = 1/3

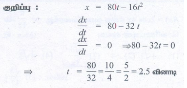
4. ஒரு கல்லான]து செங்குத்தாக மேல்நோக்கி எறியப்படுகின்றது. t நேரத்தில் அது அடைந்த உயரம் x = 80t -16t2. கல் அதிகபட்ச உயரத்தை t வினாடி நேரத்தில் அடைந்தால் t ஆனது
(1) 2
(2) 2.5
(3) 3
(4) 3.5
விடை : (2) 2.5

5. 6y = x3 + 2 என்ற வளைவரையின் எப்புள்ளியில் y-ஆயத்தொலைவின் மாறுபாட்டு வீதம் x- ஆயத்தொலைவின் மாறுபாட்டு வீதத்தைப் போல் 8 மடங்கு இருக்கும்.
(1) (4,11)
(2) (4,-11)
(3) (-4,11)
(4) (-4,-11)
விடை : (1) (4,11)

6. f (x) = √8 - 2x என்ற வளைவரையின் எந்த x-ஆயத்தொலைவில் வரையப்பட்ட தொடுகோட்டின் சாய்வு -0.25 இருக்கும்?
(1) -8
(2) -4
(3) -2
(4) 0
விடை : (2) -4

7. f (x) = 2cos 4x என்ற வளைவரைக்கு x = π/12 -ல் செங்கோட்டின் சாய்வு
(1) -4√3
(2) -4
(3) √3/12
(4) 4√3
விடை : (3) √3/12

8. y2 - xy + 9 = 0 என்ற வளைவரையின் தொடுகோடு எப்போது நிலைகுத்தாக இருக்கும்?
(1) y = 0
(2) y = ±√3
(3) y = 1/2
(4) y = ±3
விடை : (4) y = ±3

9. ஆதியில் y2 = x மற்றும் x2 = y என்ற வளைவரைகளுக்கு இடைப்பட்ட கோணம்
(1) tan-1 3/4
(2) tan-1 (4/3)
(3) π/2
(4) π/4
விடை : (3) π/2

10. lim x→0(cot x-1/x) ன் மதிப்பு
(1) 0
(2) 1
(3) 2
(4) ∞
விடை : (4) ∞
11. sin4 x + cos4 x என்ற சார்பு இறங்கும் இடைவெளி
(1) [5π / 8, 3π /4]
(2) [π / 2, 5 π / 8]
(3) [π / 4, π/2]
(4) [0, π / 4]
விடை : (3) [π / 4, π/2]

12. x3 - 3x2, x∈ [0,3] என்ற சார்பிற்கு ரோலின் தேற்றத்தை நிறைவு செய்யும் எண்
(1)1
(2) √2
(3) 3/2
(4) 2
விடை : (4) 2

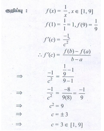
13. 1 / x x∈ [1,9] என்ற சார்பிற்கு சராசரி மதிப்புத் தேற்றத்தை நிறைவு செய்யும் எண்
(1) 2
(2) 2.5
(3) 3
(4) 3.5
விடை : (3) 3

14. |3 - x| + 9 என்ற சார்பின் குறைந்த மதிப்பு
(1) 0
(2) 3
(3) 6
(4) 9
விடை : (4) 9

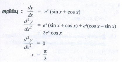
15. y = ex sinx, x ∈ [0,2π] என்ற வளைவரையின் மீப்பெரு சாய்வு எங்கு அமையும்?
(1) x = π/4
(2) x = π/2
(3) x = π
(4) x = 3 π/2
விடை : (2) x = π/2

16. x2e-2x, x > 0 என்ற சார்பின் பெரும மதிப்பு
(1) 1/e
(2) 1/2e
(3) 1/e2
(4) 4/e4
விடை : (3) 1/e2

17. (6,0) என்ற புள்ளிக்கும் x2 - y2 = 4 என்ற வளைவரை மீதுள்ள புள்ளிக்கும் உள்ள தொலைவுகுறைந்தபட்சம் எனில் அப்புள்ளி
(1) (2,0)
(2) (√5,1)
3) (3, √5)
(4) (√13,-√3)
விடை : (3) (3, √5)

18. இரண்டு மிகை எண்களின் கூடுதல் 200 மேலும் அவற்றின் பெருக்கல் பலனின் பெரும மதிப்பு
(1) 100
(2) 25√7
(3) 28
(4) 24√14
விடை : (1) 100

19. y = ax4 +bx2 , ab > 0 என்ற வளைவரை
(1) கிடைமட்டத் தொடுகோடு பெறவில்லை
(2) மேற்புறமாக குழிவு
(3) கீழ்புறமாக குழிவு
(4) வளைவு மாற்றப் புள்ளியை பெறவில்லை
விடை : (4) வளைவு மாற்றப் புள்ளியை பெறவில்லை

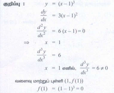
20. y = (x - 1)3 என்ற வளைவரையின் வளைவு மாற்றப் புள்ளி
(1) (0,0)
(2) (0,1)
(3) (1,0)
(4) (1,1)
விடை : (3) (1,0)

பயிற்சி 7.10
